- 易迪拓培训,专注于微波、射频、天线设计工程师的培养
浅析无线通信产品的可靠性预计与实现
0、引言
电子产品的可靠性预计一直是困扰各个无线通信公司的难题之一,目前比较通用的可靠性预计方法是由贝尔实验室在2001年推出的Bellcore-SR332方法。该方法的不足之处在于它仅根据产品的设计和使用环境进行可靠性预计,未考虑影响产品可靠性的其他关键因素,例如工艺、制造、筛选、管理等,预计的结果表达的是设计的可靠性,而非现场可靠性。在充分认识到Bell-core-SR332方法的缺陷后,依据可靠性相关理论对现场返还数据进行分解与建模分析,获得一个融合了产品设计能力、使用环境、工艺水平、制造能力、检测能力以及质量管理水平的产品失效率模型,并建立了一套符合无线通信产品研发生产过程各项可靠性活动返还率预计系统,为无线通信产品可靠性设计与提升奠定基础。
本文通过应用可靠性理论及其相关的数学模型,对大量无线通信产品的现场返还数据进行分解和建模分析,建立了一个不仅涵盖产品设计能力、使用环境等因素,而且还包含产品工艺水平、制造能力、检测能力以及质量管理水平等诸多因素在内的失效率模型,从而避免了现有可靠性预计方法上的漏洞。另外,结合无线通信行业可靠性设计活动,设计出一套现场返还率预测方法,能够满足产品设计、研发、试产、上市等各个阶段对可靠性预计的需求,为无线通信产品的返还率降低提供支持。
1、可靠性理论
1.1 传统可靠性理论知识
与大多数产品类似,无线通信产品的可靠性亦符合失效率"浴盆曲线"规律(见图1)。其失效率的现场表现可以划分为三个时期:早期失效期、偶然失效期和耗损失效期。
第一阶段是早期失效期:表明产品在开始使用时,失效率很高,但随着产品工作时间的增加,失效率迅速降低。这一阶段失效的原因大多是由于设计、原材料和制造过程中的缺陷造成的。第二阶段是偶然失效期,也称随机失效期:这一阶段的特点是失效率较低,且较稳定,往往可近似看作常数。产品可靠性指标所描述的就是这个时期,这一时期是产品的良好使用阶段,偶然失效主要原因是质量缺陷、材料弱点、环境和使用不当等因素引起。第三阶段是耗损失效期:该阶段的失效率随时间的延长而急速增加,主要由磨损、疲劳、老化和耗损等原因造成。

1.2 可靠性理论深入分析
为进一步分析失效率曲线,需要对故障发生时的数学模型做一些说明。故障的发生通常是产品所设计和制造出来的强度不满足环境应力,例如一个电路的极限功率为5 W,若向其提供超出5 W的功率,电路烧毁,则故障发生。如图2所示,一批产品的强度是符合正态分布的,命名为设计强度曲线;而这批产品的使用环境同样也符合正态分布,命名为环境应力曲线。

图2 中的故障区,当两只曲线交叉时,表明有部分产品的强度低于其环境应力,从而发生故障。这个交叉的区域面积代表失效率率,随着使用时间的不同,这个区域是会发生变化的,如图中虚线为老化后的产品强度曲线,交叉面积在不断增加。
由此可知,两曲线交叉面积所得到的失效率是由四个因素决定的,分别是该产品的设计强度(即中值)、制造能力(即一致性)、老化速度和环境应力。由于环境应力的度量还没有比较有效的手段,虽然其规律符合正态分布,但中值和方差的获得在技术上还是难题。因此在预测方法上采取以相同环境处理,避免了环境应力的影响。
结合以上分析,对产品的失效率模型可以分解为三个子模型,分别是制造因素模型、设计因素模型和老化因素模型。图3是对失效率"浴盆曲线"的分解。

2、通信产品的预测方法
上面提到,由于环境应力度量上的困难,从预测方法上将以相同使用环境作为失效率建模和返还率预测的前提。从另一个角度看,不同市场的售后服务政策不同,也必须按市场的不同进行返还率预测。如图4所示。

