- 易迪拓培训,专注于微波、射频、天线设计工程师的培养
MIMO原理及测试实验参考
1 引言
对于所有的无线通信系统而言,无论是3GPP UMTS这样的移动无线网络,还是像WLAN那样的无线局域网,除了通过高阶调制或更大的信号带宽这样传统的方式来提高数据速率以外,还可以通过多天线技术来提高信道的容量。作为未来移动通信的必选项目,MIMO已经引起了更多的关注,而对于MIMO系统的实现和测试,也成为通信行业的热点及难点。本文在介绍MIMO的基本原理以及在MIMO不同移动通信标准表现形式的基础上,介绍R&S公司提供的相应测试解决方案,可以满足不同客户、不同标准及不同阶段的MIMO系统测试需求。
2 MIMO基本原理
根据不同的传输信道类型,可以在无线系统中使用相应的分集方式。目前,主要的分集方式包括时间分集(不同的时隙和信道编码)、频率分集(不同的信道、扩频和OFDM)以及空间分集等。多天线系统利用的就是空间方式,而MIMO作为典型的多天线系统,可以明显提高传输速率。而在实际的无线系统中,可以根据实际情况使用一种或者多种分集方式。
2.1 传统的无线系统(SISO)
传统的通信系统往往使用单个发射天线和单个接收天线,称之为SISO系统(见图1)。

图1 SISO天线配置
根据香农定理,无线信道容量C由信号带宽和信噪比决定。如公式1所示:
公式1
2.2 多天线系统
典型的MIMO系统如图2所示,包含m个发射天线和n个接收天线。根据无线信道的特性,每个接收天线都会接收到不同发射天线的内容,因此不同收发天线间的信道冲击响应均有不同的表现形式。

图2 通用的MIMO形式
如果定义发射天线1与接收天线1之间为h11,发射天线1和接收天线2之间定义为h21。这样可以得到n×m的传输矩阵,也就是我们所说的传输信道矩阵形式,如公式2所示:
公式2
当收发天线间的信道为窄带时不变系统时,可以得到MIMO系统接收信号表现形式为:
公式3
其中,接收信号Y,发射信号X及噪声n。
在MIMO系统中,发射天线的数据被分成几个独立的数据流。数据流M的数目一般小于或等于天线的数目。如果收发天线之间并不相等,那么等于或小于收发端最小的天线数目。例如,4×4的MIMO系统可以用于传送4个或者更少的数据流,而3×2的MIMO系统可以发送两个或者小于两个的数据流。理论上,传输信道的容量会根据数据流的数目线性增长,MIMO系统的信道容量表示如公式4决定。
公式4
对于目前的无线通信系统,MIMO的基本形式有如下几种:
(1)单用户MIMO(SU-MIMO):如果MIMO系统用于增加一个用户的速率,称之为单用户MIMO(见图3)。

图3 SU-MIMO
(2)多用户MIMO(MU-MIMO):如果每个独立的数据流分配给不同的用户,称之为多用户。这种模式主要对上行链路有用。从UE的复杂程度和体积来看,每个UE只能有一个发射天线,因此称之为"协同MIMO",MU-MIMO如图4所示。

图4 MU-MIMO
(3)循环时延分集(CDD):在OFDM系统中,CDD已经作为常规技术被广泛使用。对CDD而言,相当于在不同天线的发射信号之间存在相应的时延。其实质相当于在OFDM系统中引入了虚拟的时延回波成分,可以在接收端增加相应的选择性。因为CDD引入了额外的分集成分,所以往往被认为是空分复用的补充表现形式。
2.2.1 空间分集
空间分集对应于在不同的传输信道发送相对冗余的数据,这样可以提高系统的稳定性。常用的空间分集包含一下几种形式:
(1)接收分集
接收分集是在接收端使用比发射端更多的天线,最基本的接收分集包含2个接收天线和1个发射天线(SIMO,1×2),具体参见图5。

图5 SIMO天线配置
因为不需要特殊的编码方式,因此比较容易实现。在接收端只需2个射频通路。同时由于存在不同的传输路径,接收端可以观察到两个不同的衰落信号。在接收端使用适当的方法,可以增加接收端的信噪比。常用的方法包括开关选择分集和最大比例合并。选择开关分集总是使用较强的信号,而最大比例合并,是使用两个信号之和。具体形式参见图6。

图6 接收分集
(2)发射分集
如果发射天线数目比接收天线数目更多,称之为发射分集。最简单的发射分集形式是用2个发射天线和1个接收天线(MISO,2×1),具体参见图7。

