- 易迪拓培训,专注于微波、射频、天线设计工程师的培养
美国1000MHz宽带频谱共享计划浅析
引言
近年来,伴随着无线技术的快速发展,智能手机、平板电脑等设备使得移动信息接入逐步成为我们生活的中心。未来,无线频谱接入将成为全球经济增长和技术引领的重中之重。从2008年到2011年,全球移动数据连续四年实现翻倍增长。到2020年,全世界连接到移动网络的设备数量预计增长到500亿。届时,无线技术将扩大和催生更多的无线业务,在全球将产生约4.5万亿美元的经济收益,从而使得无线频谱的商业接入产生空前的需求[1]。频谱的短缺会影响美国工业在世界范围内的竞争力。
为了提升美国经济竞争力,创造就业机会,激发创新,加强国防,总统奥巴马于2010年发布了 "释放无线宽带革命"计划[2]。该计划要在10年内将腾出500MHz频谱,用于商业的移动和固定无线宽带业务。但美国国家和电信管理局(NTIA)研究发现,清除现有业务系统,重新分配联邦频谱是不可行的,这会带来高成本开销、漫长的执行时间,甚至影响现有联邦业务系统的运行。仅在1755-1850Mhz回收95MHz频谱就需要耗费10年时间和180亿美元。
现今的频谱短缺,是由于频谱未被充分管理所造成的。如果美国扩大对联邦频谱的管理范畴,使频谱变得可重复使用或可经常性的重新发放执照,便可以将频谱资源从稀缺变为富足。另外,现行频谱细碎的静态划分和独占使用方式也导致了频谱使用的低效和人为稀缺性。
针对美国频谱使用现状,弥补现行政策的不足,有效解决"频谱短缺"问题,促进美国经济发展和确保世界领先地位,美国总统科技顾问委员会(PCAST:President’s Council of Advisors on Science and Technology)提出频谱高速公路计划,该计划预计可以使现有频谱容量扩大1000倍。
频谱高速公路概念
频谱高速公路计划是确定1000MHz的联邦频谱,通过改善频谱管理手段,实施新的频谱结构和无线电系统架构,使不同无线业务在一段频谱内形成动态共享,从而极大提高频谱的使用效率。
将无线通信和公路运输做类比,宽带频谱可看作高速公路,不同无线业务可看作是在高速公路上行驶的车辆(如"联邦政府车辆"和"商用车辆"),频谱动态共享可看作机动车可以从一条车道切换到另一条车道。频谱管理系统可看作交通规则和指挥系统,不同无线业务应遵守一定的管理规则,才能避免碰撞,有效共享。例如可以设置"无线信号灯"管理频谱接入,另外出于国家和公共安全方面的考虑也可限定政府使用优先于商业使用。
根据美国频谱现有业务分配情况、频谱属性以及传播特性,PCAST建议选用2700-3700MHz的联邦频谱建立第一个频谱高速公路,并以3550MHz~3650MHz作为验证频段[3]。
频谱高速公路与国家宽带计划不同的是尽量保证现有无线业务不发生改变,其他业务通过新的管理机制有秩序的接入使用。其重要特征为频谱的共享使用而不是独占,通过大的频带划分,使其可容纳各种兼容性应用以及各种适合宽带的新技术应用。
频谱高速公路的基本理念
要实现1000MHz联邦频谱的共享的频谱高速公路,首先是将现在联邦频谱小而精的划分方式改为百兆赫兹级以上的大带宽的划分。这样可以更容易使频谱共享形成规模,但需要各联邦机构的参与合作;其次需要建立等级接入制度和频谱接入系统,以保障联邦业务系统不发生改变,并使不同等级的无线业务形成有效共享,扩展频谱容量;再次,还需要确立接收机管理框架,逐渐提高用频标准,提高邻频带的可用性;最后,为支撑频谱高速公路计划,现有简单计算频谱效率已不再适用,需要一种更全面的评估频谱使用的方法,注重频谱使用的实际效益。
(一)频谱结构转变
为实施频谱高速公路计划,实现宽带频谱动态共享,需要新的频谱结构支撑。
首先,实现频谱共享要求频谱结构向大频谱带宽的划分转变,并将频谱使用作为系统工程,而不能将频谱活动进行细致分类。新的频谱结构的调整将有助于解决由于缺乏宽带频谱而无法研制大带宽、低功耗设备的问题。从而促进相关新技术的实现和应用。反过来,此类新技术的不断涌现又会进一步促进新的频谱结构的形成。除此之外,宽带频谱还有助于可以减少邻道干扰,保持邻道的兼容性。
其次,提高频谱利用率要求频谱结构向高频段、微小区转变。由于高频率对空气和建筑物的穿透性较差,因此适合小范围的传输覆盖。而微小区的部署使得给定频谱更加容易实现空间复用,并且微小区也更适合现代的收发一体的通信设备。虽然微小区需要更多的设备,但是随着无线设备功耗的下降以及数据速率的增长,这将不再是问题。
Wi-Fi的迅速崛起证明了新的频谱结构的诸多优点。首先是对干扰的容忍度的提高,即在同一区域可以同时存在很多独立的Wi-Fi网络。尽管干扰对每个网络存在一定的影响,但是与整体吞吐量的提升程度相比,这种影响微乎其微。其次是宽的带宽可以提供更高数据速率。Wi-Fi的带宽需求从最初的20MHz增长到160MHz,其数据传输速率也随之不断增长。

