- 易迪拓培训,专注于微波、射频、天线设计工程师的培养
基于FPGA的彩色 像增强系统
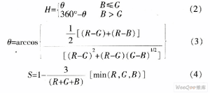
由图2看出,三原色是按120°分割的,青、品红和黄被称为二次色,也是按120°分割,一次色与二次色之间相隔60°。图中任给出一点Q,若以红轴作参考,则Q向量与红轴的夹角H决定其色调,而向量长度S决定其饱和度,整个平面在灰度轴上的位置决定了平面内所有点的亮度I。于是得到由RGB到HSI的转换关系:

1.2.2 色饱和度增强算法
HSI模型可以方便地对色调和饱和度进行调整,但是其运算比较复杂,很难用硬件来实现。不过根据其原理,可以直接在RGB空间进行色饱和度的调整。这里假设RGB立方体内任一点P(r,g,b),容易求出其在灰度轴上的投影点P*
,连接P和P*,这是一条等色调线,如图3所示。

只要在P*P的延长线上找到合适的点(如P1或P2),就可以对P点的饱和度进行增强。由于已知P和P*的坐标,可以求得直线P*P方程:

令式(6)的值为t,可求得直线P*P的参数方程:

则色饱和度的调整就可通过调整t的取值来实现。当t∈(-1,0)时,得到的点在P*和P之间,饱和度减弱;当t>O时,得到的点在P*P之外,饱和度增强。
2 设计思路
2.1 对比度扩展
用硬件实现浮点运算效率较低,这里采用查表的方法,在YCbCr空间进行灰度变换,如图4所示。

2.2 色饱和度增强
色饱和度调整在RGB空间进行,设计为流水线操作,如图5所示。

色饱和度增强是有针对性的,对于不同色饱和度的像素要作不同的处理。可以把一幅图像的色饱和度分为4个等级,对于色饱和度低的像素进行增强处理,而对于饱和度很高的像素则不进行处理甚至是抑制处理。图5所示是进行2级的色饱和度调整的流水线操作:第1级令t=1,运算结果若溢出则转入第2级调整(t=0.5)。若运算结果还是溢出,则输出保持原输入值(iR,iC,iB)。流水线操作使得平均每个像素的饱和度调整只需1个时钟周期就能完成,只是输入相对输出有6个时钟周期的延时。为了达到更好的效果,可以增加饱和度调整运算的级数,后果是需要占用更多的硬件资源以及带来更长的延时。
3 系统结构
该实验平台为Ahera公司的DE2开发板。系统结构如图6所示。

来源:维库开发网


