- 易迪拓培训,专注于微波、射频、天线设计工程师的培养
影响偏振相关损耗(PDL)测量的重要因素
录入:edatop.com 点击:
译者:赵歆跃 ,校对:赵永鹏 博士、戴武涛,北京凌云光子技术有限公司
偏振相关损耗(PDL)的测量对测量系统中的扰动极其敏感,这些扰动包括光源的不稳定性,连接器的反射,甚至是测试光纤的布局。如果测试装置布置不合理,即使采用高精度的测量设备也可能会出现较大的测量误差或波动。该说明书描述了精确测量 PDL的通常注意事项,以及减少使用 General Photonics公司PDL测试仪 (PDL-101)测量误差的方法。
PDL的定义为
其中Pmax和Pmin分别为当被测器件(DUT)输入光的偏振态在所有可能的偏振态间扫描时,通过DUT的最大和最小输出功率,如图1所示。
在测量中可能会引入一些可能的误差和不确定性,这包括:
1. 由光源波动产生的误差
公式 (1)表明,如果光源的功率随时间变化,测量得到的功率最大和最小值也会随之变化,从而导致测量的不准确。因此,用于PDL测量的光源必须具有很高的稳定性。
即使光源本身非常稳定,测量系统中不同位置的微弱反射可能会反馈回激光器,干扰激光器的工作并导致输出的不稳定。因此,即使光源的输出端可能已经有了隔离器,我们仍强烈建议在PDL测量仪器的输入端加上隔离器,以减少反射。另外,为了减少连接器的反射,在光源与PDL测试仪之间的所有连接器都应该使用APC接头。
2. 由二次反射产生的误差
在测量装置中使用的某些器件可能存在微弱的反射,这些器件包括连接器和DUT。如图2所示,由一个器件产生的反射光可能会被另外的器件再次反射。二次反射光与主体输入光的传播方向一致,因此会与其发生干涉。总输出光功率为:
其中Pin和Pdr分别是主光束和二次反射光束的功率, ein和edr是主光束和二次反射光束的偏振态的单位复矢量,Φ是它们之间的相位差。
因为当光纤受到扰动时,主光束与二次反射光的相对相位和偏振态都会发生改变,它们之间的干涉会引起总输出功率的变化。以dB为单位,由公式(2)可以得到的相对变化的量级为:
虽然二次反射光的很弱,但由于会与强光信号(输入光)发生干涉,它的影响不容忽视。例如,如果一束光先被一个自由端的PC接头反射(典型的反射率为4%),然后再被一对PC接头(回波损耗为40dB,反射率为0.01%)反射,探测到的功率波动可达0.017dB。这个功率波动会引起PDL测量波动0.017dB。当待测器件具有相似的PDL值时,该数值是不能够被忽略的。如果在前面那个例子中使用回波损耗为60dB的APC接头代替PC接头,PDL测量结果的波动将减少到0.0017dB,这个数值在大多数情况是可以被忽略的。
为了减小二次反射带来的影响,如果可能的话,应尽量使用反射较小的APC接头。或者也可以使用短相干长度的光源(相干长度小于主光束与二次反射光的光程差)。这样,公式(2)描述的干涉现象就不会发生,从而,公式(3)描述的干涉波动不会发生。
3. 由接头和光纤产生的误差
除了DUT之外,在PDL测量中使用的光纤和(或)接头也会有很小的PDL。例如,光纤本身会有0.01dB量级的PDL,而且当光纤弯曲的曲率半径很小时,这个值还会增加。连接的光纤跳线也有较小的PDL,量级为 0.01-0.02 dB。连接不佳的光纤跳线会有更高的PDL值,这可能是在连接过程中过度挤压光纤造成的。APC接头一般会有很高的PDL,尤其是在没有与另外的APC接头配对使用时。因此,在测试过程中,一条带接头的跳线很可能会对DUT的PDL测量产生0.02dB或更高的误差。
4. PDL矢量和引起的波动
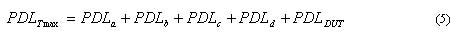
