- 易迪拓培训,专注于微波、射频、天线设计工程师的培养
基于传感器网络的多目标跟踪和特征管理方法
近来传感器技术和无线通信技术的发展导致了一个新概念的诞生一传感器网络,即一个由本地传感器节点所组成的具有感知、处理和通信能力的一种广泛应用的网络。为了更深入地挖掘传感器网络所具有的能力,笔者提出了一种可扩展分布式的多目标跟踪和特征管理方法,该方法能够通过一个传感器网络对多个目标实现跟踪和特征管理。
传统的多目标跟踪方法,如MHT跟踪器,不适用于传感器网络。而现有基于传感器网络的算法仅基于如下情况:所跟踪目标的数量已知不变,并且它们的运动轨迹对于本地传感器已知。而在本文中,笔者放宽了以上假设,形成对于分布式多目标的跟踪和特征管理算法DMTIM。文中在实现数据关联和多目标跟踪运用了马尔科夫链蒙特卡罗数据关联MCMCDA的方法,实时对未知数量的多目标进行跟踪。MCMCDA方法能够独立地对轨迹进行起始和终止,并能够跟踪未知数量的多目标。每个传感器能够运用MCMCDA有效地跟踪一组未知数量的目标,并且能够对目标的特征进行分布式地管理。
本文结构如下:分布式多目标的跟踪与特征管理算法概述;多目标跟踪问题及其概率模型;DMTIM关键算法叙述:马尔科夫链蒙特卡罗数据关联算法;DMTIM组成部分介绍,包括数据关联、多目标跟踪、特征管理和信息融合;DMTIM算法仿真试验及评估。
1 分布式多目标跟踪和特征管理
文中研究重点是传感器网络中多目标的跟踪和特征管理方法。每个传感器拥有自己的观测区域,且拥有与其邻近传感器通信的能力。如图1所示一个简单的二传感器的系统,大圆圈代表传感器的观测区域。每个传感器能够对多目标进行跟踪并在观测区域内管理目标特征。该问题的难点在于观测区域内目标的数量会随时间而变化,因此我们必须寻求一种可扩展的,在相邻传感器中具有本地一致性的方法。

笔者提出的可扩展的分布式多目标跟踪与特征管理DMTIM算法能对未知数量且数量随时变化的机动目标进行跟踪,对其特征进行有效的管理。并能够在一个分布式的传感器网络中进行实现。对于每一个传感器,DMTIM中的多目标跟踪算法负责估算如下量:目标的数量,观测区域内所有目标的运动轨迹,以及在特征管理算法中将用到的混合矩阵和本地信息。然后,相邻的传感器通过相互通信对本地状态估算值和信任矩阵进行交换。同时,通过信息融合实现了本地一致性,进而实现全局一致性。
本文的剩余部分对DMTIM的算法模块进行了详细描述并且还对多目标跟踪问题,以及马尔科夫链蒙特卡洛数据关联进行了描述。
2 多目标跟踪
基于每个传感器视野范围内的目标数量会随时间不断变化,本章提出的DMTIM多目标跟踪适应于此类多目标数量不确定的情况。
2.1 问题模式
设T∈Z+为传感器观测持续的时间,K为该时间内观测范围R中所出现的目标数量。在某时间段内,每一个目标都在R范围内移动,K和的值未知。每个目标都是在某时间点随机出现在R范围内,直到在时间点时消失。对于每个时间点,目标保持其存在的概率为1-pz,消失的慨率为pz。对于每一个时间点,在R范围内所出现目标的数量都具有一个位置分布,该位置分布包含参数λbV,其中λb表示单位时间单位范围内的出现率,V表示观测范围R的大小。并特定每个新目标的初始位置都在R范围内。
设为目标k的离散时间运动,其中nx是状态变化的维度。并设为时刻t目标k的状态。目标t的运动服从公式(1):

