- 易迪拓培训,专注于微波、射频、天线设计工程师的培养
LTE基础:无线信道特性的多径效应分析
在复杂的环境中,接收到信号可能是直射波、地面反射波和散射波的合成信号,接收到的合成场强为各部分的矢量合成波,从而产生多径效应。
在高楼林立的市区,由于移动台天线的高度比周围建筑物矮很多,因而不存在从移动台到基站的视距传播,这就导致了衰落的产生。即使有这样一条视距传播路径存在,由于地面与周围建筑物的反射,多径传播仍会发生。入射电波以不同的传播方向到达,具有不同的传播时延。空间任一点的移动台所收到的信号都由许多平面波组成,它们具有随机分布的幅度、相位和入射角度。这些多径成分被移动台天线按向量合并,从而使接收信号产生衰落失真。即使移动接收机处于静止状态,接收信号也会由于无线信道所处环境中的物体的运动而产生衰落。
同时每条路径都有它自己的增益、相移和延迟。
● 无线信道的多径导致小尺度衰落效应的产生,主要表现为:
经过短距或短时传播后信号强度的急速变化;
在不同多径信号上,存在着时变的多普勒频移引起的随机频率调制;
多样传播时延引起的扩展(例如回音)。
● 影响小尺度衰落的因素有:
(1) 多径传播——信道中反射及反射物的存在,构成了一个不断消耗信号能量的环境,导致信号幅度、相位及时间的变化。这些因素使发射波到达接收机时形成在时间、空间上相互区别的多个无线电波。随机相位和不同幅度的多径引起信号强度波动,导致小尺度衰落、信号失真等现象。多径传播常常延长信号基带部分到达接收机所用的时间,引起码间干扰形成信号模糊。
(2) 移动台的运动速度——基站与移动台间的相对运动会引起随机频率调制,这是由于多径存在的多普勒频移现象导致的。移动接收机是朝向还是背向基站运动决定了多普勒频移是正频移或负频移。
(3) 环境物体的运动速度——如果无线信道中的物体处于运动状态,就会引起时变的多普勒频移。若环境物体以大于移动台的速度运动,那么这种运动将对小尺度衰落起决定作用。否则,可仅考虑移动台运动速度的影响,而忽略环境物体运动速度的影响。
(4) 信号的传输带宽——如果信号的传输带宽比多径信道带宽大得多,接收信号会失真,但本地接收机信号强度不会衰落很多(即小尺度衰落不占主导地位)。信道带宽可用相干带宽量化。这里,相关带宽是一个最大频率差的度量,与信道的特定多径结构有关。在此范围内,不同信号的幅度保持很强的相关性。若传输信号带宽比信道带宽窄,信号幅度就会迅速改变,但信号不会出现时间失真。所以,小尺度信号的强度和短距传输后信号模糊的可能性与多径信道的特定幅度、时延及传输信号的带宽有关。
● 多普勒频移
由于多径是同一信号源经过不同的路径进行传播,到达接收点存在微小的时延差,经过矢量的叠加,会引起信号幅度的变化。其变化的程度取决于多径信号的幅度、时延以及传播信号的带宽。信道的时变性引起信号频率的展宽,导致多普勒(Doppler)效应。
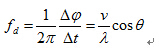
当移动台以恒定速率υ在长度为d,端点为X和Y的路径上运动时收到来自远端源S发出的信号,如图所示:

无线电波从源S出发,在X点与Y点分别被移动台接收时所走的路径差为。这里Δt是移动台从X运动到Y所需的时间,θ是X和Y处与入射波的夹角。由于远端距离很远,可假设X、Y处的θ是相同的。所以,由路程差造成的接收信号相位变化值为:

由此可得出频率变化值,即多普勒频移fd为:

由上式可看出,多普勒频移与移动台运动速度、移动台运动方向、无线电波入射方向之间的夹角有关。若移动台朝向入射波方向运动,则多普勒频移为正(即接收频率上升);若移动台背向入射波方向运动,则多普勒频移为负(即接收频率下降)。信号经不同方向传播,其多径分量造成接收机信号的多普勒扩散,因而增加了信号带宽。
上一篇:【LTE性能指标】呼叫建立类指标概述(一)
下一篇:LTE基础:LTE空口协议分析


