- 易迪拓培训,专注于微波、射频、天线设计工程师的培养
宽带数字通信接收技术研究
0 引言
宽带无线数字通信近年来已经成为了通信领域的研究热点,特别是超宽带(Ultra Wide Band)无线电通信技术的出现,使得超宽带通信的研究迅猛发展。美国联邦通信委员会(Federal Communication Committee:FCC)对UWB做了定义:信号的带宽大于500MHz,或者其相对带宽大于0.2都叫作UWB通信。根据FCC对UWB的定义,为了实现UWB无线电通信信号的接收,一般对于宽带数字接收系统的采样速率要求较高。根据带通采样定理,信号的带宽若为500MHz,则其采样速率至少需要达到1 GHz。直接采用高速ADC器件,目前的高速ADC是可以满足其采样要求的,同时其分辨率也可以达到8 b的水平。这也是软件无线电的设计思想,尽可能地简化模拟变频环节。鉴于此,本文重点对宽带无线数字通信接收技术展开研究,包括了信号采样理论、多通道信道化技术等。
1 宽带无线数字通信接收理论与技术
1.1 信号采样理论
数字接收即是利用模拟数字转换器对模拟信号进行采样,将模拟信号变换为数字信号后进行后续处理。其信号的采样理论包括了奈奎斯特第一采样定律和第二采样定律,即低通采样定理和带通采样定理。通常情况下,当载波频率较高,而信号带宽并不很高时,一般采用带通采样定理即可,即带通采样定理的适用性更广泛一些。其带通采样定理描述如下:
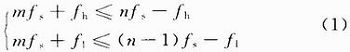
若信号频率分布在某一有限的频带(F1,Fh)内,且当fh>>B=fh-f1,也就是当信号的最高频率fb远远大于其信号带宽B时,可采用带通采样。采样后的信号频谱是以采样频率fs的整数倍搬移的。若为了保证采样后的频谱不发生混叠,需满足下面条件:

满足式(1)的采样频率可以保证所有的搬移都不会使采样信号产生混迭,即某个边带的上限一定是小于另一个边带的下限,反之亦然。由于采样后仍然为实信号,根据对称性,只考虑正频率部分的特性,此时n>m且n>0。可得:

式(2)即为带通采样定理。令是k=n-m-1,若使各边带满足临界状况,可得:

1.2 多通道信道化技术
在宽带无线数字通信系统中,一般信号都具有一定的载频和带宽,而且为了不出现频谱混叠,不同的通信信号均占有不同的频段。对于宽带无线数字通信接收系统而言,为了保证各类信号同时接收,就需要对带宽内的信号同时进行接收和处理,这就是多通道信道化接收技术。
在多通道信道化接收模型中,传统的实现方法是各自信道采用各自的数字本振与信号混频,以及低通滤波等处理。该实现方法原理简单,灵活性也较强。但是在信道较多时,该模型的实现需要极大的系统资源,实际应用中不便于采用。但根据其工作原理和模型,可以推导出一种具有等价结构的多通道信道化高效模型,该模型在保持原有性能的基础上,可以极大程度地减少系统资源消耗,特别是信道数量较大时,效果越发明显。该多通道信道化高效模型推导过程如下:
设K=FM,其中K为系统划分的信道数,M为每个信道的抽取倍数,均匀滤波器组的多相分量为El(z),原型滤波器ho[n]的多相结构为:


由抽取和内插原理可知,相当于在原来每个支路多相滤波器各值之间插一个0。同时将wk=2πk/K代入公式,并且IDFT采用IFFT形式,得到最终的宽带无线数字通信接收信道化高效结构如图1所示。

其中,为实数,其他信道输出为复数,并且(1≤l≤K/2-1)互为共轭形式,即所有信道输出有一半是独立的,所以只考虑前K/2个信道即可。
2 原型滤波器设计
宽带无线数字通信接收模型中信道化滤波性能的好坏主要取决于原型滤波器的设计。同时该宽带无线数字通信接收模型计算量的大小也和原型滤波器的设计有关。本文中宽带无线数字通信接收模型的原型滤波器的设计参数如表1所示。

原型滤波器幅频特性曲线如图2所示。

3 系统仿真及分析
系统仿真主要针对图1所示的信道化模型展开仿真。在完成其模型的基础上,在输入端随机地加入两个信号,判断信道输出与理论是否相符。选择两个输入信号为:信号1是线性调频信号,起始频率f1=190 MHz,终止频率f2=220 MHz;信号2是正弦信号,载波频率f=28 MHz。仿真结果如图3所示。

图中一共包括8个信道,根据8个信道的频谱分配,当输入不同频段的信号时,由于频率不同,信号将在不同的信道出现。信号1为线性调频信号,根据输入信号频率,从理论判断可知道此信号将在第2个信道输出;信号2为正弦信号,根据输入信号频率,从理论判断可知道此信号将在第5个信道输出。从图3所示的仿真结果可以看出,仿真结果和理论分析相符,表明宽带无线数字通信接收模型仿真结果正确。
4 结语
宽带无线数字通信接收系统作为UWB无线通信技术中的一部分,已成为该领域中的研究热点。本文对宽带无线数字通信接收系统中信道化技术进行了深入研究,在传统接收模型的基础上,推导并给出了一种用于宽带无线数字通信系统的多通道信道化高效模型。该模型和传统模型相比,在具有同样性能的前提下,极大地降低了该模型实现的计算量,特别是多通道数目较大时,计算量的降低程度更突出。该模型的采用,将为工程实现提供切实可行的方案,为工程应用奠定了理论基础。
作者:苟亚男 来源:现代电子技术
上一篇:100G部署提速亟需完备测试方案支持
下一篇:两大主流宽带接入技术的应用