其中属于白噪声过程,包含在了目标非直线运动模型。并运用一个探测概率pd来计算目标状态的噪声。目标不被发现并被视为跟踪丢失的慨率为1-pd。本文设定了错误报警,其数量也遵循含有参数λfV的位置分布,其中λf是单位观测范围单位时间内的错误报警率。设n(t)为时间点t观测点的数量,该数量包括了噪声观测和错误报警。设为时间点t的第j个观测值,其中ny是每一个观测向量的维度。每个被测物体都会在该采样时间产生一个特定的观测值,如公式(2)所示,其中为观测值模型。

其中是白噪声过程,u(t)足错误报警的随机过程。目标是观测目标类型或属性信息,状态变量可以扩展到包括目标类型的信息。因此多目标识别的问题即是从观测值中计算出,其中k=1,…,K。
2.2 多目标跟踪方法
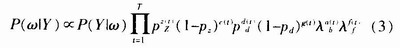
设为时间t的所有值,Y={y(t):1≤f≤T}为时间t=1到t=T的所有计算值。设Ω为所有Y的集合,且ω∈Ω,有如下参数:

分离的过程如图2所示,其中K为轨迹数量,|Tk|为Tk的基数,当没有轨迹互扰的情况下认为Tk为一个正确的轨迹。假设一条轨迹至少包含两个观测值,因为不能由一个单一的观察值确定一条轨迹。于是再假设e(t-1)为时刻t-1之后目标的数量,z(t)为时刻t消失的目标的数量,c(t)=e(t-1)-z(t)为时刻t-1到t未消失的数量。设a(t)为时刻t新出现的目标,d(t)为时刻t的实际目标,g(t)=c(t)+a(t)-d(t)为未识别的目标。最后,设f(t)=n(t)-d(t)为错误报警数量,有:

其中P(ω|Y)是Y的相似概率。

本文采用了最大后验MAP算法解决多目标跟踪问题。该算法对观测目标进行分割,并根据分割对目标状态进行估算。
3 马尔科夫链蒙特卡洛数据融合
本节提出一种解决第二节中多目标跟踪问题的算法,该算法是离散多目标跟踪与识别算法模块的核心。
3.1 马尔科夫链蒙特卡洛模型
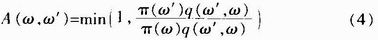
马尔科夫链蒙特卡洛模型是已知唯一能在多项式时间复杂问题下实现估值计算的方法,同时,还是一种从位于空间Ω的分布π中提取抽样值的普遍方法,该方法通过状态值ω∈Ω和稳定分布值π(ω)建立的马尔科夫链M来实现其算法。现在来描述该算法。在状态ω∈Ω,假设ω’∈Ω服从分布q(ω,ω’)。而运动的感知服从感知慨率A(ω,ω’),其中:

然而样本保持在ω。通过计算,平衡条件得以满足,例如,对于所有的ω:
其中,P(ω,ω’)=q(ω,ω’)A(ω,ω’)是从ω到ω’的跃迁概率。
如果M具约束性和非周期性,并且M由遍历定理收敛至均匀分布。因此,对于一个给定的有界函数f:Ω→Rm,样本均值
,其中ωn是M在时刻t的状态,当Eπf(ω)收敛于N→∞。可以注意到公式(4)只需计算出π(ω’)/π(ω)的比值,而无需对π进行标准化。
3.2 马尔科夫链蒙特卡洛数据关联
MCMCDA算法是马尔科夫链蒙特卡洛算法的特殊形式,其状态空间是上文在第2.2节中提到的,并且其平稳分布服从公式(3)。对于MCMCDA的分布有5类动作组成。它们包括:1)发现/消失运动;2)分割/合并运动:3)扩展/减少运动;4)跟踪刷新运动;5)跟踪切换运动。

