- 易迪拓培训,专注于微波、射频、天线设计工程师的培养
二次变频和像频干扰
本文是根据上世纪八十年代初的读书笔记整理的,笔记的内容来自苏联专家在一九六零年在哈军工的讲稿,该专家在一九五三年主持设计了苏军举世著名的克劳克短波通信机。一九五六年在留学美国的郑博士带领下,714成功地仿制了该机,命名为56式。本文的内容是一九四八年建立起来的,老一辈无线电工作者非常熟悉这些常识,现在人们已经遗忘了,因而在论坛里不少人质疑它的正确性。后经北广的郭教授修改后,在此献给广大广播爱好者。
1、像频干扰和危害性
短波接收机存在三大干扰,同频干扰、邻频干扰和像频干扰。同频干扰在硬件上没有办法解决,只能用方向性天线来避开干扰,如果干扰与接收信号来自同一方向,这种方法就失灵了。在数字信号处理中,可用带内陷波器减轻和消除同频干扰,这只能在DSP中用软件实现。邻频干扰可用同步检波消除,电路已相当成熟(另文介绍)。像频干扰就得用二次或多次变频来解决,这就是本文讨论的内容。
像频是超外差收音机特有的现象,在一个高差式机中,设信号频率为fs,振荡频率为fc,中频fid=fc-fs,在比fs高二个中频处就有一个频率fm,它象是以fc为镜子,站在fs处看到的镜像,所以称像频,如图1所示。

图1、高差式变频的像频
像频如果位于输入回路的通频带内,通过外差的变频作用就会把像频位置以及附近的电台信号搬移到中频带内,对接收信号形成干扰。如果像频位置以及附近处无信号,就只增加了点噪声,降低了信噪比;如果像频处正好有一个电台信号,该信号就会和接收信号差拍形成啸叫,较强的像频会喧宾夺主,抑制掉输入信号;如果电台信号不正好在像频处,而是在像频附近,则会形成混台,产生偏调失真。
像频对接收机的干扰主要出现在短波段。在中波段,磁性天线的空载Q0都在200左右,设计值一般取Q0=100,即使在中波高端,输入回路的通频带也不会大于20KHz,因此中波段的像频抑制可轻松达到30dB 以上。在短波高端,如果用磁棒或框形天线,这时线圈电感只有1微亨左右,Q=60~80,通频带约在310~500KHz ,像频干扰尚能达到15~20 dB。如果用拉杆天线,70~85cm的拉杆天线相当于8pF 的电容与35~70Ω的电阻串联,这个电路加在输入回路上后,线圈的Q值会下降到10以下,致使短波高端的通频带宽度会大于1.5MHz,像频抑制会降到3dB左右。
接收短波时遇到像频干扰的概率到底有多大?全世界共有1.5万座短波广播电台,而国际广播米波段只有526个频道,平均每个频道上有28个电台。当然各个电台会在不同的时段采用不同的频率广播。统计表明,在亚洲像频干扰的概率是百分之三十五。
2、二次变频抑制像频干扰的原理
版主在论坛上讲:比如你做一个带宽6KHz 的滤波器,中心频率是20MHz,Q=20 MHz /6 KHz ≈3333;而你做一个带宽455KHz 的滤波器,Q=20MHz/455KHz≈44,所以二次变频就那么回事,没必要迷信它。这段话可看成是数学对二次变频的注解。哲学家说,数字是自然科学的灯塔,公式B=f0/Q的确启发我们的前人发明了二次变频,使我们爱好者今天仍从中得到恩赐。
如图2所示,在二次变频中,设接收信号频率是fs,一本振是fc1,一中频fid1 = fc1- fs,只要把一中频fid1 选取得足够高,第一像频fm1=fs+2 fid1 就远离fs,不会落入输入通频带内。二次变频还会产生第二像频fm2=fc2+fid2 = fid1+2fid2,由于第二中频频率较低,频通带很窄,第二像频不会落入带内;并且fm2是一个固定频率,可用陷波或吸收回路把它彻底抑制掉。可见,只要选择足够高的一中频,即使用拉杆天线,短波高端的像频抑制也容易做到40dB以上。

图2、高差式二次变频的像频
3、一中频如何选择?
