- 易迪拓培训,专注于微波、射频、天线设计工程师的培养
基于S3C2440嵌入式系统主板的电磁兼容性设计
2.1.2 主板存在的电磁干扰
在系统中,S3C2440的片内工作频率FCLK可高达400 MHz,因此在PCB设计过程中,应该遵循高频电路设计的基本原则。首先应注意电源的抗干扰设计,其次要注意信号线的布线技术,尤其是关注时钟信号线、数据线和地址线。
2.2 电源的抗干扰设计
电源在向系统提供能源的同时,也将其噪声加到所供电的电源上。电路中微控制器的复位线、中断线,以及其他一些控制线最容易受外界噪声的干扰。电网上的强干扰通过电源进入电路,不仅电池供电系统有高频噪声,电池本身也有高频噪声,而且模拟电路中的模拟信号更经受不住来自电源的干扰。
嵌入式芯片S3C2440的内核所需的直流电源电压为1.3 V,I/O模块及SDRAM的电源电压为3.3 V。在电路设计时,一定要考虑电源的抗干扰技术。一般应在电源进入PCB的位置和靠近各器件的电源引脚处加上几十微法到几百微法的电容器,以滤除电源噪声。还要注意在器件的电源与地之间加上0.1μF左右的电容器,以使能够有效地抑制在电源线上传导的高频干扰,克服干扰信号对系统工作的影响。
2.3 共模差模EMI产生机理
2.3.1 共模EMI产生机理
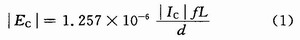
共模干扰通常指两根信号线上产生的幅度相等、相位相同的噪声。共模干扰的特点是干扰的大小和方向一致,存在于电源任何一相对大地或中线对大地间。共模干扰也称为纵模干扰、不对称干扰或接地干扰辐射。是载流体与大地之间的干扰。
共模计算公式为:

式中:Ic表示电流强度;f表示共模电流的频率;L表示电缆线长度;d表示测量天线到电缆的距离。
共模辐射是EMI中最主要的一种辐射干扰,通俗地说,是由于电路板地的"不平整"导致,或者连接线连接两处的电位的高低差而导致连接线变成了辐射天线。然而电路板常常是由于地阻抗而引起电位的高低不平,从而能量由高到底有了辐射出来的条件。所以在电路设计与PCB排版时要特别注意PCB的地阻抗问题,从而更多地减小其产生的干扰。
2.3.2 差模EMI产生机理
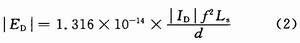
差模干扰是幅度相等、相位相反的噪声。差模干扰的特点是大小相等、方向相反,存在于电源相线与中线及相线与相线之间。差模干扰也称为常模干扰、横模干扰或对称干扰,是施加于载流体之间的干扰。
差模辐射计算公式:

式中:ID表示电流强度;f表示共模电流的频率;LS表示环路面积;d表示测量天线到电缆的距离。
2.4 共模差模EMI抑制措施
2.4.1 通常采用的抑制措施
通常减小共模辐射的方法有:
(1)减小地电位;
(2)使用去耦电容;
(3)使用铁氧体磁环;
(4)使用共模电源滤波器。
通常减小差模辐射的方法有:
(1)减小环路面积;
(2)频率越高,辐射越强,所以应尽量减小有用信号的高次谐波成分;
(3)采取屏蔽方法。
2.4.2 本文采用的源端端接抑制措施
所谓源端端接就是在传输线驱动端串联端接一个等于特征阻抗的阻抗。
由共模辐射计算公式可以看到,要减小共模辐射,减小Ic和f是不可能的,d又是恒定值,只有减小L。由差模辐射计算公式,可以看出要想减小差模辐射,就是要减小LS即电流环路面积,多层板中信号走线的电流环路面积就等于介质的厚度乘以走线长度,在介质厚度恒定的前提下,减小差模辐射同样归结到减小信号走线L上。
然而缩短信号走线长度通常是不实用的,不过给传输线源端串联端接一个等于特征阻抗的阻抗,就可以消除共、差模辐射的干扰。
源端串联端接措施要求加一个电阻与输出缓冲器串联,缓冲器阻抗和端接电阻值的总和等于传输线的特性阻抗。此时,因为反射系数为O,任何由于在负载端存在的阻抗不连续所产生的反射干扰将在其达到源端时被消除,这样可以减小噪声、电磁干扰(EMI)及射频干扰(RFI)。
作者:许凯华,董淑云,刘玉华,胡立祥 华中师范大学 来源:现代电子技术


