- 易迪拓培训,专注于微波、射频、天线设计工程师的培养
LTE基础:移动无线信道统计分析
如果衰落是由各向同性的多径引起的,则接收到的信号是一个复高斯随机过程,复高斯随机过程的包络服从瑞利分布,相位服从均匀分布,因此这样的衰落信号称为瑞利衰落。
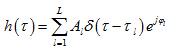
在移动通信信道中,由于基站和移动台之间的反射体、散射体和折射体的数量是相当多的,所以信道的冲激响应表示如下:
,
其中,L代表到达多径的条数;
Al代表第l条路径的信号幅度;
τl代表第l条路径相对第一条路径(τ=0)的时延;
φl代表第l条路径的信号相位。
当径数较多时,可假设没有直射信道,因此信道的冲激响应h(τ)可以看成一个零均值复高斯过程,其包络的值A符合瑞利分布,分布函数p(A)为:
。
信号包络的均值为
,方差为σ2。
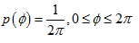
相位φ符合均匀分布的,分布函数p(Φ):
。
此种信道被称为瑞利信道。
值得注意的是,瑞利衰落和时间选择性衰落、空间选择性衰落、频率选择性衰落是两个层面、两个角度的概念,不能混在一起。
当发射机和接收机之间没有很强的视距传播路径时,瑞利分布是一个很好的信道传播模型。它可以适当地表示市区中的信道条件,其中大楼会阻碍视距传播路径,而且信号被各种物体反射后,在接收端时间上被展宽。
莱斯分布
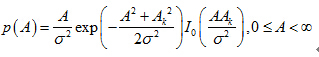
当移动台与基站间存在直射波信号时,即有一条主路径,通过主路径接收到一个稳定幅度Ak和相位φk的信号;或者在媒质中,除了随机运动散射分量外,还存在固定散射或信号反射分量,但其余多径传输过来的信号仍如上面“瑞利衰落概率模型”所述。这种情况下,其信号幅度包络的值A的概率分布不再具有零均值,其分布函数p(A)为:

此种信道被称为莱斯信道。其中I0为贝塞尔零阶函数。
需要注意的是瑞利衰落是莱斯衰落的特殊形式。快衰落不等同于瑞利衰落,如果多径中存在一条主径,则接收到的信号幅度包络服从莱斯分布,这样的衰落就是莱斯衰落。
在农村环境中,阻碍信号物体较少,多径信号包括一条很强的视距传播路径以及少量的反射路径,频谱功率呈莱斯分布。直射路径的到达角度和直射路径与其它路径之间的功率之比相结合,决定了来自直射路径能量对多径衰落的正态瑞利模型会有多大影响。
对数正态分布
由于建筑物或自然界特征的阻塞效应引起的衰落,在时域上表现为慢速扰动,即称长期衰落(long-term fading)。接收信号幅度值近似服从对数正态分布,其概率密度函数为:

x为表示信号电平慢扰动的随机变量,σ的标准值为8dB。


