- 易迪拓培训,专注于微波、射频、天线设计工程师的培养
一种具有能量回馈功能的级联型高压变频器的仿真研究
1 引言
如图1所示,一般的级联型高压变频器的整流部分都是采用不可控的二极管,因而能量传输不可逆,当电机处于再生发电状态时,回馈的能量传输到直流母线电容上,产生泵升电压,使电容电压不稳。过高的泵升电压有可能损坏开关器件,从而威胁变频器的安全工作。

为此本文采用成熟的三相pwm整流技术,使用可控开关器件组成单个功率单元的整流电路,实现能量双向传输。同时对直流母线电容电压进行闭环控制来稳定直流母线电容的电压。这种方法还能实现网侧单位功率因数,使级联型高压变频器成为真正的绿色变频器。仿真证明该方法简单有效。
2 单个功率单元整流部分的数学建模及工作原理
从图1(a)的拓扑结构可以看到,级联型高压变频器由多个功率单元级联而成。因此,可以以单个功率单元为研究对象,建立它的数学模型并分析其工作原理。
从图1(b)可以看到,功率单元的整流部分是由不可控的二极管组成。为了实现能量回馈,稳定直流母线电容电压,需要用可控的igbt替代二极管,进行pwm整流控制。图2是改造后的功率单元拓扑结构图。

图2中,lx(x=a,b,c)为交流侧滤波电感,电阻rx(x=a,b,c)为滤波电感lx的等效电阻和功率开关管损耗等效电阻的合并。
设三相电源电压为:

式中:ed,eq,id,iq分别为功率单元整流部分的电源电压矢量、输入电流矢量在d-q轴上的分量。
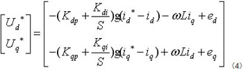
由(3)式可以看出,d、q轴变量相互耦合,因而无法对d、q轴的电流进行单独控制。为此引入id、iq的前馈解耦控制,且采用pi调节器作为电流环控制器,则有以下方程:

式中:ud*、uq*是d-q轴的电压给定;kdp和kdi分别是d轴pi调节器的比例和积分系数;kqp和kqi分别是q轴pi调节器的比例和积分系数。
由式(4)可以看出,电压指令已经实现了完全解耦控制,其系统控制框图如图3所示。图3中,采用由pi调节器组成的电压-电流双闭环结构,外部电压环用于实现输出电压的稳定,内部电流环控制交流输入电流与输入电压同相。其工作原理如下:输出电压vdc和给定参考电压vdc*比较后送入电压pi控制器,电压控制器的输出信号作为网侧电流有功分量的给定值id*,其大小根据整流器的有功输出调节,为达到单位功率因数整流或逆变,无功分量的给定值iq*设定为0,稳态时dq轴的电流给定信号都为直流量,两个给定值与网侧经过变换后的反馈值id、iq相比较后,送入电流pi调节器,在经过解耦和dq→αβ变换后得到三相网侧电压在两相静止坐标系上的控制信号,再经过电压空间矢量脉宽调制模块后,输出六路svpwm控制信号,从而实现对功率单元整流器的控制。

3 功率单元级联的仿真系统
按照第2节介绍的数学模型,搭建的功率单元仿真模型如图4所示。

其中,整流部分控制器的仿真模型如图5所示。

4 功率单元级联的仿真系统
图6是每相串联3个功率单元级联型高压变频器的系统仿真模型。


5 仿真实验
在系统仿真中采用的实验参数如下:电压环采样频率为2.5khz;电流环采样频率为2.5khz;三相pwm整流器输入电压有效值vm=380v;电感寄生电阻阻值r=0.5ω;直流母线电压给定vdc*=750v,初始电压vdc=550v;三相输入电源频率f=50hz;三角波载波频率fs=2.5khz;直流母线端电容c=3200μf;网侧滤波电感l取0.8mh。负载功率为1mw。仿真中不考虑开关损耗的影响。
本仿真实验中,在0~0.25s,级联变频器的整流器处于不控整流状态,由整流器中igbt内反并联的二极管进行不可控整流;在0.25s~0.55s,级联变频器的整流器处于可控整流状态,整流器中的igbt开始工作;在0.55s变频器突投负载;在0.8s改变变频器受控电流源的电流方向,变频器的能量开始回馈,级联变频器的整流器由整流状态转变成逆变状态。
图7是级联型变频器网侧相电流、相电压和功率单元直流母线电压的仿真波形。从图7(b)中可以看出,在0.25s级联变频器的整流器开始工作时,vdc由初始值550v迅速上升至给定值vdc*,并很快稳定下来;在0.55s时,变频器突投负载,vdc被瞬时拉低,但很快就能重新稳定在给定值。稳定后电压波动很小;在0.8s时刻,由于改变受控电流源的电流方向,变频器的能量开始回馈,整流器开始由整流状态转变成逆变状态。回馈的能量使vdc在0.8处瞬时拉高,但由于级联变频器的整流器的响应速度非常快,很快就使vdc重新稳定在给定值。同时,也因为整流器的响应速度快,使vdc在0.8处的升高的不多,保证了系统的安全运行。

从图7(a)中可以看出,在0.25s时级联变频器的整流器开始工作时,网侧电流有些波动,但在很快就能稳定下来;在0.55s变频器突投负载时,网侧电流波动很小,并很快稳定下来。通过比较网侧电压和电流的相位可以看出,两者相位几乎重叠在一起,功率因数接近于1;在0.8s时刻,级联变频器进入能量回馈的状态,整流器处于逆变状态。整流器使网侧电流的相角网侧电压的相差近180°,功率因数接近-1。级联变频器逆变器的三相输出电压、电流和单相输出电压波形如图8所示。

6 结束语
通过仿真实验的波形可以看出,改进后的级联型高压变频器不仅可以进行能量的双向传输,实现能量回馈;而且,控制系统的响应速度非常快,使变频器具有较好的动态性能。因此,该改进方案是正确可行的。
作者:黄超 刘连根 来源:《电力电子》2009年04期
上一篇:变频器的温升及其试验方法探讨
下一篇:一种处理器的视频编码器平台的探讨


