- 易迪拓培训,专注于微波、射频、天线设计工程师的培养
多模光纤准直器ZEMAX设计建模
本文额部利用ZEMAX软件进行多模光纤准直器的设计。在ZEMAX开发环境下建立多模光纤准直器光路系统的理论模型,通过人工优化的方法,设计并制作了可调焦的多模光纤准直器,仿真结果与实际结果相一致,证实了利用ZEMAX进行多模光纤准直器设计的可行性和准确性。利用所建立的模型,分析了各种因素对光纤准直器耦合效率和准直度的影响。
ZEMAX是美国FocusSoftwareInc公司开发的光学设计和仿真分析软件,具有强大的激光束传输仿真功能,并提供了序列和非序列两种光线追迹模式。其中序列模式下可以使用物理光学传播来定义高斯光束;非序列模式下有多种光源模型,包括高斯光束、半导体高斯光束、椭圆高斯光束等。光纤准直器是一种光无源器件,其作用是将光纤中出射的发散光束准直成平行光束,或者将平行光束汇聚进入光纤中去,以提高光纤系统的耦合效率。光纤准直器通常主要由准直系统和光纤两部分组成。光纤准直器根据光纤的不同可以分为单模光纤准直器和多模光纤准直器。其中,多模光纤准直器由于其耦合效率高而被广泛应用在传能方面。
本文从实用的角度出发阐述ZEMAX在光无源器件2多模光纤准直器设计中的应用,通过建模来验证ZEMAX在多模光纤准直器设计中的可行性。
2建模
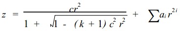
在ZEMAX软件中,混合式非序列常常被用来仿真不易建立于序列性模式下的光学组件。从序列模式出发,在混合式非序列下对光纤准直器进行仿真建模。在建模仿真之前,首先设计准直系统,采用偶次非球面单透镜作为准直系统。在ZEMAX中,偶次非球面可以表示为

式中c为顶点处的基本曲率,r为垂直光轴方向的径向坐标,k为二次曲面常数,ai为非球面系数。其中k<-1为双曲面,k=-1为抛物面,-1<k<0为椭圆,k=0为球面,k>1为扁圆。
在非球面透镜的应用中,平面(或凸面)2双曲面透镜可以将无限远目标聚焦成无像差的光斑。利用这个特性,可以运用平面(或凸面)2双曲面透镜对半导体激光器的快轴进行准直,如图1所示。

图1平面2双曲面准直器
1 2 3 4

