- 易迪拓培训,专注于微波、射频、天线设计工程师的培养
UWB脉冲波形形成方法
UWB是一种无载波通信技术,利用纳秒至亚纳秒级的非正弦波窄脉冲传输数据,所占频谱范围很宽,适用于高速、近距离的个人无线通信。脉冲波形设计是关系到UWB系统性能的关键因素。传统的UWB信号载体主要有方波脉冲、高斯脉冲、Hermite脉冲和正交椭球波函数等。
随着声表面波器件(SAW)的发展,可由低成本、低功耗、低复杂度的声表面波滤波器利用脉冲压缩技术产生和检测线性调频信号(Chirp)。由于Chirp脉冲具有良好的自相关性以及匹配滤波后尖锐的时域特性信号,并且其频谱能够满足美国联邦通信委员会(FCC)对超宽带辐射掩蔽的限制,具有较高的频谱利用率,故可适当提高其带宽来提高传输距离和传输速率。
本文先介绍Chirp脉冲波形的性能参数对脉冲频谱的影响,然后将Chirp脉冲信号线性叠加,得到宽频的短时脉冲信号,该脉冲信号可以提高频谱利用率。
1 UWB成形脉冲算法
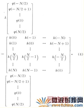
2002年4月,FCC修正了"超宽带"定义,并通过了超宽带技术在限制功率辐射条件下的商用许可,为超宽带通信划定的频谱范围为3.1~10.6 GHz。设计UWB的脉冲波形除了要满足室内和室外UWB系统的发射功率谱密度要求,并且还要尽可能地使得频谱利用率最大。设成形脉冲信号为ψ(t),则相当于其经过冲击响应为h(t),频率响应为H(f)的系统后,使其频谱尽可能大地分布在FCC规定的频谱限制范围内。定义成形脉冲信号的脉冲宽度为Tm,则:![]()
其离散的表达式为:![]()
式中,N为对h(t)在时间Tm内的采样点数。
将上面公式展开,可得到如下矩阵关系式:
可以看出,矩阵H为Hermite矩阵,所要求的成形脉冲ψ与衰减因子λ即可由H的特征向量与特征值矩阵获得。由于H为Hermite矩阵,因此所求得的特征向量组为线性无关的正交向量组,并且特征值为实数,因此成形脉冲之间不相关。
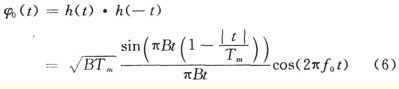
由于Chirp信号具有时间带宽积大、旁瓣低的特点,为了应用Chirp信号作为成形脉冲的基函数,可以将其作为系统的冲击响应h(t),并令相应的带宽为3.1~10.6 GHz,则其时域表达式为:
其中k=π(fu-fl)/Tm,fu=10.6GHz,fl=3.1GHz,k为线性调频率,其带宽B=kt,然后根据式(5)就可以得到UWB信号的成形脉冲。
2 仿真结果
利用上述理论,利用式(5)产生Chirp信号,后将其作为系统的冲击响应,再构造式(4)的Hermite矩阵H,并由此计算相应的特征向量甲,得到所需要的成形脉冲。设脉冲采样点数N=1 024,脉冲持续时间Tm=10 ns,成形脉冲的仿真结果如图1,图2所示。图1是在固定中心频率f0=6.85 GHz,带宽B不断变化时的时域、频域图。从图1(a)上可以看出随着波形带宽的不断增大,其时域波形越来越窄;图1(b)明显地表示了各个不同带宽的波形的功率谱密度。


图2是相同的带宽,由于各个Chirp脉冲波形的中心频率变化所体现在时域以及频域上的特性。
由上图2(a)可以看出,随着中心频率向高频部分变化,其时域波形的变化周期缩短,反映在图上就是波形越来越密。其频域功率谱密度图形随着中心频率的变化而变化。
结合上述Chirp脉冲的特性,可以利用将多个Chirp脉冲波形线性叠加,产生一个满足FCC对超宽带辐射掩蔽的限制,并且具有较高的频谱利用率的组合脉冲。
3 Chirp组合脉冲
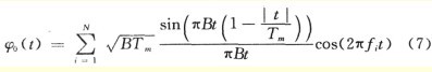
根据式(2)和式(5),可以将经过匹配滤波器的输出函数写成如下形式:

将若干个Chirp压缩信号由傅里叶变换的线性特性叠加,即可得到宽频脉冲信号:
图3就是根据上述理论进行的仿真结果。其中N=42,B=300 MHz,Tm=10 ns。

从图3看出,Chirp组合脉冲波形的功率谱密度满足FCC MASK的要求,并且其频谱利用率很高。在3.1~10.6 GHz之外的频带,波形的功率谱旁瓣迅速下降,这对带外的干扰也能明显降低,如果考虑UWB系统与现有的窄带系统的干扰,只需要将式(7)中响应频段对应的中心频率去掉,这样即可达到抑制相互干扰的目的。
4 结 语
本文利用Hermite矩阵的特征向量和Chirp脉冲,讨论UWB脉冲波形形成的方法。通过利用Chirp脉冲波形与Hermite矩阵相结合的方法,产生的脉冲波形的功率谱密度满足FCC MASK的规定,并且具有很高的频谱利用率、可以降低对现有的窄带无线通信系统的干扰等优点。


