- 易迪拓培训,专注于微波、射频、天线设计工程师的培养
白光LED照明光源用作室内无线通信研究
1 引言
可见光LED 具有高亮度、高可靠性、能量损耗低和寿命长等许多优良的特性,可用于全色显示、交通信号指示和照明光源等。与普通光源比较,可见光LED 还因其高速调制特性已被应用在中短距离光纤通信中,但其在无线通信领域应用还不多。
无线光通信技术与射频无线通信相比, 有无需频带申请、造价低等许多优点, 基于可见光LED 研制的手机信息无线收发系统已经实现了10kb/s 的数据传输。香港的Grantham Pang 等人则已试验成功利用可见光LED 为信号光源、覆盖距离为20m 的无线音频信号传输系统。近年来Yuichi Tanaka 等[4]人提出将白光LED 引入到室内无线通信技术中。白光LED 在提供室内照明的同时, 被用作通信光源有望实现室内无线高速数据接入。
2 系统分析
2.1 LED 的基本特性
LED 光源有发光强度和发光功率两个基本特性参数。白光LED 不仅提供室内照明, 并作为信号光源用以实现室内无线数据传输。考虑到红外光对人眼睛的伤害等因素,LED 白光用作室内无线通信的信号光源比红外光有着许多自身的优势(如表1 所示)。
表1 白光和红外光用作室内无线通信时的比较分析

2.2 通信链路
室内无线光通信的基本链路方式有很多种。本文描述的无线光通信系统中,白光LED 因提供室内照明须固定在天花板上,故以其为信号光源的室内无线通信链路有两种形式:直射式视距链接和漫射链接,如图1 所示。

(a) 直射式视距链接

(b) 漫射链接。
图1 可见光LED 用于室内通信时的光链路方式。
在直射式视距链路中,接收机直接指向白光LED光源。设计光链路为直射式视距链接的优点是,信号光源功率利用率高、容易实现高速数据链接。然而该链路要求光信号收发端始终对准,容易因链路上存在的障碍物而阻断。漫射链路设计中接收机视角一般较大,降低了对指向的要求,系统不易受阴影效应影响。
但链路中存在的多径效应会限制信号传输速率。表2 给出了两种光链路的一些通信性能比较。实际应用中可以综合两种链路的优缺点设计灵活的链路方式以提高系统性能。
表2 两种无线光通信链路比较

2.3 信道分析
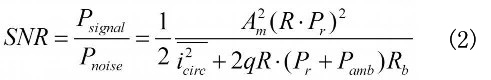
无线光通信系统多采用光强度调制(IM)和直接检测(DD)技术。图2 为一个简单的基于可见光LED、采用IM- DD 技术的室内无线通信信道模型。白光LED 瞬时发射光功率不可能为负值,所以LED 端输入电信号为非负, 其值可表示为X(t)=Pt(1+Amsinωt)。这里Pt 表示发射光平均功率,Am为正弦曲线幅度(Am ≤1 )。探测器接收到的光强度R(t)=Pr(1+Amsinωt)+Pamb,Pr 为探测器处入射信号光平均功率,Pamb 为入射到探测器上的背景光(包括自然光或室内其它光源等)功率。假设光探测器的灵敏度大小为R, 则其检测到的光电流值应为:


图2 采用IM- DD 技术的基带可见光无线通信信道
无线光通信光接收机端通常采用pin 光电探测器,此时接收机系统前端的主要噪声是前置放大电路等引入的电路噪声icirc 和电流引起的散弹噪声。通信系统在传输速率Rb 时的信噪比可由式(2)计算:

其中q 为电子电荷,
为电路噪声平均功率值。
当系统工作在强背景光下时,式(2)可简化为:

可见此时信道噪声N(t)可以看作与信号无关的白噪声。由于散弹噪声服从伯松分布[7], 通信系统在强背景光影响下的噪声可以看作若干服从高斯分布的独立的噪声变量的叠加。取其极限值并利用中心极限定理可把信道噪声视为与信号无关的高斯白噪声。因此这里把图2 所示的通信信道看作一基带线性系统,其表达式由式(4)给出。其中h(t)是信道脉冲响应,表示卷积。

2.4 系统设计
2.4.1 照明设计
由式(2)、(3)可知系统信噪比与探测器接收到的光功率的平方成正比。这就意味着对于采用IM- DD技术的室内无线通信系统,要增大通信覆盖范围,就必须增大LED 光源发射功率(这一点在基于红外的室内无线通信系统中是受到限制的), 同时应该合理设计通信链路,以尽量减小信号光传播过程中的能量损耗。同时为满足基本照明需求,在系统设计中应首先考虑室内光照度的分布。单个LED 发光强度和发光功率都比较小,利用其提供室内照明和通信时,LED 光源应设计为多个白光LED 组成的阵列。当接收机与LED 照明光源距离d 远大于光源自身尺寸参数l 时(d>5l), 探测器处的光照度可以用式(5)计算。这里IL(φ)为LED 光源沿接收机方向的发光强度,ψ是入射光相对于探测器表面法线的入射角。

