- 易迪拓培训,专注于微波、射频、天线设计工程师的培养
基于开关电流技术的小波滤波器的实现
摘要:基于开关电流电路提出一种用小波滤波器实现小波变换的方法。通过对母小波的一种数值逼近得到小波函数的有理公式,并以MexicanHat小渡为例模拟该逼近过程,用Matlab对逼近过程进行仿真,同时使用开关电流双二次滤波器的级联来实现小波滤波器。从仿真结果来看,二阶巴特沃思低通滤波器用开关电流技术来实现能达到比较理想的效果。
连续小波变换(Continuous Wavelet Transform,CWT)具有多分辨率的特点,可看成是带通滤波器在不同尺度下对信号进行滤波。小波变换具有表征待分析信号在频域上局部性质的能力,采用不同尺度a做处理时,各ψ(aω)的中心频率和带宽都不一样,但品质因数却不变,从频域上看,用不同尺度做小波变换大致相当于用一组滤波器对信号进行处理。
开关电流电路是应用电流取样表示信号的模拟电路,属于电流模电路,具有电流模电路速度快、适于低压工作,电流求和简单等特点。另外,不需要线性浮置电容,适于CMOSVLSI工艺,并且在原理上,当用电流表示信号时,电压摆幅不必大,具有低电源电压工作潜力。
1 小波变换实现过程
连续小波变换的实现简要概括为:根据母小波ψ(t)的频域表达式。通过逼近得到母小波的有理式逼近形式,标准滤波器用来实现有理的和有限次传输函数,所以对信号的小波变换就转换为将信号通过由母小波的有理式实现的滤波器来实现。该方法的实现取决于小波函数类型,这里以墨西哥小帽(Mexican Hat)小波为例,利用麦可劳林公式逼近得到能够仿真实现的传递函数。
1.1 小波变换
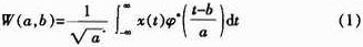
设信号x(t)是平方可积函数,ψ(t)是被称为基本小波或母小波的函数,则:
![]()
式(1)称为x(t)的小波变换,其中a尺度因子,a>0,b反映位移,其值可正可负。
从定义上看,小波变换相当于信号x(t)与![]()
的卷积。众所周知,一个滤波器电路的输出是滤波器脉冲响应与输入信号卷积,因此,实现对信号的连续小波变换CWT可以使信号通过滤波器实现。
1.2 小波函数的逼近实现
这里以Mexican Hat小波(图1)为例研究小波函数的实现方法,其时域表达式如式(2)所示:

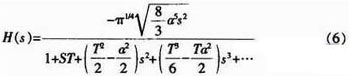
信号x(t)在尺度a下的CWT可通过转移函数为H(jω)的滤波器来实现。然而,从图1可以看出有两个问题需要解决:1)ψ(t)是关于t=O对称的,因此它是非因果的,任何滤波器的脉冲响应在右半平面有极点将会不稳定,为了能够使其稳定,给一个时间延迟T;2)令S=jω,转移函数转换如式(4)所示。

式(4)中分母为指数形式,这样传输函数就不能由只能实现有理的和有限次传输函数的标准滤波器实现。为了使传输函数有理化,通过使用麦克劳林公式近似逼近指数函数:
![]()
这样就可以使要求的传输函数可以稳定的实现。通过近似得到的传输函数如式(6)所示:

为了实现小波设计过程,要选定合适的尺度a、时间延迟T和滤波器的阶数,这些因素都是相关的。
2 开关电流滤波器
2.1 基本原理
开关电流技术是电流模信号处理技术,利用MOS晶体管在其栅极开路时存储在栅极氧化电容上的电荷来维持其漏极电流。开关电流电路属于抽样数据电路,它处理的是抽样信号,即时间离散而幅度连续的信号,它是一种离散时间电路,其基本单元与数字电路类似,主要是相加延乘系数、微分和积分等电路,其输入输出特性用差分方程描述,并用离散z变换实现频率分析。
2.2 双二次滤波器节
双二次滤波器节是一种非常重要的通用滤波器标准部件,以双二次为基块,能够方便地进行级联以得到任意阶数的开关电流(SI)滤波器。这种滤波器综合方法具有模块性和简易性等优点,因而在滤波器设计中得到广泛应用。通用的双二次函数为:

2.3 基于积分器的双二次滤波器电路实现
基于积分器的双二次滤波器结构框图如图2所示。图2中的变量为电流,得到其传递函数如式(9)所示。

任意选定a3后,可由式(10)确定a1~a6的其他各值,从而确定各个MOS管的沟道尺寸。下面以二阶巴特沃思低通滤波器为例,来实现基于积分器的双二次滤波器电路,并给出Pspiee仿真结果。

确定CMOS管的宽长比和偏置电流,实现总的电路如图3所示。此滤波器使用的工艺是标准1.2μm的数字CMOS工艺,其仿真结果如图4所示。


从仿真结果图可以看出,二阶巴特沃思低通滤波器用开关电流技术来实现效果比较好。
3 开关电流滤波器实现小波变换
从频域上看,对信号进行小波变换相当于让信号通过根据小波函数的频域表达式设计的滤波器。下面将验证信号通过开关电流技术实现小波滤波器的可行性。
将小波函数通过逼近得到有理分式的形式,利用Matlab程序将高节有理分式转换为二次函数相乘的形式,如式(11)所示,在滤波器实现上就相当于用3个双二次滤波器级联实现,只需要对各个双二次滤波器的MOS管的宽长比进行设定即可。
![]()
利用开关电流技术实现的高阶滤波器,由二次滤波器级联实现。设定一个输入信号,检测输出信号波形,验证滤波器的性能。
设输入信号如式(12)所示:
![]()
将信号输入到开关电流滤波器中,输出结果如图5所示,根据结果可以看出滤波器实现高通滤波器,将低频的正弦波滤除,得到高频波形。

4 结束语
本文提出了基于开关电流技术的小波滤波器实现,小波滤波器在模拟VLSI小波变换的实现中起着关键的作用,用小波滤波器实现小波变换具有很好的实时性。开关电流由于工作在电流域,与标准的CMOS工艺完全兼容,具有高频特性好,适于低电压工作、动态范围大等优点。以Mexican Hat小波函数为例,通过麦克劳林公式近似逼近得到其有理公式逼近,从而使该方法具有一定的应用价值。
作者:曹永红 霍聪颖 来源:《电子设计工程》2010年第12期
上一篇:基于双管正激的模块电源设计
下一篇:基于FPGA的LCoS驱动和
像处理系统设计


