- 易迪拓培训,专注于微波、射频、天线设计工程师的培养
一种开关稳压器电流检测的新方法
该电流检测电路的作用如下:
在一个稳压器芯片中,既包括一个DC-DC(BLYCK),又包括一个LDO,中载和重载时工作于PWM模式,轻载时(约为3 mA以下)工作于LD0下,而本文提出电流检测电路的作用是:当其负载电流小于一定值时(此时开关稳压器处于DCM模式下),LA28电平跳遍,实现PWM模式向LD0模式的模式切换。
这里需要注意的是,如果对输出负载电流直接进行检测或是通过将电感电流取平均值的方式来检测输出负载电流,则将会带来电路实现上的困难。而在此提出的这种检测方法却不存在这个问题。
该架构图是DC-DC负载电流状态检测电路的等效图。其作用是当DC-DC负载电流低于3 mA时,其输出信号LA28由高变低,从而实现PWM模式向LD0的切换。它的基本原理是利用DCM模式下(当负载电流为3 mA时,DC-DC处于DCM模式下)负载电流与开关管栅极驱动信号N_DRV的关系,通过检测N_DRV来监控输出负载电流的变化,从而实现当负载电流低于3 mA时PWM模式向LDO的切换。
下面将用图5来说明该电路检测负载电流的原理。
图5是DCM模式下电感电流IL与同步管栅极驱动信号N_DRV的波形图。

在该图中,电感电流的上升斜率为
,而下降斜率为
,则有:
且 ![]()
![]()
此时:
又由于每个周期通过电感输出到负载的电荷量是不变的,故有
。其中:T为开关周期;IOUT为输出负载电流。
从上面几式得:
![]()
故有:

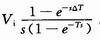
现在再来分析图4,在频域内,从N_DRV到N_DRV_DC的系统传递函数为:
![]()
故图4中的R与C组成的网络是1个三阶的RC低通滤波器。下面计算N_DRV_DC,从t=O接入脉宽为△T,周期为T的周期性矩形脉冲信号N_DRV,其复频域的象函数为
。
故N_DRV_DC的象函数为:
![]()
需要注意的是,在设计三阶RC低通滤波器时,其带宽应设置得远小于DC-DC的振荡器频率(即N_DRV的频率),以保证很好地滤出N_DRV中的高频分量;但也不宜设置得太小,否则所使用的电阻和电容将会比较大。
来源:电子发烧友


