- 易迪拓培训,专注于微波、射频、天线设计工程师的培养
基于DSP的PSK信号调制设计与实现
2DPSK是利用前后相邻码元的相对载波相位值来表示数字信息的一种方式。2DPSK信号相位的变化规律是: 信息代码(绝对码) 为"1" 时,本码元内2DPSK信号的初相相对于前*元内2DPSK信号的末相变化1800; 信息代码为"0"时, 本码元内2DPSK信号的初相相对于前*元内2DPSK信号的末相不变化。2DPSK的实现方法是首先对二进制数字基带信号进行差分编码, 将绝对码表示的二进制信息变换为用相对码表示的信息, 然后再进行绝对调相, 从而产生二进制差分相位键控信号。2DPSK信号调制过程中的波形图如图3所示。其中绝对码与相对码的转换模式如图4所示:

图3 2DPSK信号调制过程波形图

图4 绝对码与相对码的互相转换结构图
在2DPSK的解调过程中, 相干载波产生的相位模糊会使解调出的相对码产生倒置现象。但经过码反变换器后, 由于输出的绝对码不会发生任何倒置现象, 因而就不会出现"倒π" 现象。图5所示是2PSK和4DPSK的信号波形比较图。

图5 2PSK和2DPSK信号的波形图
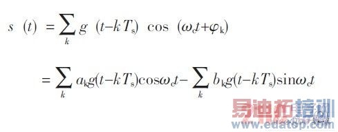
2 QPSK信号的调制实现
四相制相位调制是多项制数字相位调制的一种, 在多项制中, 使用最广泛的是四相制和八相制。本文主要介绍QPSK信号的调制实现。多进制相位调制的一般表示式为:

在多进制相位调制中, 四进制数字相位调制(QPSK) 信号是最常用的调制方式, 设计时可取可能的四种相位之一, 例如: 0, π/2, π, 3π/2。QPSK信号的产生可分为调相法和相位键控法。
用调相法产生QPSK信号的原理图如图6所示。

图6 QPSK信号的调制原理图
来源:维库
上一篇:流量监控:支撑EVDO网络精细化运营
下一篇:遥测帧数、时间和特征参数的截取方法