二次变频接收机中,选择合适的一中频对提高像频抑制比是是至关重要的。如果一中频选的较低,第一本振的稳定性容易保证,但复盖系数会大于1,振荡频率的范围超过了一个倍频程,波段变换必须改变电感,调谐机构会复杂化。而且,像频指标做不好,在高端不会大于20dB。一中频值一定要选在没有电台的空档频率上,例如中波与120和90米段之间的2 MHz、3MHz等频点上。二十年前生产的海鸥101收音机,一中频是1.85 MHz,正好位于中波高端与120米段之间。现在电子技术已长足进步,再用低中频二次变频已没有意义。
如果中频较高,但仍在短波频带内,免不了仍要考虑频率空档和波段划分的麻烦。另外,在8~30 MHz范围广播和通信信号密集,两个本振及谐波产生的假信号,本振及谐波与100MHz以下的FM和TV信号之间互调干扰会落入短波带内。还有直接中频干扰,它会长驱直入进入中放。一本振的频率稳定性也突现出来了。因此,要在工艺上对本振屏蔽,在电路上要采用平衡和环形混频器减少组合干扰,甚至要动用复杂的AFC技术稳频。近几年来,德生和德劲的二次变频收音机一中频选用10.7 MHz,可能考虑到有现成的调频中周或陶瓷滤波器可用,免掉专门设计生产的困难。R9700用石英晶体作一本振,DE1101用频率合成作一本振,本振稳定度得到了较好的解决,但假响应、互调干扰和中频干扰并没有解决好。
科学合理的一中频应该选择在HF带外,最好远高于短波高端频率2~3倍,如果高端频率是27 MHz,一中频范围应是54~81 MHz。选择这么高的一中频后,引起假响应和互调的谐波频率、直接中频干扰频率均在短波波段之外,对减小干扰提高信噪比极其有利,工艺要求也没有带内中频苛刻。并且一本振的频率复盖范围在一个倍频程内,振荡回路用一个波段就能复盖整个短波波段,调谐连续,设计简单。唯一的缺点是对一本振的频率稳定度要求极高,只有用频率合成技术才能满足要求,在机械调谐机中实现起来成本很高。
4、二次变频的假响应
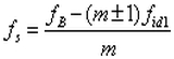
二次变频使接收机具有优良的像频抑制比,但电路里有两个本振和二个混频器,如果它们的频谱不纯,相互之间屏蔽不好,距离太近。二个本振频率以及它们的谐波之间就会发生互调,产生等于二中频的假信号,接收机对这些信号没有选择性,会直接响应这些信号,所以称假响应。假信号如果落在电台的广播频率上,就会和电台频率产生差拍啸叫,如果假信号很强,甚至会把接收信号干扰掉,这和干扰台的原理相同。即是假信号处无电台频率,假信号本身是无调制的等幅信号,又不受输入回路的衰减,会直接窜入中放而降低信噪比。
假信号频率可以精确的计算出来,它等于
一般一本振的1~3次谐波和二本振的2~5次谐波组合成的假信号对带内一中频二次变频机影响较大。当m=1,2,3。n="2",3,4,5,fid1=10.7MHz,fid2=455KHz时,计算出部分假信号频率见表1。
表1:假信号频率表
| m | n | fs (MHz) |
| 1 | 2 | 11.6*/10.7 |
| 1 | 3 | 23.33/22.31 |
| 2 | 3 | 5.577*/5.805 |
| 2 | 4 | 11.8375*/11.3825 |
| 2 | 5 | 16.7325/16.2775 |
| 3 | 5 | 7.74/7.437 |
*在国际短波米段内
由于假响应的影响,带内中频二次变频接收机设计中考虑的因素较多,首先要求本振波形好,不产生谐波。其次,最好把本振和混频分别屏蔽起来,二个本振之间的空间距离要足够远。PCB设计要走弧线,采用泪滴焊盘,避免硬拐角等。电路设计上要采用对称性很高能抵消谐波的混频器,而且不能用开关式混频器来提高信噪比。从这些要求看出,二次变频更适合用于体积较大的收音机中,例如军机和台式机。
5、二变与广播电台的互调干扰
二次变频除了假响应以外,米波段的FM广播、电视台图像和伴音射频信号、通讯机信号与一本振及谐波互调,也会产生频率等于中频的干扰信号,这种干扰也对采用带内一中频的二次变频机非常不利。设fB 是外来广播信号,互调干扰频率是