图7 MISO天线配置
在2×1的MISO系统中,两个天线发送相应的数据内容。Alamouti的空时码是应用最广泛的天线编码方式。空时编码可以增加空间分集的性能:信号的副本通过不同的天线在不同的时间进行发送。发送的时延称为时延分集。Alamouti空时编码的实现方式如图8所示。

图8 Alamouti编码
在Alamouti编码中,信源首先被分为两组,每组两个字符。在第一个给定的字符间隔内,每组中的两个字符被同时发射:从天线1发射的信号为S1,从天线2发射的信号为S2。在下一个字符间隔内,信号-S2*从天线1发射,信号S1*从天线2发射。
目前,Alamouti编码已经扩展到多天线系统。当然,Alamouti编码也可以在频域实现,此时称为空频编码。
2.2.2 空分复用
空分复用不仅仅是为了增加系统的稳定性,同时也可以增加传输速率。为了提高传输速率,数据可以分成几个数据流,然后在不同的天线上进行传输。空分复用的天线形式如图9所示。

图9 MIMO天线配置
因为MIMO通过无线信道进行传输,不同的收发天线之间都存在相应的传输信道。同时由于每个传输路径的冲击响应的存在,因此不同的传输信道之间存在相互影响。根据公式2和公式3,如果MIMO系统的传输矩阵H是已知的,那么从接收机可以得到不同天线的数据内容。
2.2.3 波束形成
通过使用不同的天线技术可以明显地增加网络容量。例如,对于不同扇区的天线,每个天线可以覆盖60或120度,作为一个工作小区。在GSM系统中,相比于全向天线而言,采用120度波束天线可以提高3倍的小区容量。
自适应天线阵列可以通过窄带波束实现空间分集。智能天线属于自适应天线阵列的一种。智能天线可以形成一个特定用户的波束,并且可以根据反馈信号实现实时的动态调整。智能天线可包括切换式波束形成和自适应波束形成,可以用于所有的天线阵列系统以及MIMO系统(见图10)。

图10 切换波束形成和自适应波束形成
切换式波束形成可以计算到达角并且切换固定的波束。用户只能沿波束方向才可以得到最优的信号强度。而自适应波束形成可以根据运动的终端而实时地调整波束方向,因此自适应波束形成要比切换式波束形成的复杂程度更高,花费也更大。
3 无线通信系统中的MIMO技术
目前,MIMO已经成为未来移动通信技术的必选项目,都会采用相应的分集和复用技术。以下简单介绍不同标准中对应MIMO的不同表现形式。
3.1 3GPP UMTS
作为主流的移动通信标准,3GPP标准已经有了长足的发展。从WCDMA开始,已经引入了很多提高传输速率的方法,包括HSDPA和HSUPA。最新版本包括HSPA+和LTE。
3.1.1 HSPA+(3GPP R7/R8)
R99(WCDMA)已经引入了发射分集的概念,为了比R6版本的HSDPA可以得到更高的传输速率,R7版本的HSPA+采用了MIMO的技术。在下行链路中,可以采用MIMO或64QAM的调制方式,对应的峰值速率可以达到28Mbit/s,但在R7版本MIMO和64QAM不能同时使用。而在R8的标准中,MIMO和64QAM可以同时使用,峰值速率最高可达42Mbit/s,不支持上行MIMO。
对于高速下行共享信道,MIMO使用两个发射天线阵列,实现方式如图11所示。

图11 PA+MIMO示意图
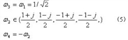
使用两个发射天线阵列,两个独立的数据流同时在无线信道内传输,可以采用和WCDMA一样的信道化码。在扩频和加扰后,为了更好地在无线信道中传输,对其进行相应的加权预编码。此时需要得到4个ω1~ω4的加权因子。第一个数据流用加权因子ω1和ω2相乘,第二个数据流用加权因子ω3和ω4相乘,加权因子由公式(5)决定。

