- 易迪拓培训,专注于微波、射频、天线设计工程师的培养
一种二次混频预失真线性化技术
1 引 言
随着现代无线通信系统的迅猛发展,对通信系统容量和效率提出了越来越高的要求,使得高线性射频功率放大器成为当今通信新技术领域中的一个重要研究课题。当前射频功率放大器的线性化技术主要有前馈型、反馈型和预失真型等3种。他们结构不同、各具特色。前馈型具有性能指标高、线性化效果好、有效带宽大等优点,但由于存在对幅度和相位变化灵敏度过高的问题,使得系统的线性化效果会随着温度、电压和功率等因素的变化而变化。反馈型采用了传统的负反馈放大器原理,具有结构简单、方式多样、成本低廉等优点,但其对线性度改善效果一般,且不适合工作于宽带系统。相对于前两种线性化技术,预失真技术具有电路结构简单、工作绝对稳定等优点,可适用于宽带系统,故是一种具有应用前景的线性化技术。
预失真型线性化技术的线性化效果主要取决于预失真器的特性。虽然由于技术的限制,目前还未能达到理想的线性化效果,但从长远发展来看,预失真技术存在巨大的发展潜力。在传统的预失真基础上,文章提出一种新的预失真型线性化功率放大器电路,与传统的预失真型电路相比,其不同之处在于引入一种二次混频预失真器,相比于其他的预失真器,这种预失真技术具有结构简单、对功放增益的影响小等优点。其非线性失真信号通过二次混频产生,在较低的功率条件下可以产生较大的失真信号分量,因此不需要辅助放大器等额外器件。本文首先介绍其电路结构和原理,再从理论上分析其主要特性,最后利用专用的微波电路仿真工具进一步验证。
2 预失真线性化原理
从原理上看,预失真线性化技术可能是改进线性特性的最简单的一项技术。文章采用的预失真电路原理框图如图1所示,即在RF放大器的前面加入一个预失真器,预失真器的非线性特性刚好与RF放大器的非线性特性刚好相反,信号输入端为_个功率分配器,他将输入信号分成2路,上一路通过一个相位延时器;下一路送入预失真器。信号通过预失真器生成非线性失真分量,即预失真信号。这一信号经过相移器和衰减器送入定向耦合器,与原输入信号进行混合,生成含有预失真分量的混合信号。该混合信号最后送到主放大器进行放大。由于混合信号中的非线性分量与由主放大器非线性所产生的非线性分量,在幅度上相等、相位上相反,从而抵消了输出信号中的非线性失真分量,这样就对RF放大器的输出进行一定的补偿,使得输出信号为基本无失真信号,达到线性化的目的。这种补偿原理如图2所示。当信号经过预失真器、延时器和RF放大器组成系统时,由于预失真器与RF放大器的相反的非线性特性,从而使得预失真部分的非线性和主放大部分的传输特性抵消,整体呈线性输出。

3 特性分析
3.1 放大器输出特性
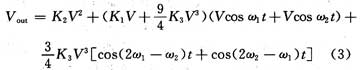
当放大器工作在非线性区内时,不考虑放大器的记忆效应,其非线性可用无穷项幂级数来描述:

其中,Vin为放大器的输入信号,Vout是其输出信号。
若输入为等幅双音信号:Vin=Vcosω1t十Vcosω2t,则非线性放大器的输出可以表示为:

由于高阶系数随阶次的增加而迅速减小,故可忽略不计;频率为ω1+ω2,2ω1,2ω2,2ω1+ω2,ω1+2ω2等分量落在带外,将被带通滤波器滤除,故可不予考虑。而频率为2ω1-ω2,2ω2-ω1(三阶交调分量),3ω1-2ω2,3ω2-2ω1(五阶交调分量)将落在通带内,不会被带通滤波器滤除,故为放大器产生的主要的非线性分量。因为三阶交调对功放的影响最大,此处仅对三阶交调分量进行讨论,由此可将式(2)化简为:

式中第一项是直流分量;第二项显然是与输入信号成线性关系的有用信号;第三项为三阶交调分量,即为非线性失真的产物。
3.2 预失真器电路结构和输出特性
预失真器主要由两个混频器组成,如图3所示,信号通过混频器可使主信号产生倍频及差频信号,将这路信号与主信号送人混频器生成非线性失真分量,即预失真信号。

在图3中,输入信号ω1和ω2经过混频器Mixerl,根据混频器的原理,即产生混频信号2ω1,2ω2和ω1-ω2,与耦合出来的主信号同时送入混频器Mixer2,一个送入LO端,一个送入IF端,则输出为LO与IF信号的和与差,RF端输出就得到了2ω1-ω2,2ω2-ω1,ω1,ω2。可见,预失真器输出的信号中,产生了非线性分量,其中2ω1-ω2,2ω2-ω1,就是我们需要的预失真信号分量。
3.3 线性化输出特性
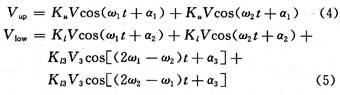
预失真型线性化功率放大器电路结构如图4所示。信号输入端为一个功率分配器,他将输入信号分成2路,上一路通过一个相位延时器、并经过一个功率合成器送入主放大器;下一路送人预失真器,经过相移器和衰减器送入功率合成器,与上路信号进行混合后,一起送入主放大器进行放大。上一路,通过延时器,得到信号Vup;下一路,通过(IM3产生器)、衰减器和移相器,得到信号Vlow:

其中α1是功分器、延时器对信号的相移量;α3是功分 器、非线性产生器,衰减器和移相器对信号的相移量。上下两路信号合并后再进入主放大器。


4 软件仿真和结果
为了进一步验证这种预失真线性化技术的特性,借助于微波电路专用仿真软件ADS对电路进行仿真。在计算机仿真系统上设计了一个2.6 GHz频段的功率放大器,用中心频率为2.6 GHz、频率间隔为2 MHz的双音信号进行仿真得到图5所示的结果。从图5中可以看出,在加入2次混频预失真器前,3阶IMD大约为26.1 dBc,即出现了较为严重的非线性失真。构建与图4相同的系统仿真电路。通过反复、适当调整衰减器、移相器和延迟线的时间延迟量,可获得系统的最后输出信号的频谱图,如图6所示。通过与图5相比较可见,经过预失真线性化处理后,原输出信号中的IMD3接近65.3 dBc,三阶交调改善了39 dB左右。


5 结 语
文章从理论上分析了射频功率放大器失真产生的根本原因,论证了2次混频预失真器的可行性,并通过计算机仿真证明了前面的理论分析。理论分析和实验证明了这种2次混频预失真器的线性化技术能够有效地改善功率放大器的非线性失真。通过分析可以看出,这种线性化技术仅考虑到了IMD3,今后将基于这种技术进一步改善高阶互调。
作者:黄微波 李建清 辜文婷 来源:中电网
上一篇:3G移动通信本地传输网规划特点
下一篇:CDMA网优常见问题及对策


