- 易迪拓培训,专注于微波、射频、天线设计工程师的培养
LTE演进及其标准化
另外,HSPA+不采用频率选择性调度,只在时域使用机会性调度。而LTE得益于频率选择性调度机制,在时域和频域都可以进行机会性调度,其容量增益约为10%~15%。对于PS域的典型语音应用——VoIP来说,HSPA+中不再使用HS-SCCH,下行的容量得到改善,但上行仍然是限制因素。而LTE则采用半持续性调度和TTI绑定技术来降低控制信道开销,极大地改善了VoIP容量。
LTE和HSPA+的理论最大传输速率如图2所示。从图2中可以直观地看出,当采用最大带宽配置时,LTE的传输性能远远超过HSPA+,其吞吐量约为后者的8倍。
3.2 时延
时延是数据在网络中传送所需要的环回时间。无线通信技术发展至今,每次技术演进都在努力降低时延。相比于 EDGE的150ms,HSDPA的时延小于70ms。而后HSUPA、HSPA+和LTE的时延则更低。HSPA+为了更好的兼容性,基本是沿袭了HSPA的网络架构,而在LTE系统中,则有了全新的变化。首先是无线接入系统只有一种网络结点,那就是eNodeB。eNodeB替代了3G网络中的NodeB和RNC,主管无线接入功能。eNodeB和eNodeB之间引入了X2接口,一部分业务流量可直接在基站之间处理,而不用再发往核心网络,大大提高了数据处理效率。LTE接入网的架构演进如图3所示。

在单元化接入网网元的同时,LTE的核心网节点也进行了简化,通过网络扁平化进一步提升网络性能。采用LTE网络架构的最大好处就是通过减少节点减少时延,满足LTE实时业务的低时延要求,另外减少网络实体,也符合节省成本的需求。
图4显示了各系统的时延对比。设备商的性能各不相同,所以每种系统的时延都用最大值和最小值的区间来表示。可以看出,LTE的时延均小于20ms,满足系统设计要求,相对于HSPA+也有一定的优势。

3.3 频谱效率
频谱效率是指单位频带所支持的数据速率或者用户数。在频段、频谱数量、小区位置等因素不变的情况下,频谱效率意味着一定负荷条件下所支持的用户数较多,或者说在用户数目相同的条件下,单个用户的吞吐量较高。LTE和HSPA+的频谱效率差异是其各自采用的载波调制技术差异决定的。
传统的多载波通信系统中,为了避免相互干扰,整个系统频带被划分为若干个分离的子载波。各载波之间有一定的保护间隔,频带没有重叠,接收端通过滤波器把各个子载波分离之后接收所需信息。设置保护频带虽然可以避免各子载波间的互相干扰,但却需要以牺牲频率效率为代价。而OFDM技术完全解决了子载波干扰的问题。
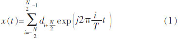
OFDM的基带信号可以表示为

式中:
i——子载波
d——系统输入
T——信号周期
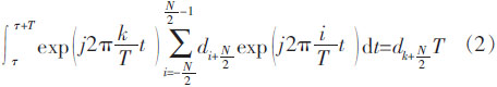
单路k子载波的解调结果为

对于除k外的其他子载波来说,由于在积分间隔内,频率偏差是1/T的整数倍,所以积分结果为0。因此相邻子载波虽然在频域上重叠,但不会产生干扰。
从图5中可以看出,由于OFDM技术的频率特性,各子载波间的频率响应是正交的。子载波间隔大大减小,从而使频率利用效率大大提高。LTE系统采用的各子载波间隔为15kHz,可以充分满足奈奎斯特准则。

实际应用场景中,无线网络的频谱效率受到很多因素的影响,如网络拓扑、传播条件、用户分布、业务特点等。在衡量和比较各个系统的频谱效率时,必须考虑到系统的仿真条件。3GPP对系统的仿真条件做了简单约定,常用的网络参数如表2所示。

在上述仿真条件下,LTE的频谱效率与HSPA+的对比结果如图6所示。从图6中可以看出,LTE的频谱利用率要明显高于HSPA+。