一般一本振的1~4次谐波产生互调较大,故m=2、3、4时,计算出本振谐波与电视和调频广播产生的一部分互调干扰频率如表2。
表2:互调干扰信号频率表
| m | fB(MHz) | fs (MHz) |
| 2 | 83.75 (TV-4,伴音) | 25.825 |
| 3 | 83.75/77.25 (TV-4,伴音/图像) | 13.65/9.82 |
| 4 | 83.75/77.25 (TV-4,伴音/图像) | 7.56/5.94 |
| 3 | 88.1~90.4 (FM) | 15.1~15.7 |
| 3 | 99.5~100 (FM) | 18.9~19.0 |
| 3 | 107.3~108 (FM) | 21.5~21,7 |
注:互调干扰全部在国际短波米段内
解决米波信号互调的方法除屏蔽一本振外,还可在天线和输入回路之间插入一个100K~30MHz的高斜率带通滤波器,或0~30MHz的低通滤波器。最好把高频头(高、混、振)全屏蔽,防止强信号直接窜入混频产生互调。
6、二次变频与灵敏度的误区
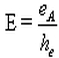
一些书刊和一些厂商的产品资料上讲,二次变频能有效地提高灵敏度,它们的理由是二次变频增加了一中放和高放,检波之前的增益增大了,故使收音机的灵敏度提高了。这个概念是错误的,短波接收机的灵敏度是由天线收到的噪声电平和接收机所产生的噪声电平所决定,短波段宇宙噪声可以忽略,故使用拉杆天线这种电场型天线接收机的灵敏度可用下面公式计算
式中K是波尔斯曼常数,T是绝对温度,RA是天线的等效电阻,BN是接收机通频带宽度,FN是接收机的噪声系数,D是声音的最低分辨率,相当于信噪比。
可以看出当带宽和信噪比确定后,只能从减小天线等效电阻和降低噪声系数入手去提高灵敏度。如果用加大增益的方法去提高灵敏度结果会适得其反,高增益使机器的本底噪声剧增,使接收机丧失了鉴别微弱信号的能力,也缩小了动态范围。现代IC收音机的中放增益远高于二级晶体管中放的增益,但接收灵敏度反不如后者,就是一个实例。用目前的器件和技术,短波灵敏度的极限值约为0.6微伏,要超越这个门槛,提高的幅度和花费的成本将呈指数关系。
当接收机使用磁场性天线如磁棒天线和框状天线时,为了测试方便,改用场强计量灵敏度,于是公式变成

he是天线的等效高度。磁性天线的等效高度是
其中 k是与线圈长度和位置有关的参数,f是频率,S 线圈截面积,N是线圈圈数,μCT是磁棒的轴心导磁率。
框型天线的有效高度是
hec=k·f·S·N
可见应用磁场性天线时,提高灵敏度除了减小天线等效电阻和降低噪声系数外还应尽可能提高天线的等效高度。因为在磁场性天线中天线和线圈合为一体,还应该从输入回路入手,减少LC回路的插入损耗,天线与输入回路的匹配等等。用这些方法才能设计出高灵敏度的机器,这在一次变频和二次变频的机器上都是适用的,而与变频次数无关。上世纪八十年代,超动态宽频响电路的发明人之一的曹锦馨老师,曾为边疆部队设计过一个一次变频的小型便携式中、短波收音机春雷3P5,它的20分贝灵敏度指标如下:
中波:0.06 mV/m (200mm MX 磁棒)
短1:0.03~0.04 mV/m (3.9~8.5MHz, 45mm NX40 磁棒+ 600 cm2 方框)
短2:0.022~0.035 mV/m (8.5~18MHz, 高Q线圈+600 cm2 方框)
2.2~3μV (8.5~18MHz, 85cm 拉杆)
动态范围:不小于500 mV/m
单信号选择性:55~60 dB
这是一台比超动态宽频响廉价的优秀机器,虽然动态和频响不如前者,但灵敏度极高,结构极其简单,它的灵敏度指标不但使当时的军机和专业通讯机汗颜,即使现代的DSP接收机也甘拜下风。遗憾的是当年主管当局认为3P5偷听敌台太清楚了,没有批准生产。
7、二次变频与选择性的误区
认为二次变频能提高选择性的理由是它具有更多的选频回路,所以选择性好。严格地讲这种说法也是错误的。图3是描述超外差收音机选择性的唢呐模型。从模型看出,通频带最窄的位置是让有用信号通过,通频带较宽的位置是阻止邻频信号通过。为满足第一个功能,可以增加选频回路的数量,因为总选择性等于每个LC回路选择性值的分贝之和。
