- 易迪拓培训,专注于微波、射频、天线设计工程师的培养
一个高可靠性的短路保护电路设计及其应用
录入:edatop.com 点击:
1.2 工作原理的定量分析
由电路分析可知,比较器的正负输入端关系为:

比较器输入端的Vinp,因此比较器输出信号Vcon为低电平,将关断P功率管,实现短路保护。
当P功率管关断后,ID0=O,晶体管Vcon将截止,此时比较器Vinp输入端电压Vmin_OD取决于晶体管VM2、VM3、VM4组成的网络,只要保证Vmin_OD大于Vinm电压(Vinm=VOUT=O),P功率管将一直处于关闭状态。
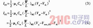
接下来将分析VM2、VM3和VM4组成的网络如何确保Vmin_OD大于0。分析电路可知,VM2、VM3工作在饱和区,VM4工作在线性区,因此ID3>ID4,ID4=ID2。

因此选取
,即可得到Vinp>0。本文VM3的宽长比为VM2的宽长比的10倍,Vmin_OD=2.6 mV。
当短路排除后,流过VM5的电流将对RC网络充电,过t秒后Vinm(0UT)端电压将大于Vmin_OD,电路正常工作。其中充电时间为:
![]()
式中IDM5为VM5的漏电电流,RL=VOUT/Imax,CL为负载电容,其中Imax是系统规定的最大负载电流。要使系统能正常启动,IDM5必须满足IDM5>VOUT/RL,因此合理选取参数,就能正常启动。
2 仿真结果与讨论
基于TSMC O.18μm CMOS工艺,仿真结果如图2~图3所示。仿真结果表明输出短路时,输出电流为O,P功率管被关断,实现短路保护。
作者:罗志聪 黄世震 来源:电子设计工程


