- 易迪拓培训,专注于微波、射频、天线设计工程师的培养
IIR数字滤波器的Matlab和FPGA实现
摘要:提出一种通过两个二阶节级联构成四阶IIR数字椭圆滤波器的设计方法,并利用Matlab仿真软件设计了通带内波纹不大于0.1dB,阻带衰减不小于42dB的IIR数字滤波器。论述了一种采用可编程逻辑器件,通过VHDL硬件描述语言实现该滤波器的方法。给出了在QuartusⅡ软件下的仿真结果,并在FPGA器件上验证实现。实验证明,这种方法是切实可行的。
0 引言
数字滤波器具有比模拟滤波器精度高、稳定、体积小、重量轻、灵活、不要求阻抗匹配,以及能够实现模拟滤波器无法实现的特殊滤波功能等特点,因此数字滤波器被广泛应用于图像处理和识别、语音处理和识别、通信、雷达、人工智能、核技术等多个领域。
数字滤波器的实现方法很多,采用FPGA器件实现具有速度快、效率高、成本低、开发周期短等优点,而且还可以直接使用Altera公司提供的FIR/IIR IP core或采用LPM的设计方法进行设计,使数字滤波器设计变得简单、可靠。本系统通过一个实例说明如何通过Matlab设计并在FPGA器件上实现IIR椭圆函数滤波器。
1 IIR数字滤波器的Matlab设计
1.1 IIR数字滤波器设计要求
本系统的设计指标如下:模拟信号采样频率为2MHz,每周期最少采样20点,即模拟信号的通带边缘频率为fp=100kHz,阻带边缘频率fs=200kHz,通带波动Rp≤0.1dB(通带误差不大于5%),阻带衰减As≥42dB。换算为数字域指标为:Wp=0.1π,Ws=0.2π,Rp=0.1dB,As=42dB。
1.2 IIR数字滤波器设计方案
(1)根据设计要求确定滤波器数字域指标
换算为数字域指标为:Wp=0.1π,Ws=0.2π,Rp=0.1dB,As=42dB。
(2)采用Matlab软件设计滤波器系统函数
IIR滤波器系统函数是采用计算机辅助工程CAE工具进行设计的。系统函数H(z)的计算采用Matlab软件设计比较方便,其中有两个现成的函数可以使用:ellipord(Wp/pi,Ws/pi,Rp,As)函数用来计算数字椭圆滤波器的阶次N和3dB截止频率Wn;ellip(N,Rp,As,Wn)函数可以求得直接型椭圆IIR滤波器的各个系数。
根据要求,设计采用Matlab软件实现IIR滤波器的源程序如下:

利用Matlab软件可以得到如下结果:

这是一个四阶IIR系统,通过Matlab计算出该系统的频率响应如图1所示,可见能满足设计要求。

(3)确定滤波器网络结构
本设计如果采用直接型结构实现,则需用的乘法器和延迟单元相对较多,而且分子和分母的系数相差较大,需要较多的二进制位数才能实现相应的精度要求。
为了克服上述缺点,采用二阶级联实现。IIR滤波器采用级联型的网络结构既可以对各基本节的零点、极点方便地单独进行调整,又可以降低对二进制数位数的要求。
这里采用Matlab中的"二阶部分传递函数"tf2sos()完成IIR滤波器直接型网络结构到级联型网络结构的转换。
将IIR滤波器由直接型变为级联型的Matlab语言源程序如下:

可以看出,每个二阶节的分子、分母系数差异减少了。值得注意的是,在分配二阶节的增益时,要保证每个节不会发生运算溢出,可以先用Matlab软件分析计算来合理安排各节的增益。经过计算,本文采用第一级分配0.1626,第二级分配0.0658,可以保证在要求的输入范围,没有数据溢出发生。
(4)滤波器参数量化
差分方程的量化后各系数如表1所示,这里采用10位定点纯小数补码表示。

2 IIR数字滤波器的FPGA实现
2.1 总体设计方案
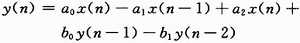
根据上述参数计算可知,需要设计的IIR滤波器为2个二阶节的系统级联形式,其二阶节系统函数的差分方程均为:

可以看出,一个二阶节的实现,需要五次乘法运算、四次加法运算(采用二进制补码将减法运算变为加法运算),两个二阶节共需要10次乘法运算,所有乘法运算均为无符号数的乘法运算,所以使用时需要先将两个补码乘数转换为无符号数相乘后,再将乘积转换为补码乘积输出,送入累加器求和。根据以上设计思想可知,一个二阶节系统均由控制模块、移位模块、求补模块、乘法模块和累加器模块等模块组成,其系统电路框图如图2所示。

由于IIR滤波器的两个节系统电路结构完全相同,只是系数不同,故另一个二阶节的设计与此类似。
2.2 主要功能模块的设计
控制模块主要用来产生对其他模块的时序控制。
累加模块的功能是将10位×1位乘法器的5个输出数据在10个时钟周期内累加后,并将结果输出。
移位模块主要完成数据交换功能,将输入数据送入输入寄存器x(n)中,同时将x(n)寄存器上一时刻的数据送入x(n-1)寄存器,同时又将x(n-1)寄存器上一时刻的数据送入x(n-2)寄存器。同理有y(n)→y(n-1)→y(n-2)。
求补模块主要根据每路乘法器2个输入数据的补码,判断输入数据的正负,设置该路乘积结果正负标志位,并对输入的负数进行求补运算,保证乘积是在2个无符号数之间进行,再根据该路乘积结果正负标志位,对乘积结果进行求补运算,保证送入累加器的数据为补码。
将设计好的各模块按照二阶节系统电路框图衔接,即可完成IIR滤波器其中一个二阶节系统的设计。只要修改差分方程的系数就可完成另一个二阶节系统的设计。
2.3 仿真结果
各功能模块设计、调测完成之后,按照总体设计方案完成IIR滤波器的实现,并下载到Altera公司的EP1C6Q240C8器件上验证,QuartusⅡ中的仿真结果如图3所示。

图3中:xn为输入信号,采用单极性方波周期信号;频率为100kHz,在采样频率为2MHz时,每个周期采样20个点,换算成数字域频率为0.1π;二次谐波的数字频率为0.2π;yn为滤波输出。观察仿真波形可知,所设计的IIR滤波器符合设计要求。为了更直观地观察IIR滤波器滤波后的输出结果,可将仿真波形文件转换为*.tbl文件,在Matlab中描绘波形。
3 结语
数字滤波器的应用十分广泛,实现方法很多,运用Matlab语言,能很容易地设计出具有严格指标要求的数字滤波器。采用FPGA器件实现数字滤波器的方法,大大缩短了设计周期,降低了成本,提高了设计的可靠性、灵活性,为数字滤波器的设计与实现提供了一种有效的方法。
作者:张高记 罗朝霞 西安邮电学院 来源:现代电子技术