此时,ω1是固定的,ω2根据基站进行选择。为了保证正交,加权因子ω3和ω4根据ω1和ω2得到。基站根据上行终端选择最优的加权因子。
除了在HS-DSCH中使用MIMO,加权的相关信息必须通过HS-SCCH控制信道传送给终端UE。尽管在上行中不使用MIMO,但是和MIMO相关的信息仍然必须在上行链路中传输。终端UE在HS-DPCCH信道中发送相应的预编码控制指示和信道质量指示,这样可以让基站根据信道情况来调整调制、编码方式和预编码的加权因子。关于HSPA+的更多细节,请参阅参考文献。
3.1.2 LTE(3GPP R8)
3GPP R8版本中定义的LTE,采用降低延时和分组交换技术可以达到更高的传输速率。LTE的多址方式下行采用OFDM,上行采用SC-OFDM,同时MIMO技术也是LTE的重要组成部分。LTE规定的调制方式包括QPSK,16QAM和64QAM。下行的峰值速率最高可达300Mbit/s(4×4MIMO)和150Mbit/s(2×2MIMO),上行最高可达75Mbit/s。
LTE的下行链路如图12所示。在LTE的下行传输中,LTE包括:单天线传输,没有MIMO;发射分集;开环空分复用,无需UE反馈信号;闭环空分复用,需要UE反馈;多用户MIMO(在指定的相同RB上有多个UE);闭环预编码;波束形成等几种传输模式。

图12 LTE下行链路示意图
在LTE系统中,1个或2个码字可以映射到多个空间复用的传输层(图12中的Layer Mapper模块)。在空间复用之前,首先经过一个预编码的过程(图12中的Precoding模块),也就是与根据码本定义的预编码矩阵W相乘,预编码后的数据发送到各个天线。在收发天线两端都要经过相同的预编码过程。根据不同的天线数目以及空间复用和发射分集的方式,规范定义了不同的码本。图13为2天线情况下空分复用的预编码矩阵形式。

图13 2天线情况下空分复用的预编码矩阵形式
在LTE的上行链路中,为了降低终端UE的复杂程度,采用MU-MIMO技术。在MU-MIMO技术中,多个UE每个使用一个发射天线,在相同的无线信道中进行传输。
3.2 WiMAXTM(802.16e-2005)
WiMAX技术可以在20MHz的信道带宽内达到74Mbit/s的峰值速率。调制方式包括QPSK,16QAM和64QAM。
WiMAX的下行链路如图14所示。WiMAX 802.16e标准现在已经将MIMO定义为必选项。标准定义了大量不同的编码和分布矩阵形式。原理上可以使用2,3,4个发射天线。在所有的模式中,可以选择矩阵矩阵A,B,C。在图14所示的译码模块中,数据流与选择的矩阵形式相乘,然后映射到不同的发射天线。

图14 下行WiMAX示意图
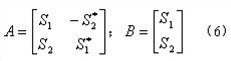
在实际的系统中,矩阵A和B实现方式如公式(6)所示。

矩阵A对应发射分集,矩阵B对应空分复用(也称为真正的MIMO),而在3天线和4天线系统中,也存在相应的矩阵形式。
在WiMAX的上行MIMO中,仅仅是采用不同的导频序列,编码和映射方式与非MIMO方式相同。此外,SU-MIMO中两个不同的用户使用相同的信道(称为协同MIMO,MU-MIMO)。
3.3 WLAN(802.11n)
根据802.11n的规范定义,WLAN需要在40MHz的带宽内达到峰值速率600Mbit/s。调制方式采用BPSK,QPSK,16QAM和64QAM。WLAN802.11n可以后向兼容802.11a/b/g。系统最多支持4个发射天线,对应4个数据流。
WLAN可以区别空间流SS和空时流STS。如果NSS

图15 WLAN下行示意图
图16给出了NSS = 1 and NSTS = 2的矩阵形式。

图16 NSS < NSTS的编码矩阵形式
在空间映射模块中,STS映射到发射链路(NTX),可以提供3种不同的方式:首先是直接映射1到1从STC映射到TC;其次是空间扩展,也就是另外用一个矩阵进行相乘。图17所示为2个空时流和3个发射天线的示例;最后是波束形成,也就是另外用一个矢量进行相乘。

图17 两个空时流和3个发射天线的示例矩阵
3.4 其它通信标准
未来的移动通信标准都会采用MIMO技术,例如LTE Advanced,其目标在下行链路100MHz的信号带宽内达到1Gbit/s传输的速率;而对于1x EV-DO Rev.C,要求在前向链路1.25MHz的信号带宽内速率达到18Mbit/s;另外,WiMAXTM 802.16m的目标是在下行链路中的20MHz信号带宽内提供300Mbit/s的速率。
4 R&S解决方案
目前,R&S的测试设备可以为支持MIMO技术的所有移动通信标准提供相应的测试解决方案。信号发生器可以在非信令模式下支持MIMO系统上行和下行的接收机测试。信号分析仪主要用于发射机测试,而无线综测仪提供信令模式下的射频测试和协议测试。RF测试系统提供完整的RF一致性测试。
4.1 信号发生器
SMU200A是业界惟一的一台双通道矢量信号源。UE接收机测试可以通过SMU信号发生器完成。SMU可以支持各种包含MIMO技术的移动通信标准(802.11n,802.16e和3GPP Rel7和Rel8)。SMU的界面如图18所示。