图4是按相同市场进行的返还率预测过程,以及过程中的变量说明。预测包括四个过程,数据采集、失效率建模、返还率计算和模型校准等。数据采集既包括对已有产品返还数据的采集,又包括产品研发过程中相关的可靠性活动和质量检验等数据,还包括预测后产品上市后现场数据的采集。失效率建模则是通过采集到可靠性测试和质量检验结果,换算出各项因素参数,用于失效率模型因子计算,从而得新产品失效率模型。返还率计算则是通过新产品的失效率模型,结合该产品销售模型,按返还率定义计算出预测的返还率。最后,待新产品上市后采集返还率数据,校准该产品预测的失效率模型,为下一个新产品的返还率预测提供经验。
3、现场返还数据分析与建模预计
无线通信产品的现场返还故障多种多样,以智能手机为例,有硬件的、软件的、部件的等,故障种类多达上百种。对于如此复杂的现场返还数据,为保证返还率预测的准确性,必须选择重点故障进行失效率建模。如何选择重点故障,可以通过图5的某智能机现场返还故障占比案例进行说明。

通过计算可知,该产品前10 名故障数量占总故障数量的62.5%.如果只对这10个故障的现场数据分析和建模,则预测方法的系统误差有37.5%,这与要求的系统误差不高于10%相差甚远。为降低预测的系统误差,应扩大更多的故障进行建模,使得这些故障总占比超出90%.按前面案例中的智能机产品,至少有33 种故障加起来的故障数占总故障数比值超出90%,在失效率建模中要分别对这33种故障进行建模。
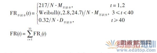
确定了哪些故障要建模后,便开始进行失效率建模。以不识卡故障为例,其现场返还数据的规律如图6所示。可以看出该故障早期失效期大约到第40周,最初的2周时间内主要由于开箱损和相关法律法规影响,返还率较高,而第3周后到第40周的返还成先波峰状,经数学工具拟合分析后证明该分布符合威布尔分布。
40周后,该故障成线性分布,视作偶然失效期。
由于此类型消费类无线通信产品的产品生命周期较短,一般不超过2年,因此很难观测到故障的耗损失效期,为此仅对故障的早期失效期和偶然失效期的失效率进行建模。
图7是对不识卡故障的现场返还数据进行的建模,符合威布尔分布,其形状参数为2.8,尺度参数24.7.在第40周附件的模型与实际数据略有差异,表明有故障发生但用户因该产品已经使用了较长的时间,不愿意去维修,故返回规律在此处与模型有所差异。

可得不识卡故障的失效率模型如式(1)所示:

式中:N为总返还量。
按照以上数学工具拟合方式对其余32个故障进行建模,便可完成产品的失效率模型,如式(2)所示:

开始新产品的预测时,根据新产品可靠性测试和生产质量检验等输出物进行失效率模型的因子计算,便可获得新产品的失效率模型,如式(3)所示:

式中:N为总返还量;Mi为某故障在生产质量检验中的发生概率与已有产品在生产质量检验中发生概率的比值,作为该产品的制造因素参数;Di为某故障在研发阶段可靠性测试中的失效率与已有产品的失效率比值,作为该产品的设计因素参数。最后,通过返还率的定义,按月份计算产品上市后各个月度的返还率。
4、结语
通过以相同市场的已有产品返还数据进行产品失效率建模和返还率预测,规避了Bellcore-SR332可靠性预计方法上的缺陷,使得返还率的预测更加符合产品实际情况。并且结合无线通信产品的研发过程,相应的采用过程数据进行预测,使得可靠性预计工作与产品可靠性设计结合得更加紧密,为提高无线通信产品的可靠性,提高预测的准确性等方面都得以实现。
上一篇:MBB时代如何破解通信基站站点建设难题
下一篇:智能交通或借自主无线技术实现飞跃


