- 易迪拓培训,专注于微波、射频、天线设计工程师的培养
基于MIMO和编码技术研究现状及其技术路线
1 引 言
随着移动通信业务规模和种类的迅速发展,如何有效地利用相对贫乏的频谱资源提供更高质量、更高速率的通信服务是亟待解决的难题。最近Foschini等学者从理论和实验上验证了移动通信两端应用多天线收发(即MIMO技术),可充分利用信号的空间特性,明显改善通信质量和频谱利用率,在学术界和工业界引起了高度的重视。
MIMO技术虽然被认为是解决现有无线通信瓶颈,提高通信容量和通信质量的关键技术,但由于MIMO信号的传输机制复杂度,严重限制其工程可实现性。另外,复杂的无线通信环境也加大了MIMO技术的工程实现难度。
基于复杂系统自组织MIMO无线传输分集和编码技术,能对抗复杂多变的无线通信环境,继而显著改善系统性能,能从物理的角度解释信号复杂传输机制,获得分集增益,无需通过信道反馈信息,动态分配资源,提高了端到端的通信服务质量(QoS)和信道容量。
2基于复杂系统自组织MIMO无线传输分集和编码技术研究现状
近年来,基于多发多收天线技术的MIMO矢量传输方法提供了从根本上提高无线通信系统信道容量和频谱利用率的新途径。然而,与常规单天线收发通信系统相比,MIMO通信系统中多天线的应用面临大量亟待研究的问题。
2.1 多天线分集系统理论研究
天线分集是一种对付移动通信衰落的有效技术,其基本原理在于经历不同衰落的多径信号仅仅是部分相关的,他们同时处于深衰落的概率很低,适当合并他们则可能提高链路的可靠性,从而提升传输的数据速率或降低系统的发射功率。决定分集性能的重要因素是分集支路之间的相关性,为获得良好的分集性能,要求该相关性系数低于0.7。夭线分集主要包括空间分集、极化分集和角度分集,他们分属于天线分集中的空间、极化与角度维,实际中难以独立应用各维,而是多维联合应用。如何协调分集技术,降低信号空域相关性,提高信息的传输速率是信息论方法研究还未解决的难题。
2.2空时编、解码与处理
空时编、解码与处理是实现MIMO的关键技术,传输信息首先经空时编码形成多个数据子流,由多天线发射阵的各天线并行发射出去,经无线多径信道传输后,多天线多通道接收机将多路接收信号空时处理算法分离数据流并解码,以实现近于最佳的处理。典型代表为空时格形码和空时分组码。空时网格码要求矢量Viterbi算法译码,设备相当复杂。空时分组码提供的分集增益和空时网格码一样,都与发射天线数相等,不足之处是提供的编码增益最小,甚至为0。除这两种编码外,还有几种先进的空时编码,如线性扩展码、正交空时分组编码(OSTBC)、线性扩展空时码以及Turbo编码等。然而,至今还不清楚究竟哪种编码最好、采用哪种编码技术对接收数据解调和译码效果最佳。
2.3复杂性科学
复杂性科学是现代科学发展的最前沿理论大融合的产物,他拥有大量交互成分,其内部关系复杂、不确定性,总体形成具有非线性。随着科学的发展,特别是复杂性科学的发展,物理学的研究方法大量移植到不同的研究领域,如信息领域,为揭示信息传输的复杂性提供了有效的工具。和常规单天线收发通信系统相比,多输入多输出(MIMO)通信是一个复杂系统,传输信号满足复杂系统的4个特点:中等大少数目的元素;自适应性;局部演化规则;自组织性。因此,可以运用复杂性和复杂系统方面的理论指导对MIMO系统内在机制的研究。
自组织属于复杂性科学的领域,自是"自发","组织"是说明系统中所包含的各个运动变化的子过程间的相互协作、竞争,使过程演化为有序。复杂系统自组织(耗散结构理论、协同学、超循环理论等)具有广阔的应用范围,他在物理学、化学、生物、天文学、经济学、社会学以及管理科学等许多方面都取得了重要的应用成果。但总体来说,运用复杂系统自组织的方法来研究新一代无线通信系统的成果还是非常的。
3基于复杂系统自组织MIMO无线传输分集和编码技术路线 3.1协同分集技术研究
无线通信中,在发送端与接收端同时采用多天线系统,他能够提供空间分集、极化分集和角度分集、阵列分集、编码分集等。但由于空间的限制,多天线系统势必造成信号空域相关性,天线单元互藕以及通道的互藕,这都将影响MIMO系统性能。合理利用多天线分集技术要考虑天线数目以及多天线硬件的复杂度。在此基础上,采用协同分集技术能简化编码和解码的复杂度,降低接收硬件的难度,而且无需信道估计带来的性能损失。
MIMO技术利用了无线信道多径传播的固有特性。在无线通信中,在发送端与接收端同时采用多天线系统,他能够提供空间分集、极化分集和角度分集、阵列分集、编码分集等。此外,MIMO技术还能得到协同分集,具体实施包括正交协同分集和非正交协同分集。
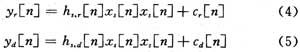
正交协同分集:两端对端的MIMO用户各自利用1/4的时间传输N/4个数据符号且相互接收对方传输的数据,再分别利用1/4的时间为对方传输数据符号。在n=1,…,N/4时:

其中xs[n]是源传输信号,yr[n]和yd[n]分别是中继和信宿接收到的信号。在n=N/4+1,…,N/2时:

其中xr[n]是中继传输的信号,yd[n]是信宿接收到的信号。每个终端均只能传输N/4个数据符号。正交协同分集中,各用户数据均通过两个用户天线传输,提供了协同分集,且对两个用户均可实现1/2码率信道编码。

非正交协同分集传输:两端对端的MIMO用户各自利用1/4的时间传输N/4个数据符号且相互接收对方传输的数据,再共同利用剩下的1/2的时间同时为对方传输数据符号。在n=1,…,N/4时:

其中xs[n]是源传输信号,yr[n]和yd[n]分别是中继和信宿接收到的信号。在n=N/2+1,…,N时:

其中xr[n]和x3-r[n]是两用户作为中继传输的信号,yd[n]是信宿接收到的信号。每个终端均只能传输N/4个数据符号,在剩下的1/2时间内,由于收发端都已获得对方的数据,且在同一个时段上传输,这种情况与有N/2个数据符号需要传输类似,可实现总码率1/3。
针对协同中继点选择的公平性问题,利用一种新的自组织MIMO协同网络的策略,即通过跨层设计获得公平性。同时,采用计数器排除利己主义的用户从而保证了整个网络节点的公平性。方差的使用则确保吞吐量最大化在一定方差的约束。
采用多载波差分协同分集,把MIMO协同分集和差分正交频分复用(OFDM)结合起来,并给出其性能分析。
3.2协同编码技术研究
信道编码的方法通常要考虑译码算法和接收设备复杂度。再加上MIMO技术本身由于收发端信道的不对称而引起的性能损失,信道编码作用就相当重要。采用协同编码(速率匹配删除卷积码或Turbo码)技术能克服收发端信道的不对称而造成的分集度和性能损失,而且还带来编码增益,为提高系统容量和降低误码率找到最佳的途径。
MIMO协同编码设计初衷是协同中提供比有检验DF(解码前传)使用的重复码更加高效的编码,从而带来更多的编码增益。最简单有效的实现方法就是速率匹配删除卷积码或Turbo码,协同方案是码字第一部分的编码比特可以通过删除低码率的码字得到,删除的比特作为码字第二部分的传输数据。具体实施结构如图2所示。

总码率设为1/3,假设采用等长度分割,那么码字第一部分码率1/2码率,直接在Turbo编码器的第一个RSC(Recusive System Code)编码器后面加一个2位的串并转换器,就可以直接得到一个删余后的1/2码率卷积码作为码字第一部分,用户采用相同的随机交织器和RSC,就可以满足编码系统的第二个条件,即通过解码再编码得到协同的第二部分码字。
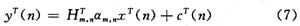
在基站和移动端采用MIMO系统,基站在第T个时隙接收信号为:

假设信道为不同衰落信道,HTm,n为第T个时隙信道衰落系数,am,n为信道发射信号的预乘相位幅度调整,cT(n)为接收噪声,一般采用加载高斯白噪声来近似,其方差为N0。假设发送端已知或可预测HTm,n,且在接收端就可以实现信号的最大比合并。系统传输一个比特的总能量设为Et,则SNR=Et/2N0,数据帧长为128 b,Turbo码RSC编码器为G(7,5)。
在编码协同的基础上还可以引入MIMO自适应空时编码协同,他的基本原理是接收端(基站)在第一时隙对接收到的数据进行解码视接收情况决定第二时隙内的数据传输安排。也就是说,如果第一时隙内基站己经成功接收了某用户的第一帧数据,那么在第二个时隙内该用户的数据将不再发射,而节省下来的能量用于发射其他用户的数据。
4 结 语
本文主要分析基于复杂系统白组织MIMO无线传输分集和编码技术研究现状及其技术路线。用复杂系统自组织研究MIMO技术是一种新方法,能对抗复杂多变的无线通信环境,继而显著改善系统性能,能从物理的角度解释信号复杂传输机制,获得分集增益,无需通过信道反馈信息,动态分配资源,提高了端到端的通信服务质量(QoS)和信道容量。
作者:肖海林,聂在平
(1.桂林电子科技大学 信息与通信学院 广西 桂林 541004;
2.电子科技大学 电子工程学院 四川 成都 610054)
上一篇:3G数字基站射频拉远CPRI规范的实现
下一篇:RFID天线基础