图18 SMU界面
此外,在SMU的MIMO选件中,可以对各个衰落信道间的相关性进行设置。而且SMU衰落模拟器内置了很多标准规定的实时的衰落场景,可以方便用户直接调用。同样SMU也可以支持AWGN功能,方便进行相应的接收测试。
在单台双通道的SMU里,可以很方便地实现符合标准的2×2衰落模拟,同时可以支持多种通信标准。通过两台仪表级联的方式,可以最多模拟4个天线。
加装相参选件SMU-B90和移相器以后,对于4个天线的波束形成可以实现精确的相位关系设置(见图19)。

图19 通过SMU-B90进行到达角模拟
AMU基带信号发生及衰落模拟器除了可以生成符合各种移动通信标准的基带信号外,还可以通过数字IQ输入/输出接口为CMW500和SMATE提供MIMO衰落模拟。通过把AMU和SMATE相互连接的方式,可以提供和单台双通道SMU相同的功能,同时两个通道的频率都可以扩展到6GHz。
4.2 信号分析仪
对于发射测试,FSQ/FSG/FSV信号/频谱分析仪可以使用。它们可以用于各种通信标准的SISO测试,也可以用于大多数MIMO测试例,如LTE标准中的Timing Alignment测试。图20所示为业界最高端的信号分析仪FSQ。

图20 高端信号分析仪FSQ
通过把多台FSx(最多支持4台)仪表连接起来,可以同时测量和解调4个发射天线的信号。
4.3 移动台测试
CMW500宽带无线综测仪可以用于UE研发、生产和一致性测试的各个阶段。作为LTE协议测试,CMW500同时也可用于验证从协议层测试,也可以通过可编程接口进行灵活的信令测试。除此之外,CMW500同样也可以支持MIMO测试。图21所示为宽带无线综测仪CMW500。

图21 宽带无线综测仪CMW
CMW270 WiMAX?综测仪提供了业界首台WiMAX移动台测试的多功能一体解决方案:从信令模式下的移动台一致性测试到非信令模式下高速、价优的生产测试。同时,CMW270还可以支持WiMAX?的MIMO测试,包括2天线的Matrix A和Matrix B。
4.4 系统
要完整地验证MIMO终端的性能,需要复杂的RF测试。MIMO同时也是射频一致性测试和UE认证过程中非常重要的测试项目。R&S为客户提供的WiMAX和LTE的射频测试系统,可用于从研发到一致性测试的测试用例。完整的RF测试系统如图22所示。

图22 R&S测试系统
R&S?TS8980 LTE射频测试系统采用模块化和全自动测试设计,适用于LTE移动台的RF发射机和接收机测量。此外,R&S?TS8980做好了将来处理MIMO和多无线小区场景的准备。另外,R&S将通过系统升级的形式为用户提供功能扩展。作为标准化组织的积极参与者,R&S积极致力于LTE的推广,并将获得的知识与经验融入到自己的产品设计中。
R&S?TS8970移动WiMAX RCT测试系统应WiMAX Forum?的请求而开发的,其频率范围在400MHz~6GHz之间,为未来移动WiMAX?标准做好了准备。可用同一系统运行基站和移动台的测试案例。提供无可比拟的测量准确度和详细的结果报告。TS8970适用于可广泛应用于WiMAX设备的研发、生产、和性能测试。
R&S?TS8975WiMAX? RF预认证测试系统可以支持TS8970的绝大多数测试功能,是用于预认证和质量控制的经济型测试系统。
5 结束语
现在无线通信系统需要提供越来越高的数据速率。传统的方式通过高阶调制和更大的信号带宽来实现,新的方法却通过利用无线系统的传输信道来提高数据速率。通过使用多天线系统(典型的MIMO),可以使数据速率和信道容量有了比较大的提升。因此,MIMO系统已广泛应用于多种移动通信标准,也成为了未来移动通信标准的必选项目。本文在介绍MIMO原理和不同通信体制MIMO应用的基础上,给出了R&S公司的相应测试解决方案。目前,R&S公司的测试设备已经可以满足多种移动通信标准MIMO测试的相应需求。
上一篇:微波信号光纤传输技术
下一篇:SDH数字微波通信技术