图1 :未来频谱覆盖方式的转变
如何在新的频谱结构中实现共存,需要详细的分析系统,根据业务需求分类,并考虑接收机和发射机特性,为新进业务分配最合适的频带。另外从技术角度上,可从地理空间、时间、码空间、极化和方向性等方面来实现共享。这些参数可以根据不同的行为进行调整,最大化效率或其他优化目标。
(二)等级接入方式
为了使现有业务占用的频谱不产生变化,就需要通过动态频谱共享技术来管理频谱。这里将介绍三层等级频谱使用模型。

图2 :等级接入结构
联邦主用户接入(Federal Primary Access):传统的联邦用户拥有最高的优先级,需要在数据库登记其部署情况,保障其不受来自其他系统的有害干扰。联邦主用户在实际使用时具有独占权,但不能排除阻止其他联邦或个人用户的使用。
次用户接入(Secondary Access):次用户的优先级在联邦主用户之后,这类用户在特定的区域拥有短期的频谱操作权利,并被保护免受其他次用户接入的干扰。为了取得授权,次用户必须在数据库进行登记。这些次用户可能需要付费,并且可以使用高功率进行传输,保证一定的服务质量。
一般授权接入(General Authorized Access):一般授权用户具有最低的优先级,依赖于不同的策略,他们的接入方式可能需要感知开放的频谱,并在数据库进行登记。当在一个特定频段和区域内没有联邦主用户和次用户接入登记使用时,一般授权用户才可接入。当与主用户和次用户产生突出时,一般授权用户有义务腾出频谱使用权。一般授权接入设备应具备多频段操作能力和动态频谱选择功能,当某一频段不可用时,设备可以在不同的频带间切换,以保证其正常的工作。一般授权用户只允许低功率发射,但是不需要付费。
(三)频谱接入系统
为实现等级接入模型,需要建立频谱接入系统(SAS:Spectrum Access System)。联邦频谱接入系统,作为信息和控制交换所,记录各频段用户注册和使用情况,并通过它决定联邦主用户、次用户及一般授权用户的在共享频段的接入和使用。

图3:联邦频谱接入系统
当用户要共享联邦频谱时,首先要通过与管理数据库通信进行注册,然后统一协调,完成频谱指配,设备授权和发射允许。其优化原则依据给定区域的整体的频谱使用效率,但是也要考虑联邦用频的优先权。
联邦主用户和次用户通过向SAS注册来获得干扰保护。主用和次用户的列表应该实时更新,并公开透明。各用户需要周期的与数据库进行通信,更新注册信息,并确保SAS不会错误判断设备的接入可能性。
SAS的核心是数据库,它应该包含的信息有:频谱占用的时间和位置信息;信号参数,如功率和带宽;特定地点的约束;接入的价格等。
频谱高速公路的实现是复杂的,需要尽量确保联邦用频不受牵连,这包括研究干扰限制、联邦优先权、频谱分配程序、新兴的联邦系统的保护以及执行机制等。总之,要想使联邦用户和商业用户之间的频谱共享更加有效,SAS必须建立明确的规则来管理频谱,当设备受到禁止发射的信号时,必须有能力立即关闭其射频发射。
(四)接收机管理
传统的频谱管理主要集中在规范发射机的特性上,但实际上接收机的性能同样也限制了频谱的使用。接收机不仅可以接收到目标频带内的信号,而且还对邻频带信号做出响应。接收机性能不好可能会引起信号交调,产生带内假信号,导致接收机失谐,即接收机过载或减敏。因此,接收机的性能在一定程度上会限制邻频带信号的活动。
最近,美国出现了一些由于政策或技术问题导致的信号干扰的案例。美国政府不得不进行频谱交换,允许了频谱拍卖之外的频谱使用权的购买行为。为了减少Nextel蜂窝基站对公共安全频段的影响,在公共安全方面做出了巨大的投入[4]。由于使用了卫星频段,GPS系统接收机导致了光立方计划的停滞。FCC(Federal Communications Commission)相关报告展示了更多复杂的例子,这些都表明了接收机性能是影响新业务频谱接入的主要问题。
由于过去频谱使用情况不紧张,不要求各业务系统的频谱离太近,邻道信号导致的接收机干扰问题很少。如果现在不正视接收机干扰问题,类似于光立方这样干扰情况会逐渐增多,解决接收机干扰问题时十分必要的。
为了刺激无线领域的创新和投资,PCAST提出一种接收机管理框架,这种框架不会对接收机造成过多的成本,而是给出有害干扰的定义。对于要接入现有美国联邦系统相邻频段新系统,提供清晰明确的干扰要求。这个框架可以让设备厂商在满足干扰要求的条件下,自由选择适合他们设备的频段。限制低性能接收机对有害干扰的索赔的这一规划方式的改变是对现行发射机管理方式的必要补充,这个补充的目标不是避免有害干扰,而是决定谁来承担干扰的责任。
干扰门限可定义为频率和空间内的场强,如图6所示。在给定频率和空间内,只有当有害干扰超出指定的干扰程度时,被授权者才可以投诉和索赔。在没有给出干扰门限的频率和空间中,不提供干扰保护和索赔。

