- 易迪拓培训,专注于微波、射频、天线设计工程师的培养
基于鼎阳示波器的信号波形合成
一、设计方案
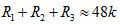
1.1方波产生电路555定时器构成多谐振荡电路。电路幅值与占空比可调,产生的方波为单极性,波形上升沿较陡 1.2分频电路由十六进制计数器74LS163和触发器HEF4013构成分频电路。计数器进行奇数次分频,触发器进行二分频。电路占空比为50% 1.3滤波电路由运放TL072和无源元件RC组成二阶有源带通滤波电路。该电路既可以滤除直流和高次谐波分量,又可以放大电压 1.4移相电路如 图-1所示,RC等幅移相电路。电路可调相范围为0~90°,幅度恒定。
图-1 1.5加法电路同相求和电路。可实现多路信号相加,但稳定性不高 1.6峰峰值检测电路利用场效应管和电容等构成峰峰值检测电路。电路性能稳定,检测精度良好,但在高频范围内检测精度一般。 二、参数分析及计算2.1 方波产生电路频率及占空比计算由555定时器组成的多谐振荡器如图-2所示。该电路通过对电容C的充放电得到周期性矩形波。由振荡频率公式
,占空比公式
知,若要使方波频率为300kHZ,应满足
,同时调节滑动变阻器,使其上下端阻值相等,得到占空比为50%的方波。
图-2 2.2 分频电路参数计算分频电路如 图-3所示。将多谐振荡器得到的方波经过分频器进行15分频、5分频、3分频,再经过D触发器二分频,从而得到占空比为50%的10kHZ,30kHZ,50kHZ的方波,用于后级滤波使用。
图-32.3滤波电路参数计算 滤波电路如图-4所示,该滤波器为二阶带通滤波器。高通部分用于滤除直流分量,低通部分用于滤出10kHZ,30kHZ,50kHZ的正弦波。由截止频率公式
,分别计算得截止频率为12kHZ,32kHZ,53kHZ时的电阻电容参数。为防止电路起振,放大倍数均取1.5倍以下。
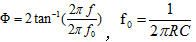
图-4 2.4移相电路参数计算移相电路如图1-4-2所示,利用放大器的差动输入,在
处产生+90度相移。若以产生90度相移的频率为中心,频率偏离时,其相角为:
。为了获得任意的相角,选择适当的电容值0.01u,因为
,通过5K滑动变阻器的调节即可实现相位调节。 2.5加法电路参数计算根据方波的傅里叶展开式
三角波的傅里叶展开式
,将三路正弦波幅值和相位分别调至与公式相符,相加后即得所需波形。 2.6峰峰值检测电路参数计算峰峰值检测电路如图-5所示,利用两片TL072比较跟随,电容充放电,场效应管保持峰值从而实现峰值检测功能。
图-5
三、系统测试数据测试方案(1) 测试各模块输出的方波,正弦波的幅值,频率与波形。(2) 调节正弦波幅值,相位至满足傅里叶关系,测试合成波形数据。(3) 对各输出正弦波进行峰值检测测试,计算误差。 测试仪器数字存储示波器:鼎阳(SIGLENT) SDS1102CFL 100MHz 2GSa/s 经测试所得实验数据如表一所示。测试波形如图-6至图-12所示。滤波所得正弦波误差为0%,合成方波峰值与设计要求值相差0.6V。 表一 信号合成电路测试数据
| 输出信号 | 正弦波一 | 正弦波二 | 正弦波三 | 两路合成方波 | 三路合成方波 | 三角波 |
| 频率(KHZ) | 10.04 | 30.1 | 50.15 | 10.03 | 10.04 | 10.04 |
| 幅值(V) | 6 | 2 | 1.19 | 5.6 | 5.68 | 9.04 |

图-6 分频后方波 图-7 10kHZ正弦波

图-8 30kHZ正弦波 图-9 50kHZ正弦波

图-10基波、三次谐波合成方波 图-11 基波、三次、五次谐波合成方波
图-12合成三角波 四、参考文献 [1]康华光.电子技术基础模拟部分[R].北京:高等教育出版社,2006.1 [2]李先允.姜宁秋.电力电子技术[R].北京:中国电力出版社,2006
深入阅读:
鼎阳科技推出经济型手持示波表SHS800
立即加入测试测量技术社区


