- 易迪拓培训,专注于微波、射频、天线设计工程师的培养
WCDMA网络容量估算方法一览
1、概述
WCDMA网络规模估算是根据网络规划的覆盖目标、容量目标和质量目标得出满足需求的配置和设备数量的过程,一般包括覆盖估算和容量估算。由于WCDMA系统是一个自干扰和软容量系统,其覆盖和容量并非一成不变,而是与网络的干扰水平有关,其覆盖和容量相互影响,当网络负载较轻时,覆盖距离较远;当网络负载加重时,由于用户干扰功率上升,小区覆盖会自动收缩,因此需要从覆盖和容量两方面着手计算所需的基站规模。
覆盖估算方法对前向覆盖和反向覆盖进行估算,得到小区的覆盖半径,然后计算所需的基站数量;容量估算方法对前向容量和反向容量进行估算,得到小区的容量,然后计算所需的基站数量;最后取较大者作为系统所需的基站数量。
2、容量规划原理
WCDMA网络上行容量主要是干扰受限,下行容量主要是基站发射功率受限。当语音为主要业务时,容量为上行受限;当数据业务吞吐量达到一定比例后,容量转为下行受限。在2GCDMA网络中,语音为主要应用业务,其上下行业务流量较为对称,容量主要是上行受限,因此主要关注上行的容量计算。但在WCDMA网络中,数据业务的比重显著增加,且网络上下行的业务流量普遍呈现出不对称的特性,甚至有可能出现下行容量受限的情况,因此需要从上下行两个方向分别进行估算。
2.1上行容量规模估算
在WCDMA系统中,用户使用相同的载波,经过编码以后,每个信号成为其他信号的噪声(干扰),因此每个信号都包含在由其他用户产生的宽带干扰背景中。为了接入一个呼叫,基站的接收信号必须达到业务解调要求的Eb/No。
第j个用户的Eb/No为:
(Eb/No)j=用户j的处理增益×用户j的信号功率/总接收功率(除去自身的信号)(1)
可将公式(1)简化为:
(Eb/No)j=(W/VjRj)×(Pj/Itotal-Pj)(2)
其中,W是码片速率(3.84Mchip/s),Vj是用户j的激活因子,Rj是用户j的比特速率,Pj是来自用户j的信号接收功率,Itotal是基站处包括热噪声功率在内的总的宽带接收功率。从式(2)可知,用户信号要达到解调要求,其在基站接收端的接收功率应满足公式(3):

WCDMA上行容量规模估算
(3)
定义一个连接负荷因子Lj,用来表示用户信号功率占基站总接收功率的比例:

WCDMA上行容量规模估算
(4)
则单个用户信号功率Pj可表示为:
Pj=LjItotal(5)
得到来自同一小区内的所有用户(N)的总接收功率为:

WCDMA上行容量规模估算
(6)
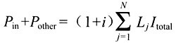
通常基站接收端的总接收功率由小区内用户干扰功率、小区外用户干扰功率和基站热噪声三部分组成,即:
Itotal=Pin+Pother+PN(7)
其中,Pin为小区内用户总干扰功率;Pother为小区外用户总干扰功率;PN为基站热噪声功率。小区外移动台的干扰不通过本小区基站进行功率控制,故其干扰大小难以确定。把来自其他小区的干扰与本小区干扰的比值定义为邻区干扰因子i,则i=其他小区干扰/本小区干扰。一般情况下,采用全向天线的宏小区邻区干扰因子为0.55,采用三扇区天线的宏小区邻区干扰因子为0.65。因此,基站的总用户接收功率为:

WCDMA上行容量规模估算
(8)
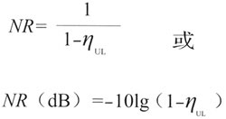
定义噪声抬升为基站总的宽带接收功率与噪声功率之比,即:

WCDMA上行容量规模估算
(9)
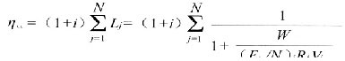
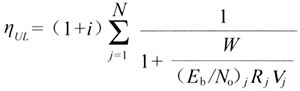
定义上行链路负荷因子ηUL为:

WCDMA上行容量规模估算
(10)
ηUL表示基站接收端用户信号功率占宽带总接收功率的比值,因此噪声抬升可表示为:

WCDMA上行容量规模估算
(11)
公式(11)反映了基站接收端由用户干扰引起的热噪声之外的噪声抬升,并可计算出3dB的噪声抬升对应50%的负荷因子,6dB的噪声抬升对应75%的负荷因子。通常网络规划假设上行负荷因子为50%,在单一业务的情况下,根据公式(10)可以求出每个小区所能提供的信道数,进而求出满足上行容量所需的总基站数。
2.2下行容量规模估算
在下行链路中,基站功率被小区内的所有用户共享。当基站总功率中没有多余的功率分配给一个新增用户时,空中接口就达到了容量限制,即当一个基站为使其全部用户正常运行而发送的总功率超过了基站的额定功率时,下行链路就达到了受功率限制的容量,因此下行容量受限于基站总的发射功率。与上行链路容量分析方法类似,下行链路容量分析的出发点仍是解调信号要求的Eb/No值。
2.3坎贝尔法
WCDMA网络是多业务并存的网络,对小区容量的估算不能简单地用纯语音业务来估算,不同业务的业务速率和所需的Eb/No不同,对系统的影响也不相同,因此目前一般采用混合业务来进行估算。混合业务的容量估算有等效爱尔兰法、后爱尔兰法和坎贝尔法,其中前两种方法都有一定的缺陷,而基于坎贝尔理论的混合业务容量估算方法将不同业务对系统负荷产生的影响等效为多个语音信道对系统负荷产生的影响,可计算出混合业务条件下,小区的复合信道数和复合爱尔兰数,因此可用该方法对容量规模进行估算。
坎贝尔法的基本原理是将所有业务按一定原则等效成一种虚拟业务,并计算此虚拟业务的总话务量,然后计算满足此话务量所需的虚拟信道数,进而折算出满足网络容量的实际信道数。坎贝尔模型的等效原理如下:

下行容量规模估算
(12)
其中,c是容量因子,v是混合业务方差,a是混合业务均值,ai是业务i的等效强度,Ci是业务i需要的信道数,OfferedTraffic是虚拟业务的业务量,Capacity是满足虚拟业务量需要的虚拟信道数。目前WCDMA网络容量规划多采用坎贝尔法进行估算,以下通过案例来阐述此方法的应用。
3、使用坎贝尔法进行容量规划的案例
本案例的容量规模估算仅针对WCDMA上行方向进行估算,由于上下行方向的原理相同,故在此不再对下行进行分析。
假设某地区业务模型数据如下:系统设计负载为50%,语音业务阻塞率为2%,邻区干扰因子为0.65,正交因子为0.6,城区面积为40.8km2。规划区域内业务的情况见表1。
表1某地区业务模型数据(上行方向)

3.1计算各种业务的强度
●语音:1
●低速数据:32×1×100.27/(12.2×0.67×100.5)=2.3
●高速数据:64×1×100.24/(12.2×0.67×100.5)=4.3
●视频:64×1×100.37/(12.2×0.67×100.5)=5.8
3.2计算均值、方差和容量因子
假设小区数为,则每个小区的混合业务量均值和方差分别为:
●a=(3000×1+400×2.3+100×4.3+5×5.8)/n=4381.39/n
●v=(3000×12+400×2.32+100×4.32+5×5.82)/n=7145.45/n
●容量因子为C=v/a=1.63
3.3计算虚拟业务量和虚拟信道数
OfferedTraffic=a/c=2687.969/n
因为变量n的存在,无法直接通过ErlB表查询小区的虚拟信道数,但是根据系统的负载要求,每个小区所能提供的等效语音业务信道数是可知的。反向容量计算见公式(13):

计算虚拟业务量和虚拟信道数
(13)
根据公式(13)可以求出在50%以下的负载要求下,系统能提供的等效语音信道数是45。

计算虚拟业务量和虚拟信道数
(14)
根据公式(14)可求出虚拟信道数Capacity=(45-1)/1.63=26,查ErlB表,得出在2%阻塞率下,小区的虚拟业务量为18.38,由2687.969/n=18.38可得n=146,即146个小区。若采用三扇区的基站,则满足该密集城区的上行容量需要49个基站。
4、结束语
覆盖估算和容量估算为大致了解规划区域内的基站规模提供了依据。在覆盖估算和容量估算的结果中,覆盖估算所需的基站数量大于容量估算所需的基站数量,特别是在建网初期。一般情况下,覆盖估算的基站规模就是网络的规模。网络规模估算之后,就可以大致确定基站的数量和密度,利用专业仿真软件进行网络规模估算结果的验证工作。通过仿真来验证估算的基站数量和密度能否满足规划区对系统的覆盖和容量要求,以及混合业务可以达到的服务质量。


