- 易迪拓培训,专注于微波、射频、天线设计工程师的培养
一种应用于OTP存储器的新型电荷泵的设计
摘要:对一次性可编程(OTP)存储器进行编程时需要较大的编程电流,而传统的DICKSON电荷泵电路所提供的编程电流较小,不能满足要求。本文提出了一种适用于OTP存储器的新型电荷泵电路,在3.3V的工作电压下,输出电压7V,内部结点最高电压仅为8.8V,输出上升时间100ns,而且具有较高的电流负载能力,非常适合用于OTP存储器的编程。
电荷泵是一种利用电容电荷积累来产生高于电源电压或者负电压的电路。作为编程高压产生器,电荷泵电路经常应用于非易失性仔储器中。它的性能直接决定了整个存储器的各项性能指标的好坏。
传统的DICKSON电荷泵电路采用二极管接法的NMOS作为电荷泵单元级,占用面积小,在现在的集成电路工艺中容易实现,是目前最常用的电荷泵类型。然而,较差的电流负载能力和过高的内部节点电压等缺点使DICKSON电荷泵并不适用于OTP存储器。为了解决这些问题,本文提出了一种新型的电菏泵电路。
1 传统的DICKSON电荷泵
图1为一个用NMOS构成的DICKSON电荷泵电路图,它利用二极管(图中采用二极管接法的NMOS)的单向导电性和电容两端电压差不能突变的特性,在两个互不交叠的时钟CLK和CLK*的控制下,将电荷从输入推向输出,随着电荷的不断积累,输出电压也越来越高。

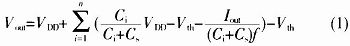
负载电流Iout的输出电压Vout公式为:
![]()
其中Cn为耦合电容,Cs为寄生电容,Vth为每个NMOS上的阈值压降。
由上式可见,当DICKSON电荷泵应用于OTP存储器编程时存在以下两个问题:
(1)与浮栅存储器的编程不同(浮栅存储器编程时只需要得到一个高压,利用高压向浮栅上注入电子,达到改变阈值的目的,其对电流负载能力要求并不高),采用MTM或者ONO结构的OTP存储器的编程往往需要一个较大的电流,而DICKSON电荷泵的输出电压随着输出电流的提高而急剧下降,根本无法提供我们编程时所需要的电流。
(2)随着输出电压的升高,体效应现象加剧,Vth增大,严重的影响了电荷泵的性能。
虽然可以通过改进电荷泵的结构来优化电荷泵的性能,如多相时钟电荷泵、基于倍压器的电荷泵、栅交叉耦合电荷泵、CTS电荷泵等,它们也仅仅是克服了体效应和阈值下降的影响,依然无法提供较大的编程电流,而且电路复杂,版图面积较大,对于只需一次性编程的OTP存储器来说,并不适用。
2 大电流负载电荷泵
图2是大电流负载电荷泵原理图,Vctrl为控制电荷泵工作的控制信号,OSC为振荡器提供方波信号,M1为采用二极管接法的NMOS,C2为OTP存储单元,M5为控制OTP存储单元的选择管。它与DICKSON电荷泵的最大区别是,它用来烧录C2的编程电流并不是来自该电荷泵,而是来自外界所提供的高压Vp,因此它能够提供较大的稳定的编程电流,而该电荷泵所产生的高压仅仅用来将外界高压引入存储单元内部,起了一个控制高压的作用。

当Vctrl为高电平时,OSC输入振荡器信号,在Vp上加编程高压,则振荡器开始工作。
一个时钟周期内,随着C1左极板的电压升高到VDD,在a点所产生的耦合电压Vφ为:
![]()
其中Cs为结点a处的寄生电容,此时结点b处的电压:
![]()
Vth为NOMS的阈值电压,随着C1的左极板电压下降到0,但由于M2管的作用,结点a的电压被钳位到:
![]()
下一个时钟周期来临,C1的左极板电压再次升高到VDD,从而在结点a处再次产生一个耦合增压Vφ,相应的结点b处相比结点a处有一个阈值电压的损失。周而复始,随着振荡信号的不断输入,结点a、b处的电压也不断增高。
第n个周期后,结点a处的电压:
![]()
由于体效应的存在,M1、M2管的阈值电压的改变不能忽略,Vth1_i、Vth2_i分别表示M1、M2管在第i个周期时的阈值电压。
当电荷泵达到稳态的时候,结点c的电压达到Vp,整个电路内部的最高电压为结点a的峰值电压Vamax=Vp+V'th2+V'th1,V'th1、V'th2分别为电荷泵稳定时M1、M2的阈值电压(此时体效应现象最为严重)。
虽然该电荷泵能够提供大电流,但是却对电源电压的要求较高。

图3为采用TSMC0.18um工艺,该电荷泵的仿真结果,其中VP=7V,OSC的振荡周期为50ns,结点c的电压即为输出电压,当电源电压为4V时,经过700ns,我们得到稳定的输出电压6.9V;但当电源电压为3.3V时,电荷泵根本无法正常工作,输出电压只有1.25V,其原因可由式(5)可知,电荷泵要工作必须满足:
![]()
这对电荷泵的电源电压要求较高,当VDD=4V时,电荷泵能正常工作,但当VDD降到3.3V时,电荷泵内部的两个阈值压降之和大于由电容所产生的耦合增压,导致电荷泵无法正常工作。
该电荷泵的最大优点在于其能够提供稳定的大电流输出,其输出特性受负载的影响特别小,而且其电路简单,版图所占面积不大,非常适合只需一次性编程的OTP存储器。但除了对电源电压有一定的要求外,它还有两个缺点:第一,电荷泵升压太慢,要得到稳定的输出电压至少需要700ns;第二,电荷泵内部峰值电压太大,由仿真结果可知Vamax为10.8V,这很容易造成电荷泵内部结点的击穿,导致电荷泵无法工作。针对以上缺点,我们提出了一种新型的电荷泵电路。
3 改进型大电流输出电荷泵
改进型大电流负载电荷泵原理如图4所示。当电荷泵刚开始工作的时候,结点a的电压就被拉高到Va=Vp-Vth,随着振荡信号的输入,相应的在结点a处产生耦合电压,结点a处的电压升高就控制Vp传到结点c。

由于初始电压较高,该电荷泵的输出升压很快,其内部结点最高电压为V'amax=Vp+V'th1,比图2的电荷泵的Vamax要低一个阈值,而且其对电源电压没有式(6)之类的要求,其在3.3V的电源电压下也能够正常工作。

图5为采用TSMC0.18um工艺,改进型电荷泵的仿真结果,其中Vp=7V,OSC的振荡周期为50ns,结点c的电压即为输出电压,当电源电压为4V时,经过150ns,我们就得到稳定的输出电压7 V,而且其内部峰值电压Vamax只有9.5 V;当电源电压为3.3 V时,电荷泵依然能够正常工作,t=100ns时,我们得到稳定的输出电压7V,其内部峰值电压Vamax为8.8V。
4 结束语
本文详细介绍了DICKSON电荷泵的工作原理,分析其优缺点,并提出了一种新型的大电流负载电荷泵。该电荷泵具有低上升时间和低电源电压等特点,非常适合应用于OTP存储器的编程电路。
作者:张颉夫 李曼 袁蕊林 李平 来源:电子元器件应用