PDL可以被看成一个三维空间里的矢量,因为公式1中的Pmax和Pmin相当于输入光的两个正交偏振态,这可以描绘在邦加球上。因此,当测量装置中有两个或更多器件的PDL不为0时,总的PDL为所有器件PDL的矢量叠加。举例说明,图3所示的光路中,测量得到的总PDL是A、B、C、D四个光纤接头和DUT 的PDL的矢量之和(为了简化器件,假设光纤的PDL为零):
其中,PDLT和eT是总PDL的值和复单位矢量;PDLa,PDLb,PDLc,PDLd,PDLDUT 分别是A、B、C、D接头和待测器件的PDL;ea,eb,ec,ed,eDUT 分别为这些PDL的单位复矢量。图4用图示了PDL矢量是如何叠加的。如果所有的矢量都是平行的就会得到最大的PDL:
如果所有接头的PDL向量都平行,并与待测器件的PDL向量方向相反,就会得到最小PDL,在此假设待测器件的PDL值大于所有接头PDL值之和:
每一个器件PDL矢量的方向与器件的取向和光纤中的应力致双折射有关。当两个器件间的光纤被扰动,PDL矢量的相对方向也随之发生改变,从而导致测量值的变化。因此,PDL测量值的最大改变量为:
如果待测器件的PDL远大于连接头的PDL,相对测量误差就比较小。如果待测器件的PDL与连接头的PDL大体相当,就会产生很大的相对误差。因此,为了得到PDL较小的待测器件(如熔融拉锥耦合器)的精确特性描述,连接头和与待测器件相连的光纤的PDL必须非常小。通常,限制测量精度的因素往往不是仪器本身,而是连接头和与待测器件相连的光纤的残余PDL。
减小PDL测量误差的好习惯
在牢记 以上描述的PDL测量误差来源的同时,这里概括了PDL测量一些好的习惯。以 General Photonics公司PDL-101多功能测试仪为例,典型的测量装置如图5所示。
1. 用于PDL测量的光源必须是高稳定光源,光源的短期稳定性应与预期的PDL测量精度大体相当。如果要达到0.02dB 的PDL测量精度,光源短期功率稳定度必须高于0.02dB。
2. 建议在PDL-101的输入端加一个隔离器,用来减少从下游接头和待测器件反射回来的光进入光源。General Photonics公司的NoTail型隔离器没有尾纤,是首选产品。
3. 为了减少反射光进入光源,从而减少由此引起的光源不稳定性,在光源和PDL-101之间应该采用APC接头。因此,在第二步中描述的NoTail型隔离器应该采用APC连接。
4. 光源的偏振态要相对稳定。光源偏振态的快速波动将导致测量结果的波动。
5. 光源的波长要相对稳定,由于连接光源与测量仪器的光纤中存在双折射,因而光源波长的快速波动将导致偏振态的快速波动。
6. 应采用PDL较小的光纤跳线连接待测器件。
7. 为了减少由二次反射所造成的测量误差,应该使用APC接头将光输入到测量仪器和待测器件。PDL-101有APC穿板式接头(如图5、图6中的输入连接头和连接头A)。为了精确测量低PDL的待测器件(小于0.1dB),可以在接头B和C处使用折射率匹配膏,来减少背向反射和残余PDL。
8. 为了减少接头PDL的影响,应使用PC接头将待测器件的输出光引入测量仪器(如图5、图6中的接头D)。PC接头的输出光将直接射入测量仪器内部的自由空间光电探测器。如果在这里使用APC接头,就会产生0.03~0.04 dB的PDL误差。
9. 因为弯曲会在光纤中产生不能忽略的PDL,所以在接头A和接头D之间的光纤不应该有强烈的弯曲或很紧的缠绕。
10. 对生产平台上的无连接器的带尾纤器件的测量应使用图6所示测量装置。在这个光路中,尾纤带APC接头的一端与APC穿板式接头A连接,另外没有接头的自由端留做熔接。操作人员可以将自由端与待测器件输入端熔接起来,将待测器件的输出端用可拆除的裸纤适配器连接到穿板式接头D。可在APC接头A处使用折射率匹配膏来减少由此引起的PDL。
