- 易迪拓培训,专注于微波、射频、天线设计工程师的培养
用MAX543实现DSP采样系统的量程自动转换
给出了12位串行D/AMAX543在TMS320F206 DSP的采样系统中实现量程自动转换的具体方法,并对MAX543中R-2R电阻网络结构进行了分析。讨论了DSP的应用程序的设计,并给出了程序流程框图。
在弱信号检测电路中,经常会因为传感器的移动、测试信号类型变化等因素引起被测信号的改变。这时就需要对信号的增益进行调节,为使调节达到精密测量要求,对于一些以DSP为信号处理机的采样系统,应引入准确、实时的量程自动转换电路。
量程自动转换电路可以用运算放大器和模拟开关构成,但对这种精密的、实时进行微调的电路,我们采用一个由MAXIM公司的12位D/A转换器MAX543组成的自动调节增益转换电路。利用DSPTMS320F206异步串口灵活控制功能,决定适当的信号放大倍数。本文先介绍MAX534和TMS320F206的原理与特性,然后讨论量程自动转换电路的具体实现方法并给出具体汇编程序框图。

1 12位串行数模转换器MAX543
1.1 MAX543原理及特性
MAX543是一种12位电流输出、乘法数模转换器。它由一个12位的R-2R型DAC、一个串行输入并行输出的移位寄存器、一个DAC寄存器和控制逻辑电路组成。在时钟信号(CLK)的上升沿,串行数据输入端(SRI)的串行数据移位进入MAX543,当所有的数据进入后,LOAD端变为低电平。
MAX543可采用5V单电压供电,数字输入为TTL或5VCOMS相兼容的电平。MAX543采用的制作工艺可以保证±1/4LSB的线性度和优于±1LSB的增益精度。数字输入采用了防静电措施。
1.2 MAX543的内部电路及工作过程分析
MAX543的数模转换电路由一个R-2R电阻网络和NMOS模选开关组成,如图2所示。根据输入数据的变化来决定每一个模选开关是接地还是与Iout端相连。

图3为MAX543的工作时序图。从第一个时钟信号的上升沿开始,MSB位开始移入MAX543,在随后的时钟周期里,其余各位依次移入。当所有数据输入后,再延迟30ns,LOAD端变为低电平,数据进入到12位DAC寄存器中,进一步控制NMOS模选开关。

2 TMS320F206的异步串口分析
TMS320F206是TI公司生产的定点、静态COMS数字信号处理器。它采用先进的哈佛结构(将数据空间和地址空间的总线分离)、具有片内外设、片内存储器及专用的运算指令集,这些特点使得此器件使用灵活方便。TMS320F206的异步串口可用于不同期间的数据传递。
2.1 接口管脚与寄存器
异步串口由以下管脚组成:
TX:TX端从异步串口发送移位寄存器(AXSR)发出串行数据。
RX:RX端从异步串口接收移位寄存器(ARSR)接收串行数据。
IO0-IO3:通用I/O端口可以设置成为通用I/O端口,也可以设置成为UART的握手信号。
两个片内寄存器进行数据的发送和接收操作并且控制端口的操作:
·异步串行控制寄存器(ASPCR)ASPCR的I/O地址为FFF5H,包括设置端口模式位。允许和禁止自动波特率逻辑检测,选择中止位的数目,允许或禁止中断。设置IO0-IO3,复位端口。
·I/O状态寄存器(IOSR)IOSR的I/O地址为FFF6H,包括输入波特率、各种错误状况、以及数据传输的状态。检测RX端的断点、IO0-IO3的状态,并且检测IO0-IO3的变化。
2.2 异步串口的设置
ASPCR控制异步串口的操作。图4给出了16位ASPCR的格式图。

2.3 I/O状态寄存器的设置
IOSR返回异步串口和I/O口(IO0-IO3)的状态。图5给出了16位IOSR寄存器的格式图,IOSR的I/O地址是FFF6H。

3 TMS320F206 DSP异步串口控制程控放大器的具体实现
3.1 电路原理图分析
具体实现的电路原理图如图6所示,量程自动转换电路由MAX543和AD公司出品的高速精密运算放大器AD711J组成,信号由DAC的RFB输入,参考电压端(Vref)与信号输出端相连,运放的反向输出端与MAX543的电流输出端相连。

在MAX543和DSP的接口部分,LOAD端与XF相连,时钟信号由IO0产生,IO1输出控制增益的数据。通过这种连接方式,MAX543的R-2R电阻网络起到了一个精密可调电阻的作用。
3.2 数字输入值与量程自动转换电路的放大倍数之间的关系

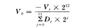
图7给出的是量程自动转换电路的简化原理图。设输入的电压为Vi,输出电压为V0,根据R-2R电阻网络图,Vi和V0的关系式为:

其中Dj对应DSP输出12位控制数据各位的值。
这样即可实现量程的自动调节。
3.3 TMS320F206 DSPD/A控制程序的设计
TMS320F206 DSP D/A控制程序首先使TMS320F206初始化,所有的中断均被屏蔽,等待状态寄存器也被清0。在初始化异步串口,复位串口,将IO0-IO3置为输出,然后激活异步串口。

在ADC初始化,置XF为1,IO0输出0,对控制变量COUNT进行赋值。从IO1移出MSB位,经过延时程序1,再将时钟信号变为1,再经过延时程序2,将IO0变为低电平。通过循环程序,依次从IO1移出数据,当COUNT=0时,所有数据移出,将XF置0,执行延时程序3,数据输送到12位DAC寄存器中,然后XF置0,一次增益调节过程结束。程序流程框图如图8所示。
4 结束语
本文分析了12位串行D/A MAX543实现增益调节的方法。通过利用D/A的内部电阻网络,可以实现量程的快速准确测量。该方法具有普遍的应用意义,可在速度、精度要求较高的测量系统中得到广泛的应用。
作者:高遵伯 刘安芝 刘希顺 国防科技大学 来源:电子工程师

