- 易迪拓培训,专注于微波、射频、天线设计工程师的培养
WiMAX与TD联合 网中切换技术的研究
1、TD-SCDMA与WiMAX技术特点
近些年,通信产业界最热门的话题莫过于3G与WiMAX技术发展了。而3G标准中又以中国自主开发、拥有自主知识产权的时分同步码分多址(TD -SCDMA)系统尤为突出。与其它两个3G标准(WCDMA、cdma2000)相比,TD-SCDMA的优点有:(1)TD-SCDMA采用时分数字双工(TDD)模式。TDD是上下行的传输使用同一频带的双工模式,根据时间区分上、下行并进行切换,物理层的时隙被分为上、下行两部分,不需要成对的频率,上下行链路业务共享同一信道,可以不平均分配,特别适用于非对称的分组交换数据业务(如互联网)。TDD的频谱利用率高,而且成本低廉。(2)TD- SCDMA对频率资源的利用率是最高的。TD-SCDMA系统仅采用1.28 Mchip/s的码片速率,采用TDD双工模式,只需占用单一的1.6 M带宽,就可传送2 Mbit/s的数据业务。同时TD-SCDMA也有很多不足:(1)由于采用多时隙的不连续传输方式,基站发射峰值功率与平均功率的比值较高,造成基站功耗较大,基站覆盖半径较小,同时也造成抗衰落和抗多普勒频移的性能较差,当手机处于高速移动的状态时通信能力较差。(2)由于TD-SCDMA系统仅采用 1.28 Mchip/s的码片速率,然而码片速率高才能有效地利用频率选择性分集以及空间的接收和发射分集,可以有效地解决多径问题和衰落问题,因此TD- SCDMA在高速率数据传输上,很难完全满足用户对高速多媒体业务的需求。
WiMAX是一项无线城域网(WMAN)接入技术,经过一段时间的发展已从最开始的802.16标准演化出了目前的802.16a、 802.16d、802.16e等一系列标准。以基于IEEE802.16d标准的WiMAX技术(即固定WiMAX技术)为例,它的单个基站覆盖范围最大可达50公里,每扇区数据带宽最高达75 Mbit/s,此外,WiMAX技术还具备系统建设快、成本低、系统易扩展升级、频率划分和调整灵活、在媒体访问控制(MAC)层提供QoS保证、安全性强等特点。而802.16e技术标准更是针对802.16d标准移动性欠缺的问题,使得用户端以车载速度移动时依然可以获得较高的带宽。
2、TD-SCDMA与WiMAX联合组网技术上的可能性
TD-SCDMA蜂窝移动网络与WiMAX宽带无线网络虽然是两种不同结构的的网络,但二者之间也具有一些共同的特性。
TD-SCDMA无线传输方案是FDMA、TDMA和CDMA这三种基本传输模式的灵活结合。通过与联合检测相结合以及智能天线的应用,TD-SCDMA的传输容量显著增长。为了提高系统性能,TD-SCDMA采用了很多先进的关键技术:
(1)智能天线技术。这种技术通过各阵元信号的幅度和相位加权改变阵列的方向图形状,能够把主波束对准入射信号并自适应实时的跟踪信号,同时将零点对准干扰信号,从而抑制干扰信号,提高信号的信噪比,改善整个通信系统的性能。此外它还引入了空分多址方式(SDMA),使得在相同时隙、相同频率或相同地址码情况下,仍可以根据信号不同的空间传播路径区分用户。在多个指向不同用户的并行天线波束控制下,可以显著降低用户信号彼此间的干扰,大大提高系统频谱利用率。
(2)联合检测技术。它是在多用户检测技术基础上提出的。该技术是减弱或消除多址干扰、多径干扰和远近效应的有效手段,能够简化功率控制,降低功率控制精度,弥补正交扩频码互相相关性不理想所带来的消极影响,从而改善系统性能、提高系统容量、增大小区覆盖范围。
(3)同步CDMA技术。同步CDMA指上行链路各终端信号与基站解调器完全同步,它通过软件及物理层设计实现,可使正交扩频的各码道在解扩时完全正交,相互间不会产生多址干扰,克服了异步CDMA多址技术由于移动终端发射的码道信号到达基站时间不同,造成码道非正交所带来的干扰,从而提高 CDMA系统容量、简化硬件、降低成本。
(4)软件无线电技术。该技术是利用数字信号处理软件实现无线通信功能的一种技术,它能在同一硬件平台上利用软件处理基带信号,通过加载不同的软件,可实现不同的业务性能。
(5)接力切换技术。TD-SCDMA系统的基站和基站控制器可采用接力切换技术,根据用户的方位和距离信息,判断手机用户现在是否移动到应该切换给另一基站的临近区域。如果进入切换区,便可通过基站控制器通知另一基站做好切换准备,达到接力切换的目的。接力切换可提高切换成功率,降低切换时临近基站信道资源的占用。
WiMAX在物理层上分别有单载波、OFDM、正交频分多址(OFDMA)三种技术体制。其中单载波体制使用的是QPSK、160AM、 640AM、2560AM调制技术加频域均衡,后两种体制都采用了利 于抗衰落、抗多径、降低实现成本,及提高频谱效率的OFDM调制技术。在MAC层, WiMAX采用的是TDMA方式,可以是TDD双工模式或FDD双工模式。这种多址方式能保证传输时延,支持面向连接的业务,以及为系统提供QoS和差异化服务、带宽的动态分配。通过这种多址方式可以使WiMAX基站同时接入数千个远端用户站,既可满足无连接传输的需求,如数据业务,也可在QoS下进行面向连接的传输,如需要有QoS保证的视频和话音(VoIP)业务。
从上述TD-SCDMA与WiMAX的一些特点可以看出两者的确具有一些共同的特点,如二者在空中接口方面都采用了 OFDM/OFDMA/MIMO等先进技术以追求更高的频谱效率和更快的数据速率,都将业务分成了若干类别,提供QoS保证,都制订了协议规范确保支持移动性等。尤其是随着主体数据业务的确立和VoIP技术的发展,特别是由于IMS的提出,TD-SCDMA网络迈出了面向全IP核心网的关键一步,因此二者的目标更加接近,都指向了有QoS保证的IP核心网和移动宽带接入网。
正是由于TD-SCDMA与WiMAX的这些共性特征,使得两者在技术上可以达到很好的融合。而随着各种无线技术的迅速发展,移动办公的流行和便携设备的普及,用户对综合化的、随时随地、永远在线的无线移动服务的需求将持续增长。这也为两种网络的融合创造了业务需求的前提。
3、混合网络的切换
如果实现TD-SCDMA与WiMAX的混合组网,切换问题则可以说是其最重要的一个技术问题。在保证一定的掉线率和切换成功率的前提下,用户如何从一个网络平滑地切入另一个网络是混合网络设计的关键要素。对于混合网络而言,各种网络可能架构不同,使用不同的技术,因此现在还没有一套统一的关于异构网切换的技术标准。不同的异构网进行混合,需要根据异构网的特征采用不同的切换技术。在这里笔者对根据接收信号强度、迟滞电平和信标为判断准则的切换机制进行了研究。
由3GPP协议可知,以接收信号强度(RSS)做切换指标时,切换执行前后临界时刻的采样平均值最为关键。故设MS经过采样临界点前最后一次采样均值为λ1,而切换后第一次采样均值为λ2,前后2次采样的差值为Dss,WiMAX和TD-SCDMA的接收信号强度模型分别为:

式中:d和D-d分别为移动台到WiMAX接入点和TD-SCDMA基站的距离;P0、n、K1和K2为路径损失参数,F(d)和υ(d)为同阴影衰落有关的静态零均值高斯白噪声过程且不相关(方差均为)。

保切换发生于两种网络的边界上,因而有效地避免了乒乓效应的发生。其中λ1、λ2要根据网络拓扑的实际情况,如切入点密度和基站距离来实际确定。
结合以上分析,并针对两种网络在信道特性、数据速率和业务类型上的差异,可以有下列两种无缝切换控制方案。在高带宽的WiMAX和低带宽的TD-SCDMA之间切换时,先设定用户已经进入这两种网络的交叉覆盖区域,并开始信号强度的检测工作。
3.1 从WiMAX向TD-SCDMA切换
从WiMAX向TD-SCDMA切换如图1所示。用户在网络中运行高速数据业务时,在从WiMAX切换到TD-SCDMA之前必须做传输数据率的调整。当达到Rw<Rt时就开始执行切换的准备工作,即移动台向TD-SCDMA要求信标,协调传输带宽,信标条件满足后执行切换。而协调过程消耗的时延则用来减小切换时的乒乓效应;如果原网络运行数据率不高于TD-SCDMA的普通业务,则尽量保持在条件较好的WiMAX网络中,直到满足Rt≥Rw+ hv才切换,由于迟滞电平的作用,同样可以减少乒乓效应。

图1 从WiMAX向TD-SCDMA切换
3.2 从TD-SCDMA向WiMAX切换
从TD-SCDMA向WiMAX切换如图2所示。虽然原则上当有高带宽的网络可用时尽量向其切换,但从带宽相对较低的TD-SCDMA向 WiMAX切换时,文章提出的策略并不因新网络带宽高就立即切换过去,而是从保证业务的可靠性角度出发来做判决,考虑当前业务是否是实时性的。由于异构网切换过程中的时延开销较大,容易带来实时业务中断。因此,在满足Rw≥Rt+hv时,就根据当前业务的实时性进行判断,如不是实时业务,那么TD-SCDMA就立即向WiMAX切换;如是实时业务,那么向TD-SCDMA要求信标,并在要求满足后切换,这样切换时的TD-SCDMA网络条件较好,为实时业务的顺利交接提供了保障,同时避免了乒乓效应。

图2 从TD-SCDMA向WiMAX切换
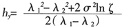
总之,由以上的推导可知,我们得到了迟滞电平值
。从TD-SCDMA向WiMAX切换时,在满足Rw≥Rt+hv时,根据当前业务的实时性来进行判断,如不是实时性业务,那么TD-SCDMA就立即向W iMAX切换;如是实时业务,那么向TD-SCDMA要求信标,在要求满足后切换;然而从WiMAX切换到TD-SCDMA之前必须做传输数据率的调整,因此达到Rw<Rt时才可以开始执行切换的准备工作(移动台向TD- SCDMA要求信标)来协调传输带宽,信标条件满足后执行切换,如果原网络运行数据率不高于TD-SCDMA的普通业务,则尽量保持在条件较好的 WiMAX网络中,直到满足Rw≥Rt+hv才切换,这样均可以减少乒乓效应。
4、结语
在现今无线通信领域,很难有哪种技术或标准能够一统天下,多种技术共存是一个不争的事实,多种技术融合发展也是必然的趋势。
TD-SCDMA是无线网络宽带化的成果,而WiMAX系统则使宽带网络向无线化迈出了重要一步。目前两者实现的独立组网的网络已经出现,但由于两者本身的一些特点使得两者的结合也不可避免,这样有利于两大系统实现优势互补,达成双赢的局面,所以说,各类通信技术演进发展,最终将会在未来融合,共同为用户创造一个美好的信息时代。
来源:现代电信科技

