- 易迪拓培训,专注于微波、射频、天线设计工程师的培养
高速列车互联网络无线传输DS-CDMA系统设计
录入:edatop.com 点击:
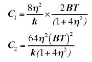
图中C1、C2的计算如下:

式中,η是阻尼系数,一般取值0.707,B是环路滤波器带宽,T是码元间隔,k是相位探测器增益和NCO增益的乘积。本文方案中,取η=0.707,BT=0.1,即载波恢复范围为码元速率的1/10,计算可得C1=4/15k,C2=2/25k,试验中调节k值,使之达到所要的效果。
Modelsim仿真表明,在66MHz工作频率下,采用长度为15bits的PN码,系统数据率可以超过2Mbps。最高扩频码速率超过15Mbps(使用长度为15bits的扩频码)。发射机共消耗435个Slices,接收机共消耗1454个Sclices,约占XC3S1500总资源的14%。
自动越区切换设计
但凡移动通信,都牵涉到越区切换,列车互联网络无线传输系统也不例外。由于列车无线调度电话的使用,每个火车站上都有无线电信号的发射铁塔,而且每个火车站都有通信机房。因此,铁路无线通信的小区制是以各站站场为中心、半径为4~7KM的圆形小蜂窝,其形状如图4所示。

图4 铁路无线小区的覆盖
作者:邵舒渊 卢选民 西北工业大学电子信息学院 来源:电子产品世界
上一篇:八大无线技术未来两年引领风骚
下一篇:合理选择3G传输方案


