- 易迪拓培训,专注于微波、射频、天线设计工程师的培养
TD-SCDMA高频谱利用率浅析
录入:edatop.com 点击:
TD-SCDMA作为3G的三大国际标准之一,是由我国自主研发的具有自主知识产权的移动通信标准。TD-SCDMA相比于WCDMA和CDMA2000具有频谱利用率高、适合非对称业务、频点多、呼吸效应弱、成本价格低、有利于和先进技术相结合等六大优势。其中频谱利用率高是核心优势,也是TD前景被业界看好的很重要的原因。
频谱利用率比较
频率是不可再生资源,因此频谱利用率一直以来是大家所关注的问题。频谱利用率的衡量标准有两个方面:对于话音业务,我们可以通过计算每小区每兆赫兹的话音信道数来获得频谱利用率的;对于数据业务,我们可以通过计算每小区每兆赫兹的传输速率来得到这个指标。根据这个定义,我们可以比较WCDMA、CDMA2000和TD-SCDMA的频谱利用率,如下表所示:

表1 三种3G标准频谱利用率比较
从上表,我们可以清楚地看到,无论从语音业务还是从数据业务的角度,TD-SCDMA的频谱利用率都高于其他两种标准,即使是对于三种标准的演进版本(如HSDPA、1xEV-DO版本A),TD-SCDMA也具有一定的优势。随着世界上频谱资源的日益匮乏,TD-SCDMA的这个优势会逐渐显示出来。
另外,由于TD-SCDMA的带宽仅为1.6MHz,远低于WCDMA的10MHz,因此能够更好地利用零散的频谱,从某种意义上说,也提高了频谱利用率。
TD-SCDMA高频谱利用率原因分析
TD-SCDMA的高频谱利用率的优势是由多方面的原因形成的,既包括TD-SCDMA自身的特性,也包括所采用的技术上带来的优势。下面从三个方面分析。
时分双工方式
在3G标准中有2种双工方式:FDD和TDD,其中TD-SCDMA是三大标准中唯一的TDD方式。因此TD-SCDMA继承了TDD的一系列优势,高频谱利用率就是其中之一。
随着移动通信的发展,上下行业务的比例也在变化,据权威机构预测,到2010年,上下行业务的比例将会达到1:10,也就是说大部分的业务将是下行的数据业务。而对于FDD模式,由于上下行分别占用不同的带宽,所以对于低业务量的上行链路来说(相比于下行链路而言),这些带宽相当于就浪费了。但是TDD不是这样的,它可以根据上下行不同的业务比例,通过动态地调整时隙满足需求。
举一个简单的例子:以WCDMA和TD-SCDMA做比较,假设上下行业务的比例是1:5,带宽都是10M,则采用FDD的WCDMA的频谱利用率仅为60%,有相当一部分资源被浪费;而采用TDD的TD-SCDMA系统可以灵活地调整上下行转换点,将TS1设为上行时隙,TS2~TS6为下行时隙,充分地利用了频谱资源,理想状态下可以达到100%。
显然,当上下行比例进一步加大时,比如1:10等,WCDMA对资源的浪费将变得更加明显,TD-SCDMA的高频谱利用率的优势将更加突出。而移动通信发展的趋势将是下行业务量逐渐加大,占用绝对优势,因此TD-SCDMA的这个优点满足了移动通信发展的趋势。
先进的物理层技术
频谱利用率的提高还和物理层采用的技术有关。CDMA是个干扰受限的系统,而TD-SCDMA在物理层采用了两大关键技术:智能天线和联合检测,有效地消除了干扰,提高了频谱利用率。
智能天线
智能天线采用空分多址(SDMA)技术,利用信号在传输方向上的差别,将同频率或同时隙、同码道的信号区分开来,最大限度地利用有限的信道资源。与无方向性天线相比较,其上、下行链路的天线增益大大提高,降低了发射功率电平,提高了信噪比,有效地克服了信道传输衰落的影响。同时,由于天线波瓣直接指向用户,减小了与本小区内其它用户之间,以及与相邻小区用户之间的干扰,而且也减少了移动通信信道的多径效应。

