- 易迪拓培训,专注于微波、射频、天线设计工程师的培养
新型BiCMOS带隙基准电路的设计
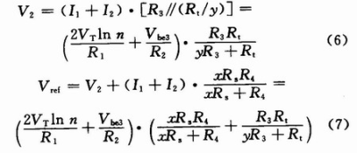
式中:I1具有正的温度系数,I2具有负的温度系数。I2和I2分别镜像到M3和M7求和后得到不随温度变化的基准电流。此电流通过R3,R4以及修调电阻Rs,Rt产生基准电压Vref。由于IC工艺的随机性,薄膜电阻会有(10%的变化,所以本设计用外部修调电路对输出基准电压进行精确控制,通过激光修调或数字电路控制修调电阻的个数可以对输出电压进行微调。作为一般结论考虑串联电阻Rs个数为x,并联电阻Rt的个数为y,得到:

通过式(6)可知,调节R2/R1的值,使Vref的温度系数近似为零。通过增大串联电阻Rs个数x来增大Vref,而增加并联电阻Rt的个数y达到减小Vref的目的。
AMP1的反向输入端串联2个(而不是一个)正向二极管接地起到了减少噪声的作用,亦可以抑制放大器的失调电压对Vref的影响。为了进一步减小运放失调对参考电压的影响,可以考虑较大的Q1、Q3发射结面积比值。此外,由于引入了修调电路,输出电压Vref可以稳定在0.5 V。
1.3 次级电压的生成
为了改善电源抑制比,不直接用主电源来供电,而是使用主电源电压Vcc来产生一个次电压Vcc1来供电(如图2所示),以提高这种新型带隙基准电路的电源抑制比。其电路如图3所示。

该电路中,AMP3处于深度负反馈状态,根据运放虚短原理可知
![]()
电容C的作用是去除电源电压交流成分的影响。
1.4 电路启动及简并点分析
因为常规电流模带隙结构引入了新的电流通道,使每支路都有2个电流通道,因此存在着第三种可能的简并态。文献给出了解决第三简并态的解决办法,但是其启动电路复杂。本设计实现电流模结构的同时没有引入额外的电流通路,故只存在2个简并态:零点态和工作态。所以,所需启动电路简单,其结构如图4所示。

图4中M点与核心电路中AMP1输出端的M点相连,当AMP1输出高电平时,核心电路中各PMOS不能导通。这时启动电路通过反相器的作用使M10导通,M10的漏端接核心电路中的a点,从而M10开始对a点充电,使电路脱离零电流状态。电路导通以后,M点输出低电平使M10关断,启动电路从主电路脱离。
1.5 电路中运算放大器的设计
本设计中考虑放大器的重要性能指标是开环直流增益大、电源抑制比高。运放结构如图5所示,采用两级放大结构:第一级是双端输入单端输出的以共源共栅PMOS为负载的折叠共源共栅结构;第二级为共源放大(两级中间用电容做补偿)。这样的结构提供足够高的直流增益,同时共源共栅负载的应用,不仅提高了开环直流增益而且增大了电源抑制比。

作者:李沛林 杨建红 来源:现代电子技术
上一篇:通信行业UPS选型方案参考
下一篇:UPS设计工程的实施技术


