- 易迪拓培训,专注于微波、射频、天线设计工程师的培养
基于Multisim 10的差动放大电路仿真分析
差分放大电路利用电路参数的对称性和负反馈作用,有效地稳定静态工作点,以放大差模信号抑制共模信号为显著特征,广泛应用于直接耦合电路和测量电路的输入级。但是差分放大电路结构复杂、分析繁琐,特别是其对差模输入和共模输入信号有不同的分析方法,难以理解,因而一直是模拟电子技术中的难点。Muhisim作为著名的电路设计与仿真软件,它不需要真实电路环境的介入,具有仿真速度快、精度高、准确、形象等优点。因此,Multisim被许多高校引入到电子电路实验的辅助教学中,形成虚拟实验和虚拟实验室。通过对实际电子电路的仿真分析,对于缩短设计周期、节省设计费用、提高设计质量具有重要意义。
Muhisim是加拿大IIT(Interactive Image Tech—nologies)公司在EWB(Electronics Workbench)基础上推出的电子电路仿真设计软件,Muhisim现有版本为Muhisim2001,和较新版本Muhisim 10。它具有这样一些特点:
(1)系统高度集成,界面直观,操作方便。将电路原理图的创建、电路的仿真分析和分析结果的输出都集成在一起。采用直观的图形界面创建电路:在计算机屏幕上模仿真实验室的工作台,绘制电路图需要的元器件、电路仿真需要的测试仪器均可直接从屏幕上选取。操作方法简单易学。
(2)支持模拟电路、数字电路以及模拟/数字混合电路的设计仿真。既可以分别对模拟电子系统和数字电子系统进行仿真,也可以对数字电路和模拟电路混合在一起的电子系统进行仿真分析。
(3)电路分析手段完备,除了可以用多种常用测试仪表(如示波器、数字万用表、波特图仪等)对电路进行测试以外,还提供多种电路分析方法,包括静态工作点分析、瞬态分析、傅里叶分析等。
(4)提供多种输入/输出接口,可以输入由PSpice等其他电路仿真软件所创建的Spice网表文件,并自动形成相应的电路原理图,也可以把Muhisim环境下创建的电路原理图文件输出给Protel等常见的印刷电路软件PCB进行印刷电路设计。
1 电路设计
在Multisim 10中建立了如图1所示的典型差动放大电路。T1,T2均为NPN晶体管(2N2222A),电流放大系数β设置为80。拨动开关J1,J2可选择在差动放大电路的输入端加入直流或交流信号。数字万用表用于测量直流输出电压,示波器用于观测交流输入/输出电压波形,测量探针用于仿真时实时显示待测支路的电压和电流。

实际电路中T1,T2宜选用差分对管,晶体管的静态电流ICQ不宜超过1mA。由ICQ可选取两管共用的发射极电阻Re,且Re不影响差模电压放大倍数,仅对共模信号有较强的负反馈作用,因此可以有效地抑制"零点漂移",稳定静态工作点。由于两个放大器的参数不可能完全一致,因此通过电位器Rp对电路进行调零。
基极电阻Rb1,Rb2应根据差模输入电阻的要求选定。选取集电极电阻Rc1、Rc2时应使静态工作点靠近负载线的中点。根据输入端和输出端接"地"情况的不同,差动放大电路有以下4种不同接法:双端输入双端输出、双端输入单端输出、单端输入双端输出、单端输入单端输出。
2 静态工作点分析
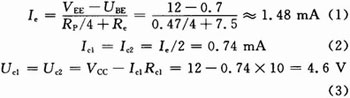
图1差动放大电路静态时因输入端不加信号,T1,T2的基极电位近似为零,因此电位器Rp两端的电位均为-UBE(对于硅管约为-0.7V),如电位器Rp的滑动端处于中点位置,计算静态工作点为:

Multisim 10中直流工作点分析方法是对电路进行进一步分析的基础,主要用来计算电路的静态工作点,此时电路中的交流电源将被置为零,电感短路,电容开路。进行静态工作点分析时需将电路的节点编号显示在电路图上(见图1),并需要选择待分析的节点编号。依次执行Simulate/Analyses/DC Operating Point(直流工作点)分析命令,设置图1中1,2,u01,u02,Iprobe2,Iprobe3为输出节点(变量),得到图2所示的静态工作点分析结果:Ie=1.48mA,Ic1=Ic2=0.732mA,Uc1=Uc2=4.68V,所测参数与式(1)~式(3)分析结果基本一致。

3 参数扫描分析
参数扫描分析用来研究电路中某个元件的参数在一定范围内变化时对电路性能的影响。选择图1中电阻Re为参数扫描分析元件,分析其阻值变化对电路输出波形的影响。图1差动放大电路设置为交流信号输入方式,设置正弦波输入信号频率为1kHz、幅值为150mV,依次执行Simulate/Analyses/Parametet Sweep(参数扫描)命令,设置扫描方式为Linear(线性扫描),设置电阻Re扫描起始值为5kΩ,扫描终值为7.5kΩ,扫描点数为3,设置输出节点为u01,得到如图3(a)所示参数扫描分析结果。当Re=5kΩ时,由于T1管的静态工作点偏高,其输出电压u01产生了饱和失真。可见,Re阻值的变化影响差动放大电路的静态工作点。