图1 智能天线基本原理
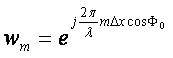
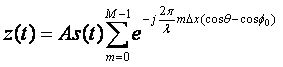
如图1所示,智能天线通过改变滤波器的权值来调整天线的方向角,动态地跟踪用户的移动方向。分析如下:
接收信号为:

假设需要让智能天线指向,则:

所以:

正是由于TD-SCDMA采用了智能天线,提高了天线增益,减少了系统干扰,从而扩大了系统容量,提高了频谱利用率。
联合检测
联合检测技术是在传统检测技术的基础上,充分利用造成多址干扰的所有用户的信号及其多径的先验信息(包括扩频序列、信道估计值、训练序列等等),把用户信号的分离当成统一的相互关联的联合检测过程来完成。因此具有良好的抗干扰性能,降低了系统对功率控制精度的要求,从而可以更加有效地利用上链路的频谱资源,显著地提高系统容量。

其中:
d是发射的数据符号序列,e是接收的数据序列,n是噪声,A是与扩频码c和信道脉冲响应h有关的矩阵。
因此只要接收端知道A(扩频码c和信道脉冲响应h),就可以估计出符号序列而,扩频码c已知,信道脉冲响应h可以利用突发结构中的训练序列midamble求解出。
正是由于TD-SCDMA采用了联合检测技术,减少了系统干扰,从而扩大了系统容量,提高了频谱利用率。
如果把智能天线和联合检测技术相结合,更能提高系统的性能。联合检测可以解决当用户处于同一方向时,智能天线所不能克服的干扰;智能天线可以降低联合检测在多码道处理的复杂度,并完全消除联合检测所不能消除的多址干扰。因此,两者的结合,可以降低干扰,从而提高系统的容量,获得高频谱利用率。
WCDMA由于采用了FDD模式,上下行频谱不对称,因此基于目前的技术不能使用智能天线,而对于联合检测,由于WCDMA的单小区用户数一般可以达到60~120个,这导致联合检测的矩阵运算量剧增,复杂度和时延加大,因此也是不可行的。
另外,TD还是同步系统,相比于WCDMA的下行同步,TD系统的同步更为严格,还包括上行同步和基站间的同步。上行同步要求用户要同时到达基站,基站同步保证了基站同时收发信号。这些都有效地保证了信道化码的正交性,克服了用户间和小区间的干扰,提高了系统容量。
动态的无线资源管理
TD-SCDMA是结合了TDMA、FDMA、CDMA和SDMA为一体的3G标准,因此,对于无线资源的管理表现为:频率、时隙、码字和角度。TD技术采用了动态信道分配技术(DCA)来进行无线资源的分配和管理。
DCA技术可以是时域的资源分配(选择接入时隙来减小激活用户之间的干扰)、频域资源分配(把激活用户分配在不同的载波上,从而减小小区内用户之间的干扰)、码域资源分配(通过改变分配的码道来避免偶然出现的码道质量恶化)和空域资源分配(通过用户定位、波束赋形来减小小区内用户之间的干扰、增加系统容量)。
DCA技术也包括慢速DCA和快速DCA。慢速DCA的主要任务是进行各个小区间的资源分配,在每个小区内分配和调整上下行链路的资源,测量网络端和用户端的干扰,并根据本地干扰情况为信道分配优先级。快速DCA包括信道分配和信道调整两个过程:信道分配是根据其需要资源单元的多少为承载业务分配一条或多条物理信道;信道调整(信道重分配)可以通过RNC对小区负荷情况、终端移动情况和信道质量的监测结果,动态地对资源单元(主要是时隙和码道)进行调配和切换。
DCA技术通过动态信道分配,优化资源配置,降低了用户间的干扰,提升了系统的容量,因此也从一定程度上提高了系统的频谱利用率。
随着移动通信市场竞争的愈演愈烈,每个运营商在标准的选择上都会非常慎重,投资回报率成为很重要的一个因素。TD高频谱利用率的优势可以有效降低网络的建设和运维成本,使运营商很快获得回报,提升运营商的综合竞争力,这些在频谱资源日益匮乏的今天尤为突出,在后续的演进中也会日益体现。(董玉楠编辑)
----《通信世界》
作者:武汉烽火移动通信有限公司研发部 李翔
频谱利用率比较
频率是不可再生资源,因此频谱利用率一直以来是大家所关注的问题。频谱利用率的衡量标准有两个方面:对于话音业务,我们可以通过计算每小区每兆赫兹的话音信道数来获得频谱利用率的;对于数据业务,我们可以通过计算每小区每兆赫兹的传输速率来得到这个指标。根据这个定义,我们可以比较WCDMA、CDMA2000和TD-SCDMA的频谱利用率,如下表所示:

从上表,我们可以清楚地看到,无论从语音业务还是从数据业务的角度,TD-SCDMA的频谱利用率都高于其他两种标准,即使是对于三种标准的演进版本(如HSDPA、1xEV-DO版本A),TD-SCDMA也具有一定的优势。随着世界上频谱资源的日益匮乏,TD-SCDMA的这个优势会逐渐显示出来。
另外,由于TD-SCDMA的带宽仅为1.6MHz,远低于WCDMA的10MHz,因此能够更好地利用零散的频谱,从某种意义上说,也提高了频谱利用率。
TD-SCDMA高频谱利用率原因分析
TD-SCDMA的高频谱利用率的优势是由多方面的原因形成的,既包括TD-SCDMA自身的特性,也包括所采用的技术上带来的优势。下面从三个方面分析。
时分双工方式
在3G标准中有2种双工方式:FDD和TDD,其中TD-SCDMA是三大标准中唯一的TDD方式。因此TD-SCDMA继承了TDD的一系列优势,高频谱利用率就是其中之一。
随着移动通信的发展,上下行业务的比例也在变化,据权威机构预测,到2010年,上下行业务的比例将会达到1:10,也就是说大部分的业务将是下行的数据业务。而对于FDD模式,由于上下行分别占用不同的带宽,所以对于低业务量的上行链路来说(相比于下行链路而言),这些带宽相当于就浪费了。但是TDD不是这样的,它可以根据上下行不同的业务比例,通过动态地调整时隙满足需求。
举一个简单的例子:以WCDMA和TD-SCDMA做比较,假设上下行业务的比例是1:5,带宽都是10M,则采用FDD的WCDMA的频谱利用率仅为60%,有相当一部分资源被浪费;而采用TDD的TD-SCDMA系统可以灵活地调整上下行转换点,将TS1设为上行时隙,TS2~TS6为下行时隙,充分地利用了频谱资源,理想状态下可以达到100%。
显然,当上下行比例进一步加大时,比如1:10等,WCDMA对资源的浪费将变得更加明显,TD-SCDMA的高频谱利用率的优势将更加突出。而移动通信发展的趋势将是下行业务量逐渐加大,占用绝对优势,因此TD-SCDMA的这个优点满足了移动通信发展的趋势。
先进的物理层技术
频谱利用率的提高还和物理层采用的技术有关。CDMA是个干扰受限的系统,而TD-SCDMA在物理层采用了两大关键技术:智能天线和联合检测,有效地消除了干扰,提高了频谱利用率。
智能天线
智能天线采用空分多址(SDMA)技术,利用信号在传输方向上的差别,将同频率或同时隙、同码道的信号区分开来,最大限度地利用有限的信道资源。与无方向性天线相比较,其上、下行链路的天线增益大大提高,降低了发射功率电平,提高了信噪比,有效地克服了信道传输衰落的影响。同时,由于天线波瓣直接指向用户,减小了与本小区内其它用户之间,以及与相邻小区用户之间的干扰,而且也减少了移动通信信道的多径效应。

如图1所示,智能天线通过改变滤波器的权值来调整天线的方向角,动态地跟踪用户的移动方向。分析如下:
接收信号为:

假设需要让智能天线指向,则:

所以:

正是由于TD-SCDMA采用了智能天线,提高了天线增益,减少了系统干扰,从而扩大了系统容量,提高了频谱利用率。
联合检测
联合检测技术是在传统检测技术的基础上,充分利用造成多址干扰的所有用户的信号及其多径的先验信息(包括扩频序列、信道估计值、训练序列等等),把用户信号的分离当成统一的相互关联的联合检测过程来完成。因此具有良好的抗干扰性能,降低了系统对功率控制精度的要求,从而可以更加有效地利用上链路的频谱资源,显著地提高系统容量。

其中:
d是发射的数据符号序列,e是接收的数据序列,n是噪声,A是与扩频码c和信道脉冲响应h有关的矩阵。
因此只要接收端知道A(扩频码c和信道脉冲响应h),就可以估计出符号序列而,扩频码c已知,信道脉冲响应h可以利用突发结构中的训练序列midamble求解出。
正是由于TD-SCDMA采用了联合检测技术,减少了系统干扰,从而扩大了系统容量,提高了频谱利用率。
如果把智能天线和联合检测技术相结合,更能提高系统的性能。联合检测可以解决当用户处于同一方向时,智能天线所不能克服的干扰;智能天线可以降低联合检测在多码道处理的复杂度,并完全消除联合检测所不能消除的多址干扰。因此,两者的结合,可以降低干扰,从而提高系统的容量,获得高频谱利用率。
WCDMA由于采用了FDD模式,上下行频谱不对称,因此基于目前的技术不能使用智能天线,而对于联合检测,由于WCDMA的单小区用户数一般可以达到60~120个,这导致联合检测的矩阵运算量剧增,复杂度和时延加大,因此也是不可行的。
另外,TD还是同步系统,相比于WCDMA的下行同步,TD系统的同步更为严格,还包括上行同步和基站间的同步。上行同步要求用户要同时到达基站,基站同步保证了基站同时收发信号。这些都有效地保证了信道化码的正交性,克服了用户间和小区间的干扰,提高了系统容量。
动态的无线资源管理
TD-SCDMA是结合了TDMA、FDMA、CDMA和SDMA为一体的3G标准,因此,对于无线资源的管理表现为:频率、时隙、码字和角度。TD技术采用了动态信道分配技术(DCA)来进行无线资源的分配和管理。
DCA技术可以是时域的资源分配(选择接入时隙来减小激活用户之间的干扰)、频域资源分配(把激活用户分配在不同的载波上,从而减小小区内用户之间的干扰)、码域资源分配(通过改变分配的码道来避免偶然出现的码道质量恶化)和空域资源分配(通过用户定位、波束赋形来减小小区内用户之间的干扰、增加系统容量)。
DCA技术也包括慢速DCA和快速DCA。慢速DCA的主要任务是进行各个小区间的资源分配,在每个小区内分配和调整上下行链路的资源,测量网络端和用户端的干扰,并根据本地干扰情况为信道分配优先级。快速DCA包括信道分配和信道调整两个过程:信道分配是根据其需要资源单元的多少为承载业务分配一条或多条物理信道;信道调整(信道重分配)可以通过RNC对小区负荷情况、终端移动情况和信道质量的监测结果,动态地对资源单元(主要是时隙和码道)进行调配和切换。
DCA技术通过动态信道分配,优化资源配置,降低了用户间的干扰,提升了系统的容量,因此也从一定程度上提高了系统的频谱利用率。
随着移动通信市场竞争的愈演愈烈,每个运营商在标准的选择上都会非常慎重,投资回报率成为很重要的一个因素。TD高频谱利用率的优势可以有效降低网络的建设和运维成本,使运营商很快获得回报,提升运营商的综合竞争力,这些在频谱资源日益匮乏的今天尤为突出,在后续的演进中也会日益体现。(董玉楠编辑)
----《通信世界》
作者:武汉烽火移动通信有限公司研发部 李翔