从表面上看,二次变频有较多的LC回路,但依靠LC数量提高的选择性只表明了对有用信号偏移中心频率的衰减能力,称单信号选择性,符合模型的第一功能。因为在收听广播时每个频道都可能有信号存在,我们不但要求处于通带中心的接收信号要清晰可闻,而且还要求偏离中心±9KHz或±10KHz的邻频信号不能与接收信号产生差拍啸叫,这是模型的第二个功能,而且是衡量选择性好坏的关键功能。于是在接收机指标中又定义了双信号选择性,用以衡量邻频对中心频率的互调程度。只有单信号选择性和双信号选择性都好的机器才能收台清楚,同时抑制邻频干扰的能力也强。
无论在一次和多次变频的接收机中,提高双信号选择性都是要设法减小混频电路之前的非线性,这比提高单信号选择性要困难得多。八十年生产的特级收音机红灯738,实测单信号选择性是60分贝,双信号选择性只有46分贝,这是做得好的实例;上无三厂的春雷3T9样机在测试中竟出现单信号选择性55分贝,双信号选择性只有3分贝的极端情况。在短波接收机中,无论采用一次或多次变频,双信号选择性一般至少比单信号选择性低12分贝,这4倍之差也是全世界短波机设计者艰难攀登的高峰。

图3、通频带的唢呐模型
8、二次变频的另类用途
今天,二次变频也是其它一些新技术的应用平台,在有些情况下,一种先进的技术只能在某一特定频率段上才能实现时,二次变频就变成了一个桥梁。在FM广播中,信噪比与频偏成正比,于是在高档FM调谐器中,把FM中频3倍频,偏频提高到3倍,不费吹灰之力信噪比就提高10分贝。当频偏大幅度增加后,原来常用的相位鉴频器和比例鉴频器没有这这么宽的线性范围,就必须采用直线鉴频特性的脉冲计数鉴频器。但是这种鉴频器的工作频率一般在3MHz以下,于是采用二次变频把高中频变成低中频,而频偏并没有改变,使脉冲鉴频器的优势得以发挥。例如,Technics ST-G7调谐器就是这样做的。
还记得那台NRD-545吗?它采用了三次变频技术,中放之后的信号用DSP处理,这就必须用一个带通Σ-Δ模数转换器把中频信号量化,而在1998年之前世界上还没有研究出这种ADC,市面上只有低通Σ-Δ模数转换器,于是采用三次变频把455KHz的二中频变成20.22KHz的三中频,就能用低通ADC把三中频量化。在这里三次变频成了数字处理的桥梁。类似的例子很多,二次变频的众多用途,使它的踪影在现代短波接收机中随处可觅。
9、抑制像频干扰的其它技术
在短波接收机历史上,除了二次变频技术外,我们的前辈们还想出其它方法抑制像频干扰,其中最著名的有可变中频和像频跟踪技术。
可变中频的原理很简单,如图4所示。如果受到像频干扰,只要微调一下本振频率,使中频升高或降低Δf,于是接收机的像频位置就高移或低移2Δf,避开了原来的像频干扰。这个方法比二次变频更有效,它的优点是不会增加假信号和互调干扰,不过在硬件上实现要比二次变频困难些,要同步改变本振频率和中周的中心频率。欧洲和苏联的爱好者曾设计过跳变中频的短波机,可在450、455、460、465四个中频上跳变中频,这是可变中频收音机的简化版。上世纪九十年代,数字可编程带通滤波器和频率合成技术的进步,使可变中频技术在DSP接收机中得到了应用。例如在NRD-545中称之为可编程通带位移滤波器的技术,能使短波中频通带可在2.3KHz范围里以50Hz的步长左右位移,这是该机消除像频干扰和邻频干扰的有力武器。

图4、可变中频原理
另一个抑制像频的技术是像频跟踪陷波器,这在欧洲的通信机中应用较广泛,它是采用一个与输入调谐回路同步调谐的串谐LC电路,连接在天线和输入回路之间,使它的谐振频率始终比接收信号频率高两倍中频,这种方法可使像抑达到30分贝以上。欧洲的工程师非常熟悉这种技术,至今仍应用在短波通信机中。
结论:
·二次变频是拉杆天线短波收音机提高像抗的救命稻草。
·二次变频对工艺要求极其严格,它更适合制造精品。
·带内一中频的袖珍式二次变频收音机是鸡肋。
·想提高灵敏度和选择性请用专门技术,不要指望二次变频。