注释:图5 、图6中的接头A也会产生微小的背景PDL。因此,无连接器的带尾纤的器件的测量(尤其是低PDL器件),可以将此接头换做一段尾纤,从而能够将其与待测器件的输入端熔接(如图7)。
偏振相关损耗(PDL)的测量对测量系统中的扰动极其敏感,这些扰动包括光源的不稳定性,连接器的反射,甚至是测试光纤的布局。如果测试装置布置不合理,即使采用高精度的测量设备也可能会出现较大的测量误差或波动。该说明书描述了精确测量 PDL的通常注意事项,以及减少使用 General Photonics公司PDL测试仪 (PDL-101)测量误差的方法。
PDL的定义为
其中Pmax和Pmin分别为当被测器件(DUT)输入光的偏振态在所有可能的偏振态间扫描时,通过DUT的最大和最小输出功率,如图1所示。
在测量中可能会引入一些可能的误差和不确定性,这包括:
1. 由光源波动产生的误差
公式 (1)表明,如果光源的功率随时间变化,测量得到的功率最大和最小值也会随之变化,从而导致测量的不准确。因此,用于PDL测量的光源必须具有很高的稳定性。
即使光源本身非常稳定,测量系统中不同位置的微弱反射可能会反馈回激光器,干扰激光器的工作并导致输出的不稳定。因此,即使光源的输出端可能已经有了隔离器,我们仍强烈建议在PDL测量仪器的输入端加上隔离器,以减少反射。另外,为了减少连接器的反射,在光源与PDL测试仪之间的所有连接器都应该使用APC接头。
2. 由二次反射产生的误差
在测量装置中使用的某些器件可能存在微弱的反射,这些器件包括连接器和DUT。如图2所示,由一个器件产生的反射光可能会被另外的器件再次反射。二次反射光与主体输入光的传播方向一致,因此会与其发生干涉。总输出光功率为:
其中Pin和Pdr分别是主光束和二次反射光束的功率, ein和edr是主光束和二次反射光束的偏振态的单位复矢量,Φ是它们之间的相位差。
因为当光纤受到扰动时,主光束与二次反射光的相对相位和偏振态都会发生改变,它们之间的干涉会引起总输出功率的变化。以dB为单位,由公式(2)可以得到的相对变化的量级为:
虽然二次反射光的很弱,但由于会与强光信号(输入光)发生干涉,它的影响不容忽视。例如,如果一束光先被一个自由端的PC接头反射(典型的反射率为4%),然后再被一对PC接头(回波损耗为40dB,反射率为0.01%)反射,探测到的功率波动可达0.017dB。这个功率波动会引起PDL测量波动0.017dB。当待测器件具有相似的PDL值时,该数值是不能够被忽略的。如果在前面那个例子中使用回波损耗为60dB的APC接头代替PC接头,PDL测量结果的波动将减少到0.0017dB,这个数值在大多数情况是可以被忽略的。
为了减小二次反射带来的影响,如果可能的话,应尽量使用反射较小的APC接头。或者也可以使用短相干长度的光源(相干长度小于主光束与二次反射光的光程差)。这样,公式(2)描述的干涉现象就不会发生,从而,公式(3)描述的干涉波动不会发生。
3. 由接头和光纤产生的误差
除了DUT之外,在PDL测量中使用的光纤和(或)接头也会有很小的PDL。例如,光纤本身会有0.01dB量级的PDL,而且当光纤弯曲的曲率半径很小时,这个值还会增加。连接的光纤跳线也有较小的PDL,量级为 0.01-0.02 dB。连接不佳的光纤跳线会有更高的PDL值,这可能是在连接过程中过度挤压光纤造成的。APC接头一般会有很高的PDL,尤其是在没有与另外的APC接头配对使用时。因此,在测试过程中,一条带接头的跳线很可能会对DUT的PDL测量产生0.02dB或更高的误差。
4. PDL矢量和引起的波动
PDL可以被看成一个三维空间里的矢量,因为公式1中的Pmax和Pmin相当于输入光的两个正交偏振态,这可以描绘在邦加球上。因此,当测量装置中有两个或更多器件的PDL不为0时,总的PDL为所有器件PDL的矢量叠加。举例说明,图3所示的光路中,测量得到的总PDL是A、B、C、D四个光纤接头和DUT 的PDL的矢量之和(为了简化器件,假设光纤的PDL为零):
