- 易迪拓培训,专注于微波、射频、天线设计工程师的培养
两种示波器示波原理分析法的比较
0 引言
示波器是一种用途十分广泛的电子测量仪器。它能把肉眼看不见的电信号变换成看得见的图形,便于人们研究各种电现象的变化过程。利用示波器能观察各种不同信号幅度随时间变化的波形曲线,还可以用它测试各种不同的电量,如电压、电流、频率、相位差、调幅度等等。更广义地说,示波器是一种能够反映任何两个参数相互关联的X-Y坐标图形的显示仪器。示波器不仅应用于实验室,更成为信息时代不可缺少的辅助工具,利用示波器对电子产品的电路进行信号的检测和分析,可以大大提高检修效率。理解并掌握示波器的示波原理是解决这些问题的前提,但大多数同学对此难以理解。文献利用沙漏的单摆运动实验对示波器示波原理进行类比简化,解决了正弦波电压的显示原理问题,文献论述了示波管荧光屏上的显示波形与电子运动规律、波形周期与扫描电压周期的关系,但这两种方法都存在不足,需加以改进。
1 示波管的结构
示波管是示波器的核心部件,其由电子枪、偏转系统和荧光屏三部分组成(如图1所示)。电子枪的作用是发射电子并形成很细的高速电子束,偏转系统由水平(x)方向和垂直(y)方向两对偏转板组成,它的作用是决定电子束怎样偏转,荧光屏的作用则是显示偏转电信号的波形。可以用一个形象的比喻来说明示波管的示波原理,即将电子枪比作画图的笔,笔尖就是高速电子束,将电子偏转系统比作握笔的手,将荧光屏比作画图的纸,那么将示波原理可比作用手握着笔在纸上作画。

2 两种示波原理分析法的比较
文献利用沙漏的单摆运动实验对示波器的示波原理进行类比简化,当示波管荧光屏上显示正弦波形时,电子束轰击荧光屏上的荧光粉而形成正弦波,沙漏在模拟单摆运动时,在硬纸板上也能描绘出正弦曲线。这两种情况无论在波形还是原理上,都是相通的。这种分析法对于分析用示波器显示正弦波原理时有效,并且易于让学生理解,但对于分析显示非正弦波形时无效,而实际上用示波器显示的不仅是正弦波,故还需要有其他的分析方法。
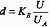
文献论述了示波管荧光屏上的显示波形与电子运动规律、波形周期与扫描电压周期的关系,应用物理上力与运动的知识来分析示波原理。这种方法虽然较难理解,但它能分析所有波形的示波原理。但是,文献中没有指出该种方法的关键之处,即电子的数目很多,不同的时刻所研究的电子(实际上是电子束)是不同的,再就是电子的速度很快,穿过偏转系统的时间很短,每个电子穿过偏转系统的瞬间可将偏转电压看作恒定。只有指出这两点,当选用电子运动规律来分析显示波形时,学生才不会只对某一个电子分析其运动轨迹。这样,更易于理解电子的运动规律:电子束中电子偏离轴的距离
![]()
其中KE是一个与偏转系统的几何尺寸有关的常数,U偏转板两端的电压,UA为电子枪中加速极的加速电压。因此,UA一定时,偏转电压越大,电子的偏转距离与偏转电压成正比,也更易于理解由电子运动规律得出的示波管示波原理。
3 任意波形形成原理的分析法
示波管中的电子有着三维运动,即由水平偏转板上的电压而引起的水平方向上的运动(x方向),由垂直偏转板上的电压而引起的垂直方向上的运动(y方向),垂直于荧光屏的运动(z方向)。事实上,打在荧光屏上的电子是由三个分运动合成的结果。由于分析的是荧光屏上图形,即平面上的图形,则沿着z方向的运动可不分析。又由于不同的时刻所研究的电子是不同的,并且每个电子穿过偏转系统的瞬间可将偏转电压看作恒定,再由公式(1),可得到任意波形形成原理的分析法如下:
(1)调节示波器旋钮,使y偏转板及x偏转板上的电压均为零时,光点在荧光屏中心位置,
(2)依据y偏转板上的电压波形特点,将y偏转板及x偏转板上的电压波形按时间取多个特殊点,
(3)确定在某时刻y偏转板及x偏转板上的电压,
(4)由公式
(UA为定值)确定y方向及x方向的偏转距离,并合成得到此刻光点在荧光屏上的位置,
(5)按同样的方法确定各个特殊点所对应的时刻光点在荧光屏的位置,
(6)用描点(光点)法把波形画出。
4 任意波形形成原理分析法的应用
4.1 显示随时间变化的波形
例如:如果在y偏转板上加周期为Ty的正弦波电压,在x偏转板上加周期为Tx的锯齿波电压,且Tx=Ty(如图2所示)。 根据文献中的方法可以分析该正弦波的形成原理。

当t=t2时,uy=0,ux=0,,则在y轴方向上,电子束2的偏转距离为零,在x轴方向上,电子束2的偏转距离也为零,运动合成后,射到荧光屏的点2位置,即荧光屏的中心位置。
当t=t0时,uy=0,ux=-Uxm,则在y轴方向上,电子束0的偏转距离为零,在x轴负方向上,电子束1的偏转距离最大,运动合成后,假设射到荧光屏的点0(或0’)位置。
当t=t1时,uy=Uym,ux=-1/2Uxm,则在y轴正方向上,电子束1的偏转距离最大,在x轴负方向上,电子束1的偏转距离为x轴负方向最大偏转距离的1/2,运动合成后,假设射到荧光屏的点1位置。
当t=t3时,uy=-Uym,ux=-1/2Uxm,则在y轴负方向上,电子束3的偏转距离最大,在x轴正方向上,电子束3的偏转距离为x轴正方向最大偏转距离的1/2,运动合成后,假设射到荧光屏的点3位置。
当t=t4时,uy=0,ux=Uxm,则在y轴方向上,电子束4的偏转距离为零,在x轴正方向上,电子束4的偏转距离为最大,运动合成后,射到荧光屏的点4位置。
在下一个扫描周期,电子束轰击到荧光屏的位置重复进行,这样,一个完整的正弦波波形就形成了。
4.2 显示任意两个变量之间的关系
示波器两个偏转板上都加正弦波电压时显示的图形称为李沙育(Lissajous)图形,这种图形的形状取决于不同的频率比和初始相位差(如图3所示)。例如,若两正弦信号的频率比为1,初相相同,且在x、y方向的偏转距离相同,在荧光屏上画出一条与水平轴呈45°角的直线,若初相相差90°,且在x、y方向的偏转距离相同,在荧光屏上画出的图形为圆。

同样,根据文献中的方法可以分析图3中任意一个波形的形成原理。
5 结语
文中通过对文献中所介绍的两种示波器示波原理分析法的比较和解析,总结出了一种分析任意波形形成原理的方法,解决了多年来学生对于示波器示波原理的诸多疑惑和疑难问题。
上一篇:MDO混合域示波器在物联网设计、研发与培训中的应用
下一篇:实时示波器挑战高精度极致,泰克33GHz新品欲后来居上


