- 易迪拓培训,专注于微波、射频、天线设计工程师的培养
电波传播模型ITU-R P.526及多刃峰绕射研究
前言
电波在传播过程中遇到尺寸和工作波长相近的障碍物时,会绕过障碍物向前传播,这种现象叫做电波的绕射。在电视、调频广播频段(30 MHz~1000 MHz),由于其波长在米级及百米级范围,在复杂地形、地物的地理条件下,电波容易发生绕射现象。
传统的电波传播预测模型ITU-R P.370以及ITU-R P.1546比较适用于开阔和低起伏的丘陵地区,而对于多山地区,其预测误差相对较大。为此,国际电联在1978年制订了ITU-R P.526建议书——《Propagation by diffraction》,主要描述了传播中的绕射影响及其场强的预测方法,在预测中除了考虑崎岖地形所造成的绕射外,还涉及地球球形表面对传播的绕射影响。但是该建议书只提供了单刃峰、双刃峰和单圆形峰情况下的绕射算法,并没有针对复杂地形提出一般的解决方法。本文试图结合Bullington法、Epstein-Peterson法讨论ITU-R P.526及多刃峰绕射的计算和实际应用情形。
ITU-R P.526的算法
单个障碍物的形状比较复杂时,难以给出精确的解析解。只有两种形状的单个障碍物可以给出完备的解析解:一种是厚度可以忽略的刃峰(knife-edge),参见图1及图2;一种是表面光滑的圆柱体障碍物,参见图3。

图1 单刃峰示意图一

图2 单刃峰示意图二

图3 单圆形峰示意图
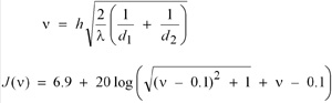
在单刃峰情况下,传播路径上只有一个障碍物对传播造成了损耗。可根据下面两个公式来计算由该障碍物所产生的影响。

①,
dB ②。
公式中各参数含义见图1和图2。
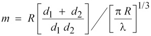
在单圆形峰情况下,传播路径上只有一个圆形的障碍物对传播有影响,在计算损耗的过程中要加上一个修正因子,该修正因子由下式提供:
T(m,n)=kmb ③。
其中k=8.2+12.0n,b=0.73+0.27[1-exp(-1.43n)],
,
。
公式中各参数含义见图3。
多峰绕射
最简单的多峰绕射问题是双刃峰绕射。由双重障碍物产生的双重刃形绕射可以通过对菲涅尔公式的双重积分得到,但是计算量巨大。而Bullington法、Epstein-Peterson法利用等效方法较好地解决了这个问题。
在Bullington法中(见图4),A、B和C点的障碍物被交界处D点的一个等效刃形障碍物替代,这时A点和B点的障碍物可以忽略。

图4 Bullington法示意图
在Epstein-Peterson法中(见图5),a、b、h′1和b、c、h′2可以分别构成单刃峰。先利用公式求出a、b、h′1之间的绕射损耗L1,然后求出b、c、h′2之间的绕射损耗L2,在求出L1和L2之后需要再加上一个修正因子Lc,其计算公式如下:
④。

图5 Epstein-Peterson法示意图
那么总的绕射损耗为:
L=L1+L2+LC ⑤。
在对山区的传播预测计算中,传播路径一般存在多个障碍物。在这种情况下,必须将多重刃峰等效成单刃峰或者双刃峰才能求得绕射损耗。可依次利用Bullington法将多个刃峰逐次等效,最后成为等效单刃峰,从而计算出总的传播损耗,也可利用Epstein-Peterson法依次等效。但是应注意Epstein-Peterson提供的双刃峰处理方法中,当障碍物距离d较大时,得到的结果比较准确。当障碍物距离d较小时,得到的结果误差较大。因此在构造刃峰的时候,必须限制刃峰的数量,尽量考虑对绕射影响较大的刃峰。
实际应用
在广播电视行业中广播场强的预测(主要指电视和调频广播)所依据的电波传播模型主要是1951年国际电联制定的ITU-R P.370建议书中的模型——《VHF and UHF propagation curves for the frequency range from 30 MHz to 1000MHz》。尽管2001年国际电联研究制订了新的电波传播场强预测标准ITU-R P.1546——《Method for point-to-area predictions for terrestrial services in the frequency range 30MHz to 3000MHz》,并用该标准替代了长期使用的ITU-R P.370标准,但是在广播场强预测方面,我国的国标仍然采用的是ITU-R P.370标准。
尽管与ITU-R P.370相比,ITU-R P.1546在预测精度和使用范围上都有所提高,但是这两个建议书均未考虑障碍物的绕射影响。因此,在多山地区,当绕射影响成为传播预测的主要因素时,这两个传播模型的预测误差就明显地增大了,例如,中国粤港边界地区就是一个典型的例子。
为了提高电波传播预测的准确性,人们一方面在理论计算上试图找到绕射问题的精确的解析解,另一方面,如同ITU-R P.370和ITU-R P.1546那样,试图通过大量的实际观测数据总结出绕射问题的规律性的传播预测曲线。这两方面的成果基本上已经体现在了ITU-R P.526建议书中。
在实际应用ITU-R P.526处理多峰绕射的过程中,必须结合电子地图才能充分发挥出其预测精准的特点。而在电子地图中,构造和提取各种计算所需要的地理信息参数则是十分专业的问题。其中第一菲涅尔区是否被阻挡以及阻挡的程度、刃峰的构造、判别以及等效是处理该问题的核心。粤港边界地区广播电视频率规划协调的实际证明,在处理复杂的多山地区的电波传播预测问题时,ITU-R P.526模型更接近于实测值。
应该注意到,在电视、调频广播频段(30 MHz~1000 MHz)内应用ITU-R P.526建议书时,主要考虑的障碍物一般为山峰或丘陵等地形障碍,对于高大建筑物的影响一般并不涉及。如何应用ITU-R P.526建议书计算预测高大建筑物的绕射影响,还需要业内专家进一步探讨。
作者:广播科学研究院 程瑞庭


