- 易迪拓培训,专注于微波、射频、天线设计工程师的培养
三相变四相变压器的差动保护原理
1 引言
四相输电是一种最易于实现的多相输电方式[1]。与三相输电比较,四相输电线路能够显著提高输送功率密度,节省架线走廊,降低输送单位容量的投资成本[2]。实现四相输电的重大关键设备是三相变四相电力变压器。文献[3]提出了一种新型的三相变四相电力变压器,这种变压器不仅为四相输电提供了重要的物质基础,还可用于电气化铁路AT供电系统作为牵引供电变压器,填补了国内外研究三相变四相牵引变压器的空白[3]。由于电力变压器在电力系统中的作用十分重要,尤其是大容量大型电力变压器是非常贵重的电力设备,因此,研究三相变四相变压器的新型继电保护方案,就成为必须解决的重要技术问题。
大容量电力变压器一般要配置差动保护,普通三相变压器差动保护的基本原理原则上也可以推广到三相变四相变压器差动保护的设计之中。由于三相变四相变压器是以不等相变换来实现的,不同接线原理的变压器对应于特定的电流变换矩阵,因此三相变两相平衡变压器差动保护接线方式的分析必须以具体的变压器结构为基础[4]。 根据文献[3]提出的三相变四相变压器的原理,本文构成了两种适合于该变压器的差动保护接线方式。文中采用了四相系统对称分量法的分析方法,使得分析过程概念清晰,且具有一般性,可以很好地推广到可能出现的各类三相变四相变压器的差动保护方式的研究之中,同时也对平衡变压器的差动保护分析具有现实的指导作用。
2 三相变四相变压器电流变换关系的分析
三相变四相电力变压器的接线原理如图1所示[3]。


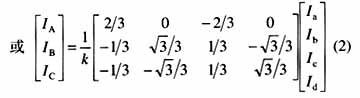
变压器原副边电流的变换关系为[3]

式中 Ia、Ib、Ic、Id为四相侧的各相电流;IA、IB、IC为三相侧的各相电流;k为三相侧的相电压UA与四相侧的相电压Ua之比,即k = UA /Ua。
根据文献[3]的研究,在变压器三相侧与四相侧电流的对称分量中,只有2侧的正序分量与负序分量分别具有一一对应的关系,即变压器四相侧的零序电流与半零序电流[5]不能变换到三相侧。同样地,三相侧的零序电流也不能变换到四相侧。
为便于讨论一般情况,假定变压器两侧的中性点均接地。为了要确保差动保护在变压器外部接地短路故障时不会误动作,必须考虑使变压器两侧引出线的电流互感器二次侧绕组的连接方式具有滤去零序电流与半零序电流的能力。故可以考虑变压器三相侧的测量电流与四相侧的测量电流分别为

显然,将三相侧的零序电流代入第一个电流矩阵使各测量电流分量为零,即

所以,将四相侧的零序电流或半零序电流分别代入上面的第二个电流矩阵,也能得到2个测量电流分量为零。
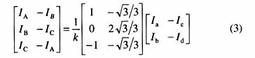
根据方程组的基本性质,式(2)可以改写成如下形式

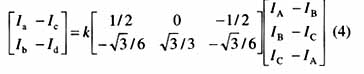
对式(3)的变换矩阵求广义逆,可以得到

将式(4)左边展开,则与式(1)展开后的第一方程与第三方程合并及第二方程与第四方程合并后的形式相同,表明式(4)的电流变换关系是正确的。注意式(4)不能直接由式(1)简单变换来确定。
通过分析变压器的电流变换关系式(3)与式(4),可以设想如果将四相侧的电流通过中间变流器变换到三相侧,即可与三相侧的电流构成差动保护接线方案。也可以将三相侧的电流通过中间变流器变换到四相侧构成差动保护接线方案。
3 差动保护的接线原理
3.1 两继电器方案
如前所述,根据式(4),将三相侧的电流变换到四相侧,即可以构成差动保护的两继电器方案。式(4)的变换矩阵中有5个非零元素,原则上也需要5个中间变流器进行电流变换,但是矩阵的第二行中有两个元素相等,故可以节省一个中间变流器。两继电器差动保护接线方案如图2所示。

三相侧与四相侧电流互感器分别为1AT和2AT,对应的变比分别为n1AT和n2AT。三相侧电流互感器的二次侧有4个中间变流器分别为1LB、2LB、3LB和4LB,对应的变比分别为n1LB、n2LB、
需要指出的是,在正常运行时,本方案四相侧的4个电流互感器二次侧绕组的对角相反相并联之后,输出电流之和并不为零,即IΣ= Ia - Ic+ Ib
表明四相侧电流互感器二次侧绕组的公共接地点有电流流过。而三相侧的中间变流器本质上则是将三相对称电流变换为相位互差90º的两相电流,以便与四相侧的电流互感器二次侧电流比较,所以三相侧中间变流器的接地点也有电流流过。因此,四相侧电流互感器二次侧绕组的接地点与三相侧的中间变流器接地点之间必须构成可靠的通路。
3.2 三继电器方案
根据式(3),如果将四相侧的电流变换到三相侧,即可以构成差动保护的三继电器方案。式(3)的变换矩阵中有5个非零元素,但是其第一列中有两个元素互为负数,故可以节省一个中间变流器。同时,第二列中有两个元素之和为另一个元素的负数,还可以节省一个中间变流器。三继电器差动保护接线方案如图3所示。

三相侧与四相侧电流互感器分别为1AT和2AT,对应的变比分别为n1AT和n2AT。四相侧电流互感器的二次侧有3个中间变流器分别为1LB、2LB和3LB,对应的变比分别为n1LB、n2LB和n3LB。电流互感器变比的选择原则为:n2AT/n1AT = k。中间变流器变比的选择原则为:n1LB=n2LB=

3.3 电流互感器连接方式的讨论
下面进一步讨论变压器中性点运行方式变化对电流互感器连接方式的影响。当三相变四相变压器在四相侧发生外部短路接地或短路不接地故障时,由于半零序电流的通路与中性点是否接地无关[5],所以变压器四相侧中性点即使在不接地运行方式下,甚至四相侧绕组四边形连接时,输入变压器的半零序电流仍有通路。为了滤去半零序电流,避免差动保护在变压器外部接地短路故障时误动,则四相侧电流互感器的连接方式是唯一的,即如本文所述,电流互感器二次侧绕组对角相必须反相并联。
如果变压器三相侧的中性点不接地时,三相侧外部接地短路故障无零序电流通路。或者如果采用上述的两继电器方案,由于三相侧电流通过中间变流器变换后也可以滤去三相零序电流。在这两种情况下,三相侧电流互感器的二次侧绕组也可以采用星形连接,只是电流变换矩阵的元素则与本文讨论的情况不同,在此不再赘述。
4 结论
(1)提出了三相变四相电力变压器的两种差动保护接线方案,这两种方案均适用于该变压器两侧的中性点接地或不接地运行方式。
(2)所述差动保护方案也可用微机保护装置实现,此时中间变流器的作用则由计算机软件实现。差动保护接线方案中的差动继电器的整定计算和灵敏度校验方案与普通电力变压器差动保护相同。
(3)文中采用了对称分量法及电流变换矩阵的分析方法讨论所述的差动保护原理,为不等相变换的平衡变压器差动保护研究提供了一般性的分析方法。根据这种分析原理,还可以很方便地构成任意接线的其它三相变两相平衡变压器或三相变四相电力变压器的差动保护接线方案。
来源:北极星电力网
上一篇:某办公大楼综合布线系统设计方案
下一篇:Smart-UPS可转换电源保护解决方案


