- 易迪拓培训,专注于微波、射频、天线设计工程师的培养
高频感应加热电源斩波器补偿电路的设计
0 引言
感应加热电源的调功方法有很多,在进一步提高功率和逆变器的工作频率时,一般选择在整流侧调功。而斩波调功在直流电压下工作,供电功率因数高,对电网的谐波干扰小,电路的工作频率高,而且与逆变器控制分开,使得系统更加稳定可靠,故适用于电压型逆变器使用。
在斩波调功的感应加热电源中,逆变电源的功率控制主要是转化为Buck斩波器的功率控制,即通过改变Buck斩波器的驱动脉冲来调节输出电压,从而调节电源的输出功率。但是Buck斩波器输出电压可能有偏差,环路设计就变成一项很重要的工作,它关系到电路的稳定性、响应速度、动态过冲等指标。本文在分析基于功率控制的Buck斩波器的小信号模型和反馈控制模式的基础上,探讨了反馈控制的传递函数和环路参数的设计。
1 基于功率控制的Buck变换器分析
如图1所示,Buck变换器的功率控制包括3个部分,Buck斩波器、误差放大器和PWM脉冲调节器,其中,Buck斩波器反映了电源本身的特性,通过建模的方法可以分析其输入到输出、控制到输出的特性;误差放大器和PWM脉冲调节器构成反馈环节,误差放大器实质上是一个补偿网络,将给定信号与输出信号的差值放大,通过PWM脉冲调节器调节占空比D(t)最终可以调节输出电压UO,使输出稳定在给定值上。
整个功率控制环的设计可以等价为对Buck斩波器控制器设计,因此必须首先建立控制对象——Buck斩波器的在电感电流连续(C CM)模式下的小信号模型。

图2为设定Buck电路工作于电感电流连续状态(C CM),应用三端PWM平均模型方法,并考虑电感电阻rL和电容RC(ESR),见图3。图2中虚线框内部分为三端PWM模型,由开关管VT、二极管VDF和续流二极管VD组成,其中,ia和ic分别代表ia(t)、ic(t)的平均变量,Uap和Ucp分别代表 Uap(t)、Ucp(t)平均变量,其中ia(t)和ic(t)为流入a端和流出c端的电流瞬时变量,Uap(t)和Ucp(t)为端口ap和cp的电压瞬时变量,它们是时间的函数。将主开关管等效成受控电流源形式,二极管VDF等效成受控电压源形式,由此可以得出如图3中虚线所示的三端PWM7开关模型。

当不考虑电感内阻(通常可省略)时,可以得到Buck变换器占空比到输出的传递函数为:

RC——滤波电容的ESR
根据得到的Buck变换器的小信号模型,利用Matlab软件分析了其频率特性如图4和图5所示。图4和图5对比分析可以看出,受高频ESR的影响,在穿越频率处又产生一个相位滞后角,同时使幅频特性的斜率由-2变成-1。从整体来看,系统的低频增益低,相角裕度ψ<45°。


所以整个闭环系统的开环传递函数是:

式中:K2(s)-PWM调制调制器传递函数,其传递函数k2(s)=1/Um,其中Um为锯齿波最大振幅。
本文用Matlab软件设计了具有双零点、双极点的PI控制器,并对设计结果进行了仿真验证。根据Bode定理,补偿网络加入后的回路增益应满足幅频渐进线以-20dB/dec的斜率穿过剪切点(ωc点),并且至少在剪切频率左右2ωc的范围内保持此斜率不变。
由此要求,首先选择剪切频率。实际应用中,选fc=fs/5为宜,其中fs为斩波器工作频率或开关管的开关频率。具体斩波器中,开关频率为50kHz,则fc=50/5=10kHz。
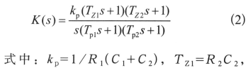
如图7中所示,未加补偿网络之前系统在fc=10kHz处的增益为-11.4dB,斜率为-40dB/d ec,所以,补偿网络应满足如下条件:在fc=10kHz处的增益为11.4dB,斜率为+200dB/dec,并保持此斜率在至少2ωc的范围内不变。取两个零点位于谐振频率附近,以抵消斩波器的2个极点(零点+2斜率补偿极点-2斜率,并补偿其相位滞后);令一个极点p1抵消斩波器的ESR零点:fp1≈fz,设置一个高频极点p2,fp2≈(5~10)fc,使高频段增益降低,以抑制高频噪声。根据以上要求,可以按如下方案设计:fz1=fz2=1.33kHz,fp1=7.96kHz,fp2=100kHz,kp=3250则所设计的P I补偿器的参数如下:取R 1=5 0k Ω,R 2=1 9.6k Ω,R3=0.8 8k Ω,C1=50pF,C 2=6.1nF,C3=2.36nF。实际电路中,取R1=.50kΩ,R 2=20kΩ,R 3=0.88kΩ,C1=50pF,C2=6.2nF,C3=2.2nF。

从图7中可以看出,增加PI补偿器后,系统补偿后低频增益提高,中频带宽增大,并以-20dB/dec的斜率穿越零分贝线;系统截止频率近似为1OkHz,与设计期望值相同;高频衰减迅速,很好地提高了系统抗干扰性能;补偿后的相位裕度达到了75°。
4 结束语
对于高频感应加热电源广泛应用的Buck斩波调功电路,设计了双极点、双零点补偿电路,补偿后的系统不仅提高了系统响应速度,而且消除了稳态误差,系统性能明显提高。实验结果证明了这种补偿电路的实用性和有效性,对高频感应加热电源的改进和研究具有很好的参考价值。
上一篇:微型无刷直流电机的无位置传感器控制
下一篇:MOSFET栅漏电流噪声模型研究


