- 易迪拓培训,专注于微波、射频、天线设计工程师的培养
高压并联电容器的过电压及避雷防护措施
电网中装设高压并联电容器以改善功率因数,维持运行电压,提高输变电设备输送容量和降低线路损耗。但如运行电压过高,会危及设备和安全运行。有多种因素引起稳态电压升高,下面将进行分析。
1 稳态电压的升高
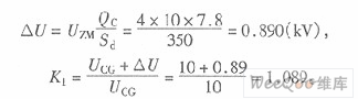
(1) 电容器装置接入电网后引起电网电压升高。设升高的系数为K1,其值按下面方法计算:
ΔU≈UZM.Qc/Sd
K1=(UCG+ΔU)/UCG
ΔU为电压升高值(kV);Uzm为电容器装置未投入时母线电压(kV);Qc为接入母线的电容器总容量(Mvar);Sd为电容器装置安装处母线短路容量(MVA);UCG为电容器正常工作电压。
例如某220 kV变电站,10 kV母线短路容量350 MVA,每组串联600 kvar,6%电抗器1台,装4组电容器,每组7 800 kvar,则:

(2) 电容器组接入电抗器后,电容器端电压升高。设升高的系数为K2,其值按下面方法计算。
三相电容器回路一般不存在偶次谐波,由于电源变压器有一侧为三角形结线,三次谐波在这个低阻抗线圈中循环流动,不流入电网,只要电容器母线上没有谐波源,很少有三次谐波,电容器组投入运行后应测试一下以便验证。
电容器组串联电抗器可消除谐振、改善谐波电压、降低合闸涌流。电容器的选择主要是对占份量最大的5次谐波,设经串联电抗器后恰能消谐,即
5ωL-1/(5ωC)=0
解得感、容阻抗比为
XL=ωL=1/(52ωC)=0.04Xc。
为了在所有高次谐波出现时,串联电抗器应足以消谐,使感抗值大于容抗值,可引用可靠系数1.5,则XL=1.5×0.04X
上一篇:中国国际期货公司视讯项目
下一篇:江苏省广电监测台视讯应用案例


