- 易迪拓培训,专注于微波、射频、天线设计工程师的培养
具有滞回特性的直流固态继电器设计
摘要:提出一种新型的直流固态继电器设计方案。为了使继电器具有滞回特性,采用在控制电路中引入正反馈回路的方法来实现继电器的导通电压和截止电压分离,防止临界抖动的现象发生。同时继电器输出不受负载的影响,输入、输出端口相对独立,提高了继电器的工作稳定性。以电路仿真软件Multisim为平台对所设计电路进行了原理仿真,并测试了实际继电器的运行参数。结果表明,该设计方案的继电器能够准确动作,具有良好、可调的滞回特性。
0 引言
固态继电器(Solid State Relay,SSR)是一种具有隔离功能的无触点电子开关,在开关过程中无机械接触部件,输入控制电路和输出回路间具有电的隔离,并且输出回路的通断受输入信号的控制。与传统的电磁继电器(EMR)相比,固态继电器不但具有和电磁继电器相当的转换功能,还具有驱动功率小、噪声低、可靠性高、抗干扰能力强、开关速度快、体积小、寿命长、使用方便、与TTL、HTL、CMOS电路兼容等优点。固态继电器分为交流固态继电器和直流固态继电器2种。直流固态继电器主要由输入回路、光电耦合器和输出回路组成,其中光电耦合器起到光电隔离的作用,输出部分相当于一个常开开关。随着现代电子技术的发展,对于隔离驱动、隔离切换电路的场合,已经形成了光电隔离固态继电器广泛应用的局面。
文献利用大功率场效应管构成互补型MOS管对,从而形成具有3个输出端的电子开关电路,模拟单刀双掷功能,构成大功率单刀双掷固态继电器。文献公开了一种多功能限流保护式固态继电器,包括低压控制部分和高压开关部分,设置了高低压组合指示和限流带复位保护部分。文献设计了一种20 A的1 500 V的大功率高速直流固态继电器,具有良好的开关特性。目前广泛应用的直流固态继电器的导通电压与截止电压近似相等,当输入在临界值附近时,继电器会出现抖动,无法正常动作。本文提出一种新的设计方法,将继电器导通电压与截止电压分离。为了验证所设计电路的有效性与正确性,对其进行了数值仿真,并对实际电路运行参数进行测试。
1 硬件电路设计
本文直流固态继电器采用四端设计方式,电路原理如图1所示。

1.1 输入电路
输入回路主要由电阻R1,R2、R3,稳压管D1,D2,开关管T1,T2组成。其中NPN型开关管T1和PNP型开关管T2构成正反馈回路,使光电耦合器导通电压和截止电压分离。
1.1.1 导通与截止过程
如图1所示,输入电压范围为0~24 V,初始值为0 V。此时光耦合器处于关断状态,电路不导通。电阻R2与电阻R1构成开关管输入分压回路,③点电压为稳压管D2上电压,基本恒定不变。逐渐增大输入电压,当②点电压超过③点电压时(忽略开关管压降),三极管T1导通,继而三极管T2导通。接着光耦中的发光二极管被触发导通,光耦合器将发光二极管发出的光由光敏三极管转换成光电流,光耦导通,从而将电路导通。继电器返回时,逐渐降低输入电压,此时D2两端电压等于T2、D1以及光耦中二极管三个元件的电压的总和。
随着电压的降低,③点电压比②点电压略高0.7 V时,此时电压为临界电压。当电压降到临界值以下时,三极管T1就会截止,三极管T1截止后,光耦合器中发光二极管也随之截止,从而使整个电路处于截止状态。
1.1.2 动作值、返回值和返回系数的计算
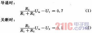
由图1列出电路导通和关断时的数学表达式:

式中:Uin为导通(关断)时电路输入电压(动作电压与返回电压);U1为二极管D2两端电压;U3为二极管D1和三极管T2两端电压;假定设计电路的相对动作值达到75%,相对返回值达到40%,因而R1和R2的阻值分别选取为1 kΩ和1.5 kΩ。经计算如下:

从以上计算可见,继电器导通时输入电压为17.7 V,动作值为73.8%,继电器截止时输入电压为10.2 V,动作值为42.5%,继电器导通电压和截止电压之间留有充分的裕度,保证了继电器在临界值能够准确动作。
1.2 隔离电路
本文采用光电耦合器(Optical Coupler,OC)作为继电器的隔离电路,光电耦合器是一种半导体光电器件,它具有体积小、寿命长、抗干扰能力强、工作温度宽及无触点输入与输出、在电气上完全隔离等特点。本设计选用型号为TLP127的光耦合器,该芯片适用于表面贴装。 TLP127由砷化镓红外发光二极管,光耦合到达林顿光敏三极管与一个不可分割的基地发射电阻器组成,广泛应用于可编程控制器、直流输出模块、电信等方面。
1.3 输出电路
输出电路由开关管T3,T4组成的两级放大电路和续流二极管D3组成,输出电路的通断完全由输入电路控制,输入电压使光电耦合器导通则输出回路导通,即继电器导通,反之则截止。可见,该继电器的输出稳定在一定值,不受负载的影响,端口相对独立。
从以上的各部分电路原理分析可以看出,上述设计方案从理论上讲,可以以小电流控制大电流,同时能够分离继电器的导通电压和截止电压,具备固态继电器的开关功能。
2 电路仿真与参数测试
考虑到系统的可实现性,本文利用Multisim进行仿真。Multisim是加拿大Interactive Image Technologies公司推出的Windows环境下的电路仿真软件,不仅具有电路瞬态分析和稳态分析、时域和频域分析、噪声分析和直流分析等基本功能,而且还提供了离散傅里叶分析、电路零极点分析、交直流灵敏度分析和电路容差分析等电路分析方法。由于仿真软件与现实元器件之间的差别,仿真实验只对电路设计做定性分析,具体参数在实物电路板上进行测试。
2.1 电路仿真
按照设计方案在Multisim中搭建电路原理图,输入为线性电压源,电压范围是0~24 V。仿真电路中用24 V直流电源与电阻R模拟受控回路连接在继电器输出端。输入电压上升过程中,当电路导通时,输出端电压会迅速下降;在输入电压下降过程中,当电路截止时,输出端电压会迅速上升。输入电压上升过程和下降过程波形分别如图2、图3所示。

分析图2、图3可以得出当输入电压从0 V逐渐增加到24 V时,电路动作电压值约为17.887 V,而当电压从24 V逐渐减小到0 V时,电路电压返回值约为10.212 V。仿真动作值与上述计算动作值相近,考虑到仿真误差,二者的结果吻合。
2.2 电路参数测量
在实物电路板上进行参数测量,主要进行通断电压测量和导通时间测量。实物电路板如图4所示。

2.2.1 输入/输出电压特性
根据测量继电器输入电压与输出电压参数的结果,绘制出其输入/输出电压特性如图5所示,从图5中可以看出动作结果与计算值一致,继电器的导通电压与截止电压分离,且留有足够的动作裕度,实现了继电器的滞回功能。

2.2.2 导通时间测量
导通时间是指,从施加于常开型固体继电器输入端电压,达到保证接通电压开始,到输出端电压达到其电压最终值90%为止的时间间隔。导通时间是衡量继电器动作的准确性和可靠性的重要指标,所以试验中通过测量继电器的导通时间来检验继电器动作是否准确。实验中分别对输入电压18 V、20 V和24 V三个电压的导通时间进行测量,测量数据如表1所示,示波器波形图分别如图6~图8所示。


从表1和以上波形图可以看出,随着输入电压的降低,导通时间随之升高。总体上输入电压超过动作电压后,继电器能够在极短的时间内导通,动作准确,实现了理想的开关功能。
电路的仿真分析与参数测量结果表明,本文提出的新型直流固态继电器的设计方案能够实现继电器的基本功能,同时滞回特性设计使继电器在临界电压可以准确动作,是一种比较理想的方案。
3 结语
本文提出的直流固态继电器设计方案较为新颖,通过在控制电路设置正反馈回路来实现继电器导通电压和截止电压的分离。仿真结果和参数测量结果表明该方案完全可行,继电器具有良好、可调的滞回特性,能够防止临界抖动,准确动作,同时继电器输出不受负载的影响,输入、输出端口相对独立,这是本文所述设计方案的最大优点。总体上,该电路结构简单,功能完备,在实际工程中运行良好,市场前景比较广阔。
作者:卞海浪 陈谦 王冰 黄攀 刘洋 来源:现代电子技术
上一篇:主动威胁防御,让网络更安全
下一篇:通用型IGBT变频电源的研制过程