4 温度扫描分析
温度扫描分析用来研究温度变化对电路性能的影响,相当于在不同的工作温度下进行多次仿真。
图1差动放大电路设置为交流信号输入方式,设置正弦波输入信号频率为1kHz、幅值为10mV,依次执行Simulate/Analyses/Tempera-ture Sweep(温度扫描)命令,设置扫描方式为List(取列表值扫描),设置扫描温度为0℃,27℃,120℃,设置输出节点为u01得到如图3(b)所示温度扫描分析结果。随着温度的升高,T1管的输出电压幅值变小。可见,故温度变化会影响单管放大电路的静态工作点。
由于温度的变化与T1,T2参数的变化相同,集电极静态电流、电位的变化也相等,故输出电压u0的变化为零,可将温度变化等效为共模信号,因此差动放大电路对温度变化产生的"零点漂移"具有抑制作用。
5 动态参数分析
图1电路的差模电压放大倍数Aud与单管共射电路相同,且Aud由输出方式决定,而与输入方式无关。
计算双端输出差模放大倍数为:

5.1 传递函数分析
依据传递函数分析可计算电路中输入源与两个节点的输出电压或一个电流输出变量之间的直流小信号传递函数,同样可以用于计算输入和输出的阻抗。
将图1电路分别设置为直流差模、直流共模信号输入方式,依次执行Simulate/Analyses/Transfer Function Analysis(传递函数分析)命令,设置V3为输入电压源,设置输出节点为u01,分别得到如图4(a),4(b)所示传递函数分析结果。由图4测得Aud1=-12.4,Auc1=-0.64,所测参数与式(5)、式(6)分析结果基本一致。

5.2 直流信号测试
拨动开关J1,J2,在图1电路中两输入端加入直流差模信号ui1=+0.1V,ui2=-0.1V,通过数字万用表测得uo1=2.246V,uo2=7.115V。计算Aud=(2.246-7.115)/0.2=-24.345,Aud1=(2.246-4.68)/0.2=-12.17,Aud2=(7.115-4.68)/0.2=12.175。在图1电路中两输入端加入直流共模信号ui1=ui2=0.1V,通过数字万用表测得uo1=uo2=4.616V。计算Auc1=Auc2=(4.616-4.68)/0.1=-0.64,Auc为零。直流信号测试参数与式(4)~式(6)分析结果基本一致。
5.3 交流信号测试
5.3.1 单端输出
在图1电路中两输入端分别加入交流差模信号(函数信号发生器的输出端接ui1、地端接ui2,构成单端输入方式)及交流共模信号(函数信号发生器的输出端同时接ui1,ui2),设置正弦波输入信号频率为1kHz、幅值为10mV。
通过示波器观测差模、共模信号输入波形和单端输出波形如图5所示。由示波器测得:差模单端输出电压的幅值约为119mV,Aud2=11.9;共模单端输出电压的幅值约为6.4mV,Auc1=-0.64。单端输出测试参数与式(5)、式(6)分析结果基本一致。

5.3.2 双端输出
由于Multisim 10提供的示波器不能直接测量uo两端的电压波形,因此需通过后处理器对双端输出电压进行观测。在进行后处理之前需要对电路进行瞬态分析,然后将瞬态分析结果进行后处理。瞬态分析是一种非线性电路分析方法,可用来分析电路中某一节点的时域响应。在进行瞬态分析时,Multisim 10会根据给定的时间范围,选择合理的时间步长,计算所选节点在每个时间点的输出电压,通常以节点电压波形作为瞬态分析的结果。图1电路设置为交流差模信号输入方式,设置正弦波输入信号频率为1kHz、幅值为10mV,依次执行Simulate/An-alyses/Transient Analysis(瞬态分析)命令,选择图1电路中节点uo1,uo2的电压作为输出变量,得到如图6所示的瞬态分析结果。可见,uo1,uo2大小相等、相位相反。后处理器(Postprocessor)是专门对仿真结果进行进一步计算处理的工具,不仅能对仿真得到的数据进行各种运算,还能对多个曲线或数据之间进行数学运算处理,并将结果绘制到曲线图或图表中,绘制的结果表现为"轨迹线"的形式。
依次执行Simulate/Postprocessor(后处理器)命令,选择对图6瞬态分析结果中两个节点(uo1,uo2)输出电压进行减法运算,得到的差模信号双端输出电压uo波形如图7所示。由图7可测得uo的幅值约为242mV,计算Aud=-24.2,双端输出测试参数与式(4)分析结果基本一致。图1电路设置为交流共模信号输入方式,通过瞬态分析和后处理器测得共模信号双端输出电压uo幅值仅为0.062μV,Auc=6.2×10-6。可见,差动放大电路对共模信号具有很好的抑制作用。

6 结语
应用Multisim 10软件对差分放大电路进行仿真分析,结果表明仿真与理论分析和计算结果一致,应用Multisim进行虚拟电子技术实验可以十分方便快捷地获取实验数据,突破了在传统实验中硬件设备条件的限制,大大提高了实验的深度和广度。利用仿真可以使枯燥的电路变得有趣,复杂的波形变得形象生动,并且不受场地(可以在教室、宿舍),不受时间(课内、课外)的限制,通过教师演示和学生动手设计、调试,不但可以使学生更好地掌握所学的知识,同时提高了学生的动手能力、分析问题和解决问题的能力。
来源:维库开发网

