- 易迪拓培训,专注于微波、射频、天线设计工程师的培养
基于MC56F8323的单相功率因数校正模块的应用

式中:Kpv为电压环比例系数;
kiv为电压环积分系数。
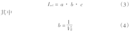
a要与另外两个量b和c相乘,作为内环电流环的给定Iref,即

即输入全波整流电压Vrect平均值平方的倒数,c即为输入全波整流电压,这样,电压环PI调节器的输出a决定了电流环给定的幅值,输入全波整流电压的采样值c决定了电流环给定的形状,前馈电压控制的引入b保证了输入功率恒定,不受输入电网电压变化的影响。内环电流环的速度较快,将输入电流采样值与电流环给定相比较,经电流环的PI调节器G2产生变化的占空比参数,最后通过PWMO给出主功率开关管控制波形。
![]()
G2的传递函数为
式中:Kpi为电流环比例系数;
Kii为电流环积分系数。
在进行MATLAB仿真后,可以得到电压环、电流环的各个控制系数,在仿真初值的基础上,进行大量的实验调试,最后各个控制参数如表1及表2所列。为了保证在输入电压大范围变化时系统性能始终达到最佳态,当输入电压有效值为11OV和220V时电流环分别采用不同的PT参数,这也是模拟控制所无法做到的。

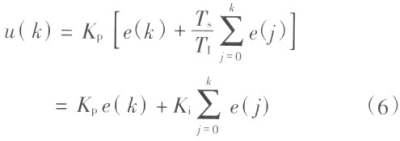
由于DSP的控制是一种离散的数字控制,它只能根据采样时刻的偏差值计算控制量,因此,必须对上式进行离散化处理,用一系列采样时刻点k代表连续的时间t,离散的PI控制算法表达式为

式中:k=0,1,2……表示采样序列;
u(k)表示第k次采样时刻PI调节器的输出值;
e(k)表示第k次采样时刻输入的偏差值;
Ts表示采样周期;
TI表示积分时间常数;
Kp为比例系数;
Ki为积分系数。
数字控制程序是由主程序和中断服务子程序组成,主要的功能模块包括电压环计算、电流环计算、PWM输出刷新以及故障保护等中断模块,其软件系统结构如表3所列。

3 系统实验
本文在基于MC56F8323的数字平台上对一台500W的PFC电路模块样机进行了实验验证,证明了在高频功率变换应用中,使用数字控制不仅可以完成传统模拟控制功能,而且在全输入范围内都能保持较高的功率因数,具有更佳的系统性能。
MC56F8323的基本特征与资源利用情况如表4所列。样机的输入电压范围为全球通用交流输入,即输入电压范围设计为AC85~265v,图3为输入电压有效值为110V,输出满载时的输入电压和输入电流波形,其中通道1为电压波形,通道2为电流采样波形。电压的采样比例为1:500,电流采样的比例为1:lO,此时输入电流THD为8.6%,输入功率因数为0.994;图4为输入电压有效值为220V,输出满载时的输入电压和电流波形,通道说明和采样比例同前,此时输入电流THD为10.5%,输入功率因数为0.994。实验表明当输出满载功率不变时,输入电压在AC 85~265V的范围内变化时,输入电流无论是波形还是相位都跟踪输入电压波形,数字PFC控制始终可以使电路保持很高的功率因数。
来源:21IC电子网
上一篇:直耦式宽频带功率放大器的设计与调试
下一篇:开关电容滤波器的系统设计与实现


