- 易迪拓培训,专注于微波、射频、天线设计工程师的培养
基于OrCAD/PSpice的信号产生电路设计
信号产生电路的作用是产生具有一定频率和幅度的正弦波、矩形波和锯齿波等波形。信号产生电路广泛应用于通信系统、数字系统和自动控制系统。OrCAD/PSpice作为一种功能强大的电子电路仿真分析设计软件,它可以根据给定电路的结构和参数,对电路进行基本性能分析,它无需任何实际元器件,可用预先设计出的各种功能的应用程序取代了大量的仪器仪表。电路设计工作者可以通过这些应用程序进行各种分析、计算和校验,完成所需特殊电路的设计工作。在PSpice环境下,本文实现了信号产生电路中正弦波、矩形波和锯齿波发生电路的设计并应用PSpice对其进行了仿真和分析。
1 OrCAD/PSpice简介
OrCAD/PSpice是较早出现的EDA软件之一,整个软件由原理图编辑、电路仿真、激励编辑、元器件库编辑、波形图等几个模块组成,使用时是一个整体,但各个部分有各自的窗口。设计者利用鼠标和热键一起操作,既提高了工作效率,又缩短了设计周期。它是全功能通用的仿真软件,集成了直流分析、交流分析、噪声分析、瞬态分析、温度分析等仿真功能。软件还集成了诸多数学运算,不仅为用户提供了加、减、乘、除等基本的数学运算,还提供了正弦、余弦、绝对值、对数、指数等基本的函数运算,这些都是其他软件所无法比拟的。另外,设计者还可以对仿真结果的窗口进行编辑,如添加窗口、修改坐标、叠加图形等,还具有保存和打印图形的功能,给用户提供制作所需图形的更快捷、更简便的方法。
2 信号产生电路设计与OrCAD/PSpice分析
2.1 文氏桥正弦波振荡电路
文氏桥正弦波振荡电路能产生振荡频率调节范围宽、波形好的正弦波,广泛应用于通信系统。文氏桥正弦波振荡由文氏电桥与一个集成运放μA741组成的同相放大电路组成,如图1所示。文氏电桥的两个臂RC串一并联网络构成,另外两个臂由放大电路的反馈电阻构成。令R1=R2=R,C1=C2=C,R3+R4=Rf,根据文氏桥正弦波振荡电路的振荡条件,可以推出放大电路的电压增益Av=1+Rf/R5≥3,即Rf≥2R5。在PSpice环境中将图中R5的SET属性设置为0.14,即可满足条件。文氏桥正弦波振荡电路的理论振荡频率为f0=1/(2πRC)。由于电源电压的波动、电路参数的变化、环境温度的变化等因素的影响,使正弦波的输出幅度不稳定。这里采用二极管来稳幅和加速起振。在PSpice环境中设置瞬态分析类型和参数(0~500 ms)进行分析,得到Vo输出波形。将横坐标轴时间改为300~500 ms,如图2所示。观察起振时间约为400 ms,利用标尺(Cursor)测量出波形的振荡周期为T=460.011-453.755=6.256 ms,求出振荡频率。同时计算出理论振荡频率,可以看出误差很小。

2.2 555矩形波振荡电路
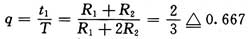
利用多用途的单片集成电路555时基电路组成矩形波振荡电路如图3所示。接通电源后,电源V1通过R1,R2对电容充电,C点电压Vc按指数规律上升。当Vc上升到(2/3)V1时,由于555时基电路内部的比较器和触发器的作用,电容C1经R2开始放电,直到Vc下降到(1/3)V1时,又开始重复充电、放电从而形成无稳态的多谐振荡。理论振荡周期为:
T=t1+t2=0.7(R1+R2)C1+0.7R2C1=21μs
理论占空比为:

其中t1和t2分别为电容的充电时间和放电时间。调节R1或R2或C1可改变振荡周期。
在PSpice环境中设置瞬态分析类型和参数,进行分析,得到输出Vo,Vc和Vd波形如图4所示。利用标尺测量出输出波形的振荡周期为:
T=47.192-25.626=21.566μs
占空比为:

与理论值非常接近。

2.3 锯齿波发生电路
由集成运算放大器组成的锯齿波发生电路如图5所示。

运放U1为同相输入滞回比较器,运放U2为积分运算电路。主要利用二极管的单向导电性使积分电路两个方向的积分通路不同,可得到锯齿波发生电路。设二极管导通时的等效电阻可忽略不计,电位器的滑动端在中间位置。稳压管的稳压值为Uz。当Uo1=+Uz时,D2导通,D1,D3截止,输出电压Uo随时间线性下降;当Uo1=-Uz时,D1,D3导通,D2截止,输出电压Uo随时间线性上升。在PSpice环境中设置瞬态分析类型和参数,进行分析,得到Uo1和Uo的波形如图6所示。

测量得到振荡周期为T=4.9592-2.2924=2.6668 ms,则振荡频率为。调整R1和R2的阻值可以改变锯齿波的幅值;调整R1,R2和电位器的阻值以及C的容量,可以改变振荡频率;调整电位器滑动端的位置,可以改变Uo1的占空比以及锯齿波上升和下降的斜率。
3 结语
本文采用集成运算放大器和555时基电路等,完成了正弦波、矩形波和锯齿波三种信号产生电路的设计并利用OrCAD/PSpice进行了仿真。该信号产生电路具有电路简单,易于实现,振荡频率稳定等特点,可应用于通信系统,自动控制系统等。
作者:徐素莉,赵红英
(河南科技大学 电子信息工程学院 河南 洛阳 471003)
上一篇:小型数据中心模块化电源保护解决方案
下一篇:CL161正弦波逆变电源介绍


