- 易迪拓培训,专注于微波、射频、天线设计工程师的培养
浅谈矩形波导宽边四元斜缝天线的设计
将之前得到的每个缝隙的激励幅度代入即可求得相应的归一化电阻值,在本设计中N取4。
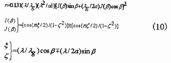
A.F.STevensON利用洛伦兹互易定理及波导中功率的平衡方程,得到了串联缝隙的归一化等效电阻表示式为:

其中β表示缝隙中心线与波导宽边中心线之间的夹角,α为宽壁的长度,b为窄壁的长度。将之前求得的rn代入并求解方程可得到对应的缝隙偏角。
1.3 影响天线性能的因素
应用以上所计算出来的结果来进行天线的设计,还必须考虑缝隙间的互耦问题;若不考虑互耦,将使天线口径面的幅度分布和相位分布变坏,同时也将恶化天线的输入端匹配。
串联缝隙与纵向缝隙相比,由于其角度偏转的原因,其交叉极化辐射要比纵向缝隙高,这会带来副瓣电平的升高和增益的降低,仿真结果也证实了这一点,而这是我们在设计中所不希望看到的,需要采取措施抑制交叉极化辐射。在本设计中,采用在每个缝隙上方加一个小波导口的办法,小波导的传播方向垂直于缝隙所在的平面。
2 建模与仿真
本文在设计波导缝隙天线的过程中,设计中的数值仿真都是在CST时域求解器的环境中完成的。
2.1 天线模型的建立
辐射波导选用的尺寸是22.86×10.16mm,缝一侧的波导壁厚1mm,缝宽为2mm,波导两端为理想短路面;截止波导16×8mm。建立模型,其框架图如图3所示:
其中黑色标记处为同轴线中心馈电点;辐射口上方的方形材料为天线罩;从左到右缝隙的编号依次为1~4。
2.2 仿真结果分析
仿真中将缝长l和倾角β设置成变量,l的初始值取λ/2,利用CST的参数扫描功能,对缝隙长度和倾角进行扫描。通过设置合理的步长,能够加快扫描进度,减少计算时间。由于本设计采用的是同轴线中心馈电,需要考虑阻抗匹配的问题,否则会在与波导的连接处产生反射,影响天线的性能。根据λ/4阻抗变换的原理,在仿真中通过改变同轴线内导体探针的长度来进行匹配,观察端口模式当同轴线输入阻抗为50 Ω时即认为达到了所需的效果,经过仿真得到同轴线内导体探针长度为8.5mm。并在此基础上仿真得到缝隙的参数如下:
1 2 3