图4:接收机干扰门限示意图
设定接收机干扰限制,即描述有害干扰条件,可以使新的无线系统提前预估在给定的频段上部署发射机的成本。接收机干扰限制也能确保邻频带的未来可用性。在联邦频谱内,接收机的干扰限制可被预先设定,这样现存的联邦无线系统无需做任何改变,因此对现存系统不会造成任何影响。为了改善频谱使用效率,随着新设备的出现,可以不断的提高接收机干扰的门槛,不符合要求的旧设备也会随之淘汰。
(五)频谱使用效率的度量
很多测试表明,即使是在拥挤的城区,绝大部分频带(3.7GHz以下)的频谱占用度也小于20%。频谱容量应该从时间维度上被充分利用,为了支撑新的频谱共享计划,灵活使用回收的频谱,标记未充分利用的频谱,需要一种能够评估频谱使用效率的度量方法。在新的频谱结构下,简单的衡量频率效率已再适用,新的度量方法要衡量频谱使用的实际效益。在影响频谱使用的相关因素中,如传输速率、传输覆盖范围、排他性干扰等,这些参数都只能反应频谱使用的一个侧面,而新方法应综合考量所有因素。
通过这种度量方法,不仅能知道用户如何完成通信,而且要知道通信中是否会妨碍到其他用户。换言之,度量应该平衡考虑频谱使用的质量和机会成本。这种度量不仅可以定量分析比较同一频谱中的不同系统的频谱使用情况,也可以分析给定系统在不同频段的适用度。对于有益的行为或有效的调制机制,通过技术手段实现的度量方法应给予激励。
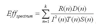
PCAST给出了一种可能的有效性度量的频谱使用的方法,该方法考虑了通信容量、通信范围、干扰范围、时间和频谱的排他性等方面。其公式如下[5]:
Effspectrum表示频谱有效性,它与数据传输的通信范围、占用频谱,区域,时间以及排他性有关;其中,R(n)表示用户n的实际通信范围;D(n)为用户n的数据通信数据量;I2(n)为用户n的干扰范围,在该范围内其他用户的通信将被阻止;T(n)为用户n的实际通信时间;S(n)为用户n实际独占的频谱;k为在特定的频段和区域总的频谱用户的个数。利用上式可以比较单蜂窝小区和Wi-Fi节点服务的有效性,可以很好的解释为什么Wi-Fi是更有效的频谱使用方式的原因,尽管它在覆盖性方面有限。
度量方法的重要性远超出工程应用和设计无线电设备的范围。公式中的每一因子都需要政策、投资和管理决策所驱动。这种度量表明无线宽带的解决办法是一个十分复杂的问题,而不是简单的腾出专用频带那么简单。
度量要强调频谱重复利用的影响,这是发展可扩展的无线网络的基础。发展越来越大范围的频谱分配无论是从频谱还是从服务角度都更加有效。
结束语
联邦频谱为美国应对频谱需求指数增长问题、在世界范围内确定频谱共享技术领先地位提供了独一无二的机会。而实现联邦频谱共享的基石是创造大划分范围的频谱。PCAST的报告表明存在开放1000MHz共享联邦(非联邦)频谱实现微小区低功率二次接入或一般授权接入的可行性 。频谱可用性的扩张可以刺激企业在技术、设备和应用服务等方面的投资,拉动二次接入设备和一般授权设备的设计和制造,促进动态频谱接入,最终实现联邦频谱潜在频谱容量的激增。
目前,我国已划分的频谱资源的利用率也较低。随着无线技术和业务日新月异的发展,我国频谱资源的紧张形势将会逐渐凸显。如何解决未来我国频谱资源需求激增的问题,我们可以借鉴频谱高速公路计划中的管理方法和理念,结合我国频谱使用情况,进行相关试验,验证动态频谱共享创新模式的可行性。一旦动态频谱共享形成广泛应用,那么在频谱监测技术、设备检测规范以及台站管理等方面都需要做出相应的改进,以适应新的频谱使用方式。
作者:杨淼 方正 李明明 来源:国家无线电监测中心
参考文献:
GSMA/Machina Research (2012). The Connected Life: A USD 4.5 trillion global impact in 2020.
Presidential Memorandum (2010). Unleashing the Wireless Broadband Revolution.
NTIA (2011). Second Interim Progress Report on the Ten-Year Plan and Timetable.
Lasar, M. (June 19, 2008). "FCC gives Sprint Nextel a break in 800 MHz spectrum makeover."
"Scaling, Density, and Decision-Making in Cognitive Wireless Networks." ,P. F. Marshall, Cambridge University Press (August 2012).


