- 易迪拓培训,专注于微波、射频、天线设计工程师的培养
基于幅相量化的数字射频存储技术
数字射频存储(RFM)术是将输入模拟信号变成顺序的数字量,存在数字存储器中,需要时,再从存储器中读出,换成模拟信号输出。这一技术从提出至今已有几十年的历史。随着现代电子战的迫切需求和微电子技术的飞速发展,DRFM技术已有了长足的进步。数字储频技术中的关键技术是数字量化存储、处理和重构。目前,国内外数字量化较多采用的方法有两种:幅度量化方法和相位量化法。
幅度量化DRFM具有较高的输出信噪比,采用正交幅度取样后可以获得较大的无模糊带宽,但在转发干扰时,进行相位调制比较复杂,并且容易受到信号脉内幅度起伏的影响;相位量化DRFM具有较大的信号带宽,技术实现较幅度量化简便,但其输出信噪比低,无法满足高质量信号重构的要求。为解决这两者之间的矛盾,一种新的数字储频方法——幅相量化法应运而生。与传统的单一幅度或相位量化储频方式不同,基于幅相量化的DRFM系统将二者有机地结合起来。它前端采用正交采样,获得两路I,Q数字信号经过幅相转换器,映射为一路数字相位信号,存入存储器中。进行干扰处理时,从存储器中读出相位数据,直接对其进行简单的运算即可完成多种相位调制(如移频、噪声调相等)。输出时,再将相位信息还原成幅度数据送给D/A变换器。由于保存的是被接收信号的相位,所以可以非常方便地进行各种相位调制,也可以消除由于信号幅度起伏引起的脉内幅度变化,而且对存储器容量的要求降低了一倍。
1、基于幅相量化DRFM的工作原理
基于幅相量化的数字储频系统基本原理如图1所示:
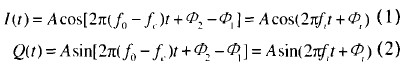
假设输入信号
,正交下变频器本振频率为ƒo,初相为ø2。正交下变频器的输出为:


图l 基于幅相量化的DRFM系统原理框图
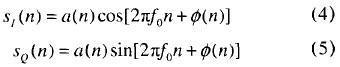
假设A/D变换器的采样周期为Ts,量化位数为b,且输入信号经过预处理后,其幅度A与A/D变换器的最大输入电平相匹配。输出I(n),Q(n)为两路波特率为1/Ts,2b位的2进制数据流,经由幅相转换器合成一路相位数据ø(n)存入存储单元中。控制单元根据实际要求,对ø(n)进行相应处理,以达到各种干扰效果。以噪声调相干扰为例,控制单元在周期从存储单元读出ø(n)的同时,产生一个随机相位噪声序列N(n)与ø(n)在干扰产生单元叠加,生成随机相位量ø(n)=mod(N(n)+ø(n),2π),再经过相幅变换后恢复为两路正交幅度信号,I(n),Q(n)。最后通过DAC及上变频重构为噪声调相射频信号。
2、幅相/相幅转换器的设计
基于幅相量化的射频存储系统的关键部件是幅相/相幅转换器。工程上一般采用查表的方式进行幅度<=>相位的转换。
设ADC量化位数b=1,则幅相转换器的输入输出对应关系如下表所示:

当b≥2时,输入与输出的关系可用式(3)表示:

式中△为相位分辨率,A=2π/2B,B为相位量化位数。当ADC的量化位数b确定之后,幅相量化表输入部分的编码位数也相应确定为2b。若B太小,会降低相位量化精度;若B太大(B>2b),则表的输出项会产生不必要冗余,徒增存储器开销而无益。一般选取B≤2b,形成编码逻辑表。
相幅转换可与幅相转换器使用同一编码逻辑表,仅将输入输出对调即可。
3、幅相量化DRFM性能分析
与传统的幅度量化DRFM相比,幅相量化DRFM具有明显的优势,其主要表现为:
(1)保证高保真度的同时,大幅度减少了数据存储量。由图1可以看出,数字化的两路幅度信号I(n),Q(n)经过幅一相转换后变为一路数字相位信号ø(n)存入存储单元中。这样一来对存储器的容量要求就减少了一半,使硬件集成更加容易。相对于幅度量化DRFM增加的新部件——幅相/相幅转换器其实是一个映射表,由公式(3)可知此表的数据量较小,实现简单。
(2)消除由于信号幅度起伏引起的脉内幅度变化。射频信号的接收处理中不可避免地会引入噪声,从而引起信号幅度的起伏。在幅相转换器的设计中,用公式(4)确定幅相对应关系,信号幅度量A被约去,所以它的起伏变化,不会影响相位的准确定位。
(3)转发干扰时进行相位调制比较简单。现代雷达的工作体制已从简单的脉冲制雷达发展到脉冲多普勒(PD)和脉压等全相参雷达,移频干扰和调相干扰是对这种相参雷达常用的有效干扰方式。幅度量化DRFM常用的一种调制方式如图2(a)所示。

其多普勒调制器采用数字正交混频方案。假设幅度采样后雷达信号为

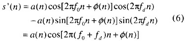
利用DDS产生cos(2πfdn)和sin(2πfdn)的数字信号,分别乘以同相分量SI(n)和正交分量SQ(n),然后两路数字信号相减得到:

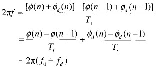
这样S’(n)相对于原始信号有了一个多普勒频移fd。由以上分析可知,幅度量化DRFM在进行相位调制时每个采样点要进行2次乘法运算和1次加法运算,运算量比较大,对于实时性要求较高的应用场合,难以满足要求。图2(b)是基于幅相量化DRFM的多普勒频移干扰产生单元。控制单元以周期Ts(ADC采用周期)从存储单元中取出相位数据流ø(n),并按要求产生频移常数因子2πfdTs送入累加器。累加器以为周期对频移因子进行累加运算,并输出对应的相位偏移量ød(n)=n·2πfdTs,精度取决于相位量化位数B。再经加法器与取出的雷达相位信号相加得到干扰信号的相位数据流

送入相幅转换器中。通过简单计算可知干扰信号的瞬时角频率

即完成了多普勒频移调制。由于采用正交调制技术,多普勒频移的无模糊带宽与ADC带宽相同,可达l/Ts。观察图2(b),不难看出基于幅相量化的DRFM进行多普勒移频干扰每个采样点只需2次加法运算,与幅度量化DRFM相比大大减少了运算量,从而提高了处理速度。
与传统的相位量化DRFM相比,幅相量化DRFM最显著的优势在于其复制信号有较高的保真度。以常用的3bit相位量化为例,理想情况下其由量化引起的寄生信号最大功率出现在7次谐波处,约为一16.9dB,难以满足干扰PD雷达所需的寄生信号功率小于一20~-30dB的要求。当增加量化位数后,其信噪比提高不明显,且系统复杂程度大幅度提高。幅相量化DRFM,由于其前端采用A/D幅度采样,所以其存储信号的保真度与使用同性能ADC的幅度量化DRFM相同,由量化噪声引起的信噪比(S/n)q与量化位数b的关系近似为:
(S/n)q≈6.02×b+1.76dB (9)
当A/D量化位数b=3时,即可获得比较满意的信噪比。而且随量化位数的增加,信噪比呈线性提高。
4、系统仿真
笔者利用Matlab软件的Simulink工具箱,对这种基于幅相量化的DRFM系统进行建模与仿真。模拟雷达射频信号为20MHz单频正弦波,系统前端采用正交AD采样,本振频率fo=21MHz,经混频、低通滤波后的中频频率fo=21—20=1MHz,量化位数b=8,采样频率fo=4MHz。,I,Q数字信号经幅相转换器变换,输出一路相位数据,存入存储器中,存储长度为0.1ms。转发过程与储频过程相反,前面已经讨论,这里不再敷述。
由于在未加干扰时同比特幅相量化与幅度量化DRFM的信号保真度相同,而幅度量化与相位量化DRFM的保真度比较,参考资料4中已做了详细的论证和仿真,所以本文重点对同比特幅度量化与幅相量化DRFM对脉内幅度起伏信号的复制效果做一仿真比较。
为了便于比较,将AD采样后的,I,Q数字输出信号引出,不经幅相转换而直接以传统幅度量化DRFM的方式存储并转发。图三是系统重构射频信号功率谱,比较(a),(b)两图可以看出,当无噪声干扰时,幅相量化DRFM与幅度量化DRFM的输出信噪比相差不大。当在射频输入端加入白噪声(SNR=7dB)以后,会引起信号脉内幅度起伏。由图(C),(d)可看到后者输出信号的信噪比优于后者(改善约5dB),即采用幅相量化技术的DRFM系统有效地抑制了信号脉内幅度起伏,信号复制能力高于同比特传统幅度量化储频系统。这一仿真结果与前面的分析结论相吻合。




图4是将存储信号进行多普勒相位调制后重构的频移干扰信号频谱,可以看出本系统可方便且有效地完成调相干扰任务。

图4 幅相量化DRFM系统多普勒频移干扰输出功率谱
5、结束语
通过以上分析,我们可以看到,作为数字储频技术的一种新思路的幅相量化DRFM方法在传统幅度量化和相位量化DRFM的基础上进行了技术改进,较好的结合了两者的优点,即满足了对复制信号高保真度的要求,有减小了系统开支,加快了处理速度,满足了实时性要求,对现代战场上的新型相参PD雷达及脉压雷达将会有良好的干扰效果。随着当今微电子技术的迅猛发展,幅相量化DRFM系统的关键器件ADC的量化位数和采样率在不断提高,幅度量化固有的对器件的苛刻要求正逐渐得到满足。由此我们可读出结论,基于幅相量化的数字射频存储技术具有广阔的发展前景,必将在现代电子战场上占据一席之地。
参考文献
1 Roome S J.Digital Radio Frequence M emory.Electronics &Communication Engineering Journal,1990 2(41:147~ 153.
2 James T 宽带数字接收机.北京:电子工业出版社,2002.
3曹鹏,戴国宪.一种基于数字射频存储器的欺骗干扰机. 航天电子对抗,2004(2):3~35.
4彭世蕤,傅由东.幅度和相位量化数字储频寄生信号分析 空军雷达学院学报,2002,16(1):4~7.
5赵国庆.雷达对抗原理.西安:西安电子科技大学出版社, 1999.
作者:王影,赵国庆
上一篇:超宽带光载无线系统及其关键技术
下一篇:微波传输设备的转型与发展