如图3 所示,考虑在一尺寸为10m×10m×3m 的办公室房间放置4 盏白光LED 灯,每盏LED 灯由100×100 个白光LED(参数由表3 给出)组成。忽略LED 灯在垂直地面方向上的尺寸,计算可得室内地面各处光照度值在355.53~1939.01lx 之间分布。根据国际化标准, 普通办公室照明要求光照度为500lx, 而会议室和电脑工作室则要求光照度在300~500lx 之间。考虑直射式视距链路中光接收机位于室内地面处,并对准距离其最近的LED 灯,信号光垂直入射到探测器表面,在室内地面各处可接收到的光功率值分布在0.585~1.852mW之间。在漫射链路中,由于接收机视角设计得较大,探测处接收到的信号光功率值还会更大,已超过红外光用于无线通信的光功率值。由上述分析可知,图3 中的LED 光源可以同时用作办公室照明系统和通信系统的信号光源。可见合理设计LED 照明光源布局很容易满足室内全部区域的照明和通信要求,并能有效消除无线通信系统中阴影效应[8]的影响。

图3 室内模型LED 灯分布示意图
表3 仿真模型计算参数

2.4.2 接收机设计
⑴光滤波器无线光通信信道中的主要噪声源是背景光。虽然可以在探测器端使用光滤波器除去低频和高频光信号,但由于LED 白光处于可见光波段,光谱宽度在几十纳米左右,因此利用带通滤波器抑制背景光有一定的难度。在强背景光条件下合理选择滤波器带宽以达到对信号光最佳接收是系统设计中应权衡的问题。
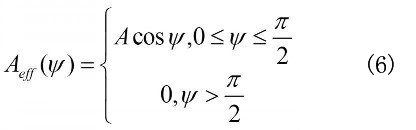
⑵光探测器光探测器处接收到的光强和其自身的有效接收面积成正比。在忽略反射损耗的情况下光探测器的有效信号接收面积如式(6)所示,其中A 为探测器的实际物理面积。

可见减小探测器表面信号光的入射角和增加探测器物理面积将有益于增加探测器的有效接收面积。
但增加探测器物理面积价格昂贵,同时会减小接收机带宽、增大接收机噪声。
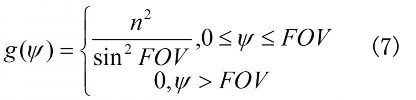
⑶光集中器接收机端可使用光集中器以提高探测器有效接收面积。理想的非成像光集中器的光增益系数为:

式(7) 中FOV 是探测器接收视角(如图1 所示), n为光集中器折射率。考虑到光滤波器增益Tf(ψ)和光集中器增益g(ψ),探测器的有效接收面积可表示为:

由式(8) 可知,在直射式视距链路中,通过增加光集中器折射率或减小接收机视角可以增加探测器的有效接收面积,从而提高信道增益。对于直射式视距链路,减小接收机视角可以有效减少背景光对链路的干扰。对于漫射链路, 可以通过增加探测器面积和提高光集中器增益来提高信道增益。由漫射链路的设计特点可知,在漫射链路中应该通过增加光集中器折射率, 而不是减小接收机视角来增加集中器增益。另外,很多情况下合理设计LED 光源的光功率朗伯分布也可优化直流信道增益。
3 结束语
与普通照明光源相比,白光LED 耗能低、工作温度低、寿命长、体积小,被公认为能取代现在普遍使用的荧光灯的下一代照明光源。我们对基于白光LED 照明光源的室内无线通信系统做了基本理论分析和讨论。LED 白光不仅提供室内照明,并作为信号光源有望实现室内无线数据传输。通过对LED 发光特性、室内通信链路和信道模型的理论分析, 指出了光链路中系统参数对通信性能的影响和设计光收发机端时应考虑的因素。集照明和数据传输双重功能于一身的白光LED 无线通信系统有望进入未来室内数据接入领域。目前,笔者所在实验室正在进行此方面的实验研究工作。
作者:胡国永 陈长缨 陈振强 来源:《光通信技术》
我推荐大家读
轻松参与
VS
表达立场
这是垃圾文章
上一篇:一种改进型UML在嵌入式系统中的应用
下一篇:基于单片机的MP3播放器设计


