- 易迪拓培训,专注于微波、射频、天线设计工程师的培养
超大容量OTN交叉技术对100G网络的价值
录入:edatop.com 点击:
高可靠的OTN交叉架构
OTN高速电交叉架构要求各个业务处理单元与集中交换网实现高速链路全互联,每个业务处理单元的交换网接口模块高速端口均匀分配连接到各个交换网单元,从而实现M:N保护的超大容量LO ODUj颗粒无阻塞的OTN高速电交叉架构。如下图2。

图2 超大容量OTN调度架构框图(M:N保护)
M:N交叉单元保护技术在大容量交换系统中比较常用,从兼顾背板总线数量以及保护可靠性的角度出发,采用2组保护单元的保护方式(M=2)是一种性价比较高的选择。
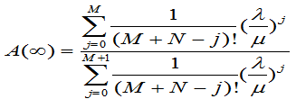
M:N可维修冗余系统可用度稳态公式为:

其中为单元故障率,为单元修复率。
如下表1是各种交叉单元保护方式的稳态可用度对比数据举例。

2:N交叉单元保护技术相比1:N交叉单元保护技术,增加8.33%的背板总线数量,交叉单元稳态可用度提升4个9,实现较低代价获得交叉系统高可靠性。


