- 易迪拓培训,专注于微波、射频、天线设计工程师的培养
高精度3阶delta-sigma调制器的设计

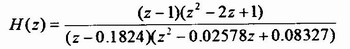
由图可以看出,输入信号在比较器前与前馈信号直接相加,实现了STF为1,因此数字滤波器可以不需要考虑基带补偿;al-a3前馈方式实现NTF的极点,降低了积分器输出的幅度;第三级积分器输出通过g反馈给第二级积分器,即局部反馈(LFB),这在NTF中引入了共轭零点,挺高了基带SNR。根据高阶稳定的调制器函数的设计方法,设计一个过采样率为128和3位量化器的3阶调制器,图2中的系数值(a1、a2、a3、a4、bl、b2、b3、b4、cl、c2、c3、g1),由Richard Schreier提供的Matlab Delta-sigma调制器设计工具包可以得出,具体值在表1中给出,表中的数值用于设计NTF和STF的Matlab模型。在实际的数字电路实现时,为了减少芯片面积和设计难度避免使用乘法器,所以这些系数均取2n的近似值,这样可以用移位相加来代替乘法。利用Richard Schreier提供的Matlab Delta-sigma调制器设计工具包得到带外增益为6.1,DSM的NTF为


2.3 Verilog语言行为级建模
图2所示的是一种单路差异积分器调制器,可用延迟积分器和非延迟积分器,以及各种前馈和反馈路径组合而成。在Matlab结构中对应的积分器转换成Verilog硬件描述框图的过程如图3所示

本文使用Verilog硬件语言来实现单回路差异积分调制器,由时钟控制构成延迟积分器与非延迟积分器的相加动作。assign指令使等式两边永远处于活动状态,而alwavs指令将会在时钟正好触发时将sum的值存入寄存器delay_sum中,因此,所有的积分器将会在每一次时钟完成时完成一次累加动作。同理,非延迟积分器是由相同的程序代码组成。实现延迟积分器的程序部分代码如下表示:

3 模型的仿真结果
图3给出的是NTF的极点与零点图。很明显,NTF的零点均匀地分布在信号基带中,而不是集中在直流频率处。图4给出了输入幅度范围与SNR。图5给出了NTF和STF的幅频响应。可以看到,带内信号的衰减几乎是0,而图6显示噪声的衰减小于-110dB,满足带内噪声的要求。图7给出了调制器的频域特性图。图8给出的是在输入为42000,时钟频率为8.4MHz的verilog硬件描述语言的仿真结果,可以看出经过2μs后结果趋于稳定。
作者:冯二媛 徐太龙 孟 坚 洪 琪 盛启东 来源:电子技术
上一篇:大唐移动开创无线新体验
下一篇:交换机的级连与堆叠


