- 易迪拓培训,专注于微波、射频、天线设计工程师的培养
基于PID的单相逆变器复合控制方案设计
引言
PID控制作为一种经典控制算法,具有结构简单、易于调试、动态响应特性快、鲁棒性强等特点。但是,对于中、低频周期信号,该算法仍无法实现无静差控制;对由非线性负载引起的输出波形畸变的调节能力也较差。
本文介绍了一种PID控制器与重复控制器采用串联拓扑结构的方案,将稳定的PID+控制对象闭环系统作为重复控制器的控制对象,在保证系统稳态误差和动态性能的同时,简化了重复控制器的设计。
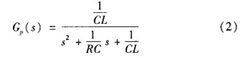
1 逆变器模型

式中,u0为输出电压;i 为电感电流; 为负载电阻;C为滤波器电容;£为电容等效串联电阻:


取采样频率和开关频率相等,把逆变桥看作一个零阶保持器,将式(2)离散化可得对象的脉冲传递函数为:
![]()
2 PID控制器设计
图2所示为PID控制系统的开环频率特性图(Bode图)。其中,G0为被控对象;G 为PID控制器;G=Gp×G0
按照传统PID设计理论,首先设开环系数为K=200,目的是提高系统低频增益,减小稳态误差。但是K值过大会降低系统稳定性,所以在低频段 处加一零点,与积分环节构成滞后校正。该滞后环节的作用主要有两条:一是在保证系统暂态性能基本不变的情况下,提高系统低频响应的增益,减小系统的稳态误差;二是利用其低通滤波特性衰减系统高频响应增益,提高系统的相角裕度,以改善系统的稳定性。

在中频段60 处加一零点,同时在高频段 处加一极点,由此构成超前校正。其作用主要有两条:一是利用相角超前特性增大系统的相角裕度,提高系统的截止频率,保证系统快速的动态响应;二是衰减系统高频响应增益,抑制高频噪声,提高系统鲁棒性。
图2中G为PID控制系统开环传递函数,由其频率特性曲线可以看到,系统低频开环增益非常大;截止频率附近频段相角裕度增大;高频段开环增益很小,抑制了高频干扰信号。通过滞后一超前相校正方法对PID控制器进行设计,达到了预期的目的。经过以上分析,PID传递函数为:
![]()
取采样频率和开关频率相等,采用零阶保持器将式(4)离散化可得对象的脉冲传递函数:
![]()
3 重复控制器设计
根据内模原理,在闭环系统中加入外部周期信号动态模型,则系统可以达到对外部周期信号渐近跟踪的目的,重复控制策略正是基于这一原理。图3为基本重复控制器系统结构图,其中重复控制器离散表达式为:

式中,Ⅳ为每基波周期对输出电压的采样次数。
由式(6)可知,当频率为∞=2~k/T(K=0,1,2,……,T为基波周期),由于z=1,所以若在闭环系统中嵌入重复控制器,将使开环增益趋向无穷大。在这种情况下,非谐波输入信号将被强烈衰减,达到精确跟踪输入信号的目的。但是,由于无法精确知道控制对象动态特性,所以开环增益趋向无穷大将恶化闭环系统的稳定性。为了保证系统稳定性,需对基本重复控制系统改进。

本方案提出的复合重复控制系统结构图如图4所示。

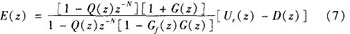
Q(z)、G,(。)为低通滤波补偿器,是重复控制器设计工作的重点。P( )的作用是将开环增益调节至很大的有限值,在不影响稳态精度的前提下保证系统稳定性;G,( )的作用是通过限制重复控制器的频带范围来提高系统的鲁棒性 。由图可得到系统的误差传递函数为:

式中,

根据小增益定理,上述系统稳定的条件是:
① 闭环系统G( )是稳定的。
②
![]()
由误差传递函数式(7)可知,如果:
![]()
则式(7)可重列为:
![]()
如果通过构造Q(z),在频率∞=2,rrk/T(k=0,1,2,……)处使:
![]()
则可以得到E(z):0。所以,当系统满足式(10),式(12)时,各阶谐波的稳态误差理论上将趋向零。但是,由于实际的系统为非理想系统,上述设计要求无法满足所有频段的谐波,通常是在一定频率范围内,根据稳定性条件式(8)、式(9)和控制器条件式(10),式(12)设计重复控制器,满足系统对稳态和动态的要求。
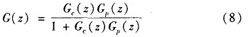
根据式(8)、式(10),补偿器G,( )可以直接设计为G( )的逆函数。但是,如果G(z)是非最小相位系统,虽然式(10)仍成立,外部表现稳定,由于有不稳定零极点对消情况,这将导致系统内部不稳定。这种情况下,必须采用其他类型的补偿器对G,( )进行设计。
本文中提出的方案,控制对象是PID控制器镇定的稳定闭环系统,其本身即为最小相位系统,所以可以直接使用逆函数设计补偿器,即:
![]()
式(12)理论上要求p(z)=1;然而式(9)表明,由于高频段G(z)趋向0,Q(z)在高频段应小于1,所以Q(z)应是一个具有零相移的低通滤波器,其表达式为:
![]()
实际应用中,采用一阶低通滤波器完全可以满足系统要求:
![]()
通过以上分析,现在重复控制器的两个滤波器可以根据式(13)、式(15)设计。
为了进一步理解重复控制器在系统中的作用,可以比较嵌入重复控制器和没有嵌入两种情况下的系统开环频率特性,如图5所示。

在高频段,开环增益变得非常小,这对抑制高频噪声,提高系统稳定性和鲁棒性是非常有帮助的。但是,在非谐波频率处,没有嵌入重复控制器的系统开环增益更大一些,这说明重复控制器对位于该频率的信号控制效果较差。因此,PID控制器在系统中除了有提高系统动态响应速度的作用外,还要调节非谐波信号,弥补重复控制器的不足。
4 仿真实验分析
根据以上分析,笔者对数字PID控制、重复控制以及提出的复合控制进行了仿真实验。系统参数如下:
输入直流电压为270 V,输出交流电压为110 V/50Hz,开关频率为10 kHz,输出滤波电感为1.5 mH,输出滤波电容为20 F,负载电阻为10 n。
图6,图7中, 为给定电压;Uo为输出电压。


PID控制对于周期性信号无法做到无差跟踪,存在周期性稳态误差。嵌人了重复控制器的系统,输出能够很好地跟踪输入信号,系统迅速进入稳态,表现出良好的动态性能。
图8,图9为系统输出电压波形的频谱分析。图中直观地反映出重复控制可以有效地抑制谐波,降低输出波形的畸变率。


5 结语
上述过程较为详细地分析了重复控制器的工作原理,结合PID控制和重复控制各自的优缺点,设计了具有串联拓扑结构的复合控制器,同时发挥了重复控制器对周期信号无差跟踪能力和PID控制器对突变干扰的快速响应能力。仿真实验结果证明,重复控制对削减输出波形畸变是有效的,基于PID控制和重复控制的复合控制策略是一种实用的正弦波逆变器控制方案。
来源:维库开发网
上一篇:高压变频器的集中冷却技术
下一篇:100G以太网轻松应对流量激增