其中,PDLT和eT是总PDL的值和复单位矢量;PDLa,PDLb,PDLc,PDLd,PDLDUT 分别是A、B、C、D接头和待测器件的PDL;ea,eb,ec,ed,eDUT 分别为这些PDL的单位复矢量。图4用图示了PDL矢量是如何叠加的。如果所有的矢量都是平行的就会得到最大的PDL:
如果所有接头的PDL向量都平行,并与待测器件的PDL向量方向相反,就会得到最小PDL,在此假设待测器件的PDL值大于所有接头PDL值之和:
每一个器件PDL矢量的方向与器件的取向和光纤中的应力致双折射有关。当两个器件间的光纤被扰动,PDL矢量的相对方向也随之发生改变,从而导致测量值的变化。因此,PDL测量值的最大改变量为:
如果待测器件的PDL远大于连接头的PDL,相对测量误差就比较小。如果待测器件的PDL与连接头的PDL大体相当,就会产生很大的相对误差。因此,为了得到PDL较小的待测器件(如熔融拉锥耦合器)的精确特性描述,连接头和与待测器件相连的光纤的PDL必须非常小。通常,限制测量精度的因素往往不是仪器本身,而是连接头和与待测器件相连的光纤的残余PDL。
减小PDL测量误差的好习惯
在牢记 以上描述的PDL测量误差来源的同时,这里概括了PDL测量一些好的习惯。以 General Photonics公司PDL-101多功能测试仪为例,典型的测量装置如图5所示。
1. 用于PDL测量的光源必须是高稳定光源,光源的短期稳定性应与预期的PDL测量精度大体相当。如果要达到0.02dB 的PDL测量精度,光源短期功率稳定度必须高于0.02dB。
2. 建议在PDL-101的输入端加一个隔离器,用来减少从下游接头和待测器件反射回来的光进入光源。General Photonics公司的NoTail型隔离器没有尾纤,是首选产品。
3. 为了减少反射光进入光源,从而减少由此引起的光源不稳定性,在光源和PDL-101之间应该采用APC接头。因此,在第二步中描述的NoTail型隔离器应该采用APC连接。
4. 光源的偏振态要相对稳定。光源偏振态的快速波动将导致测量结果的波动。
5. 光源的波长要相对稳定,由于连接光源与测量仪器的光纤中存在双折射,因而光源波长的快速波动将导致偏振态的快速波动。
6. 应采用PDL较小的光纤跳线连接待测器件。
7. 为了减少由二次反射所造成的测量误差,应该使用APC接头将光输入到测量仪器和待测器件。PDL-101有APC穿板式接头(如图5、图6中的输入连接头和连接头A)。为了精确测量低PDL的待测器件(小于0.1dB),可以在接头B和C处使用折射率匹配膏,来减少背向反射和残余PDL。
8. 为了减少接头PDL的影响,应使用PC接头将待测器件的输出光引入测量仪器(如图5、图6中的接头D)。PC接头的输出光将直接射入测量仪器内部的自由空间光电探测器。如果在这里使用APC接头,就会产生0.03~0.04 dB的PDL误差。
9. 因为弯曲会在光纤中产生不能忽略的PDL,所以在接头A和接头D之间的光纤不应该有强烈的弯曲或很紧的缠绕。
10. 对生产平台上的无连接器的带尾纤器件的测量应使用图6所示测量装置。在这个光路中,尾纤带APC接头的一端与APC穿板式接头A连接,另外没有接头的自由端留做熔接。操作人员可以将自由端与待测器件输入端熔接起来,将待测器件的输出端用可拆除的裸纤适配器连接到穿板式接头D。可在APC接头A处使用折射率匹配膏来减少由此引起的PDL。
注释:图5 、图6中的接头A也会产生微小的背景PDL。因此,无连接器的带尾纤的器件的测量(尤其是低PDL器件),可以将此接头换做一段尾纤,从而能够将其与待测器件的输入端熔接(如图7)。


