- 易迪拓培训,专注于微波、射频、天线设计工程师的培养
DC-DC电源系统的优化设计
随着电子设备的微型化,紧凑型电子设备的供电是一个非常重要的问题。目前DC-DC转换器普遍地应用于电池供电的设备和要求省电的紧凑型电子设备中。应用DC-DC转换器的目的一方面是要进行电压转换,给一些器件提供合适的工作电压,但更重要的是在电压转换的同时保证有较高的系统效率和较小的体积。在正常情况下优秀的DC-DC转换器有高达95%以上的转换效率。较高的系统效率不仅可以延长电池使用周期,也可以进一步减小设备体积。
经分析不难发现,DC-DC电源的系统效率一方面受限于电源系统本身的耗能元件,如电源内阻、滤波器阻抗、连接导线及接触电阻等;另一方面与DC-DC转换器的工作状态和电源参数也有很大关系,合理地配置这些设计参数可以改善系统效率。电源内阻的耗能会使电源本身的效率降低,同时也影响到DC-DC转换器的输入电压,因而也影响DC-DC转换器的转换效率。在极端情况下,DC-DC转换器会进入非正常状态,严重时系统将完全停止工作,即使能正常工作也会严重损失系统效率。所以在设计中合理选择电源电压、减小电源内阻、正确选择DC-DC转换器的工作点可以有效地改善DC-DC电源的系统效率。DC-DC电源系统的优化设计关键在于正确分析电子设备各部分之间(尤其是电源和DC-DC转换器之间)的相互作用,找出影响电源系统效率的主要因素。
1 一般电子设备中的功率分配
一般含有DC-DC电源的电子系统可以划分成三部分:电源、电压调节器(DC-DC转换器)和负载,如图1所示。实际的电源部分可以是电池组或一个稳压或未稳压的直流电源,分析时可等效为理想的电压源Vs和电源内阻Rs两部分。其中Rs包括电源输出阻抗、串联滤波器电阻、导线电阻及接触电阻等,这些电阻是耗能元件,会严重影响电源效率。电源效率(Es)定义为电压调节器吸取的功率与电源提供的总功率之比:


电压调节器由控制IC和相关的外围元件组成,控制IC的部分特性参数在制造商提供的数据手册中可以查到。电压调节器的转换效率(Ed)定义为DC-DC转换器向负载部分提供的功率与其输入功率之比:

根据制造商的描述,DC-DC的转换效率Ed是输入电压Vi、输出电压Vo和负载电流Io的函数。但在正常情况下,转换效率Ed对负载电流Io的变化不敏感,当负载电流Io的变化量超出两个数量级时,效率的变化不会超出几个百分点,因此在非极端情况下DC-DC转换器的转换效率通常可以近似为常数。但是在极端情况下转换效率将会严重损失,这一点可以从DC-DC转换器的输入特性(如图2中的①所示)看出。在这里暂且把DC-DC转换器看成一个二端口的黑匣子。
负载部分和电源部分类似,也可等效为有效负载Rl和与其连接的耗能元件Rp。负载部分的效率(Ei)定义为有效负载实际吸取功率与转换器提供的输出功率之比:

整个系统的效率应为Es、Ed、El三部分效率的乘积。由于这三部分是相互影响的,所以系统优化设计的关键就在于正确分析三者之间的相互作用,合理配置它们之间的相关参数以使整个系统的效率最高。
2 影响系统效率的关键因素
设系统效率为Ea,那么Ea=EsEdEl
由式[1]、[2]、[3]可得:

在实际系统中Vo和Vl由负载电路要求确定,电源部分应提供合适的稳定的电压给负载。由于DC-DC转换器内部的特殊设计,Ed在正常状态下仅在很小范围内变化,只要工作点选择合适,Ed近似为一个常数。只有Vi、Vs是可选的,所以保证有较高的系统效率的关键在于Vi、Vs的取值。而Vi、Vs又取决于电源与电压调节器之间的相互作用。根据电路原理,它们之间有这样的关系:
Vs=IiRs+Vi (5)
显然,为了减小电源内阻的损耗,当Vs选定后应使Ii尽可能小一些,而Vi则尽可能大,这一点也正好与DC-DC转换器的输入特性(如图1中的①所示)相吻合。由DC-DC转换器的输入特性可知,在有效工作范围内Vi大一些意味着调节器将吸取较小的电流,这样电源内阻上的损耗将减小,而输出几乎不变。这样就提高了电源部分的效率。那么怎样使调节器从电源吸取较小的电流而输出几乎不变呢?这就要合理地选取DC-DC转换器的工作点。
3 DC-DC转换器工作点的选取
图2中①是一般DC-DC转换器的输入特性曲线,可见它的输入有一定的动态范围,其输入特性曲线可明显地分成三个区间。当Vig≤Vi≤Vmin时,DC-DC转换器处于启动工作的过渡状态,此间DC-DC转换器从电源吸取的电流随Vi快速上升,直到输出达到设定值时输入电流达到最大值Iimax;在此段内DC-DC转换器或许能工作,但是系统效率将很低,包括电源效率和DC-DC转换器的转换效率都比较低。Vminis区间是DC-DC转换器的有效工作区,在此区间内DC-DC转换器有较高的而且比较稳定的转换效率,所以综合来看调节器的工作点应选择在此段内的高端。
图2中②是电源的阻性负载特性,由(5)式决定,①和②的交点即为DC-DC转换器的工作点Q。为了使①和②有交点且落在DC-DC转换器的有效工作区内,必须合理地选取Vs和Rs。其中Rs决定特性方程的斜率,Vs决定特性方程与横轴的交点,所以改变Vs、Rs即可移动工作点Q。结合上述分析应尽可能使工作点有较高的Vi。
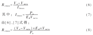
另外由图可知当Vs选定后,工作点就决定于电源内阻Rs。要使工作点永远不会进入非有效工作区,负载线斜率(-1/Rsmax)应有一个极限,即电源内电阻Rs应有一个上限Rsmax。由图可知:

也就是说电源部分与DC-DC转换器之间的总电阻Rs应保证始终小于Rsmax。否则DC-DC转换器的工作点就会进入非正常工作区而严重损失系统效率,甚至使DC-DC转换器完全停止工作,这一点在实际设计中尤为重要。DC-DC电源对电源部分与DC-DC转换器之间的电阻Rs要求是非常高的。例如将5V电源转换成3.3V输出,并提供2A的负载电流,如果选用DC-DC转换器MAX797芯片(Vmin=4.5V),并保证有90%的转换效率,则Rs应不大于0.307Ω;若要求有95%的转换效率,则Rs应不大于0.162Ω。可见DC-DC电源对电源部分与DC-DC转换器之间的电阻Rs要求是非常高的。Rs也是影响系统效率的关键因素。
综合上述分析,紧凑型电子设备中DC-DC电源系统效率是一个非常重要的问题。DC-DC电源系统优化设计的关键在于正确分析电源和电压调节器之间的相互作用,合理地配置电源的参数和调节器的工作点,可以有效地改善整个系统的效率。
作者:吴从中 来源:电子技术应用
上一篇:高清视频通信之十大问题思考
下一篇:融合P2P与CDN技术的流媒体内容分发技术