MCMCDA的运动方式如图3中所示,每个运动的详细描述在此省略。MCMCDA的输入是一系列观测值Y,样本观测值的个数nmc,初始状态ωinit,以及有界函数X:Ω→Rm。对于该算法的每一步,ω是马尔科夫链的当前状态。其获取概率A(ω,ω’)如公式(4),输出接近MMSE的估计值EπX,且接近MAP的估计值arg maxP(ω|Y)。
4 分布式多目标跟踪与特征管理算法结构
现在对分布式多目标跟踪与特征管理算法进行详细描述。运用一种信念向量来表示目标的特征。对于多目标的情况下,我们需要运用信念矩阵B(t),其各列由信念向量Bij(t)所组成。因此,向量表示目标j能被t时刻的i所确定的概率。
4.1 多目标跟踪(数据关联)
DMTIM多目标跟踪(数据关联)模块的输出涉及到混合矩阵、状态估计值和本地信息三者的计算。
首先需要求得混合矩阵。假设在观测范围内有K个目标具有K个特征,因此特征管理意味着对多目标的特征进行匹配。对此,运用Identi ty-Mass-Flow的方法。混合矩阵是一个KxK矩阵,其元素Mij(t)表示目标i在t-1时刻变成目标j的概率。而MCMCDA能够在多项式时间下对混合矩阵进行有效地估算。
然后需要对状态估计值进行计算。如上所述,MCMCDA能够对未知数量的多目标进行跟踪,并且能够实现轨迹的发生与终止。在每一个采样时间段,其测量值与前一段的测量值相叠加,从而构造出测量值集合Y。MCMCDA能求出,其值接近多目标跟踪的MAP估计值,以及中所有轨迹的状态估计值。对于每一个轨迹τ∈ω,将它与之前发现的目标轨迹进行比较。如果τ与之前目标轨迹的测量值无任何相同之处,那么我们认定其为新目标。然后,当前传感器τ对于对相邻传感器进行询问,如果相邻传感器对τ已知,那么它的特征将被复制到当前传感器当中。否则,将对τ创建新的特征。最后,当轨迹结束时,对目标特征进行删除。在第4.2节,将对目标数量变化情况下信任矩阵如何实现刷新进行描述。
最后计算表示为信任向量的形式的本地信息。MCMCDA方法能够通过最新的,以及之前的测量值有效地计算出本地信息。当目标和轨迹的数量处于估计值的情况下,本地信息能够被同时计算出来。对于特征值k,定义Njk为时间点个数,第j个最新观测值与之前的观测值合并,观测值在之前的nbi个采样值中由k表征,其中nbi为之前的采样值数量。算法结束时对特征值k计算。然后根据最新的观测值来对向量进行调整,进而通过γk来形成本地信息。
4.2 特征管理
特征管理模块包括信任矩阵刷新和本地信息关联,而多目标跟踪(数据关联)的混合矩阵和本地信息被用来刷新信任矩阵。
信任矩阵刷新模块包含存储在KxK信任矩阵B(t)中的特征信息。信任矩阵的刷新如下:
B(t)=B(t-1)M(t) (6)
可以看出,公式(6)使信任矩阵行、列之和保持不变。然而目标数量的变化使该方法不适用于分布式特征管理。数量的变化有两种情形:目标离开和进人观测区域。目标离开,对传感器中混合矩阵的相应列进行删除;目标进入,又有两种情形:1)目标从相邻传感器区域进入,2)目标从未知区域进入。
而本地信息被运用来降低由香农信息所得的信任矩阵的不确定性。LxK信任矩阵的香农信息定义如下:

接下来的问题是将该信息关联到信任矩阵。信任矩阵具有如下性质:各列之和等于1;各行之后保持不变;各列之和的和与各列之和的和相等。如果将某列替换为本地信息,将无法保证以上性质。当且仅当本地信息能够降低信任矩阵的不确定性时才能与信任矩阵进行关联。
4.3 信息融合
DMTIM算法通过信息融合来计算本地传感器网络的全局信息,具体包括来自不同传感器的状态估计值和特征信任向量的融合。
特征信息(信任向量)的融合能够被表述为最优化的问题。3个不同的成本函数,香农信息(Shannon information),切尔洛夫信息(Chemo ff information),以及莱布勒距离(Kullbaek-Leibler distances)之和代表了不同的性能指标。本文场景中所有的传感器都参与协同工作,因此我们采用香农信息的方法。
假设本地传感器提供了两个信任向量,
。香农信息法用计算两个信任向量的凸函数的方法求得一个融合信任向量:

在这些情况下,计算出的融合信任向量是一个不确定的信任向量。
鉴于每个目标可能具有来自不同传感器的多重轨迹,运用轨迹数据融合方法来对多重的轨迹进行合并。设ωi为来自传感器i的轨迹,NBi为包括i并与i相邻的一系列传感器。设Y’={τk(t):τk∈ωj,1≤t≤T,1≤k≤ω|ωj|,j∈NBi}为所有确定目标的一系列观测结果。通过重叠观测区域,可以由Y’得到一系列合并观测结果Y。于是得到一系列新的轨迹ωinit。然后对一系列合并观测结果运行算法,以得出本地稳定的跟踪轨迹,其初始状态为ωinit。
5 仿真结果
在该节中,提供一个简单的场景来说明DMTIM算法的性能。环境中有两个固定传感器--空中交通管制雷达,在二维空间中对多架飞机进行跟踪。假定每个传感器观测范围的半径为10 km,并且当两传感器距离进入20 km的通信范围,它们之间可以实现相互通信。该场景中包含3架飞机,如图4所示。被标注为A和B的飞机首先被预注册,被标注为的飞机对于特征管理系统是未知的。左侧传感器被传感器1所标注,右侧传感器被传感器2所标注。每个传感器中的多目标跟踪模块对目标的数量进行估算,并且对每个已知目标的轨迹进行估算。在图5中,目标数量改变的事件被垂直的点线所标注。在时刻1,传感器1感知到目标1,并且其信任向量为是目标k能够被传感器i所感知并标定为j的概率;同时传感器2感知到它的目标1,并且其信任向量为。在时刻9,传感器1发现新目标(传感器1的目标2),并赋予新值X。同时,传感器2感知到新目标(传感器2的目标2),该目标的特征值和状态估计信息从传感器1转移过来。以此类推,在时刻30,传感器2的目标2离开了传感器2的观测范围,其信息随机从传感器2删除。

信息融合能够降低目标交叉运动所产生的不确定性。鉴于香农信息效率的优越性,在该试验中我们运用了该方法来实现信息的融合。图6所示为融合的信任向量,图7为实现状态估计融合后各传感器所估算的轨迹。

6 结论
笔者主要对传感器网络下多目标的跟踪和特征管理方法进行了研究。数据关联和多目标跟踪的问题能够由马尔科夫链蒙特卡洛数据关联算法有效地解决,该算法能够对数量未知且数量随时间变化的多目标进行跟踪。文中还讲述了一个可扩展的分布式多目标跟踪和身份管理(DMTIM)算法,该算法能够对多目标进行跟踪,并在分布式传感器网络环境下能够有效地管理目标的特征。DMTIM算法由数据关联,多目标跟踪,特征管理,以及信息融合四部分所组成。DMTIM能够对某目标特征的本地信息进行有效地整合,以降低系统的不确定性,并通过信息融合来保持相邻传感器的本地一致性。
作者:王鼎元 邸兴 党小宝 来源:现代电子技术
免责声明:本文仅代表作者个人观点,与C114中国通信网无关。其原创性以及文中陈述文字和内容未经本站证实,对本文以及其中全部或者部分内容、文字的真实性、完整性、及时性本站不作任何保证或承诺,请读者仅作参考,并请自行核实相关内容。
上一篇:无线异构网络驱动城域FMC演进
下一篇:用户体验:无线运营成败之胜负手


