- 易迪拓培训,专注于微波、射频、天线设计工程师的培养
正交相干检波方法及FPGA的实现
1.2 Bessel插值法基本原理
设A/D变换输入的窄带中频信号为:
![]()
式中,A(t)为幅度,f0为中频频率,φ(t)为初相,τ为回波脉冲宽度。
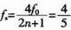
假设式(5)中n=2,则采样频率
。事实上,若对窄带中频信号采样,则第N个采样点离散形式为:
![]()
式中,
为采样间隔。
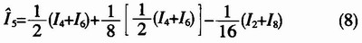
另外,由贝塞尔内插公式知,其8点中值公式为:
![]()
式中,I2、I4、I6、I8为已知点,
为,I2、I4、I6、I8的中值点。
在实际应用中,考虑到FPGA的特性,可将

(8)式改写成以下形式:
这样,对于下列时间序列:Q1、I2、Q3、I4、Q5、I6、Q7、I8,按式(9)即可求出
,而Q5即为两组正交信号。由此就可得到内插运算的原理框图如图1所示。

2 基于FPGA的实现方案
首先将输入FPGA的一路12位数字信号中的每一位都与时钟信号进行异或运算,以使I’(n)=x(2n)(-1)n和Q’(n)=x(2n+1)(-1)n+1,从而达到符号修正的目的。经过修正,输出的数字信号序列是一个由I的偶数项和Q的奇数项交替出现所组成的序列,即:I0,Q1,I2,Q3,I4,Q5,…,I2n,Q2n+1…。为实现Bessel插值,还需要得到某时刻Q2n+1值所对应的I的偶数项(I2n-2,I2n,I2n+2和I2n+4)。鉴于移位寄存器有延时功能,可使用12片移位寄存器74164取出I的偶数项序列,同时分离的还有相应的Q2n+1一路信号。接着,I的偶数项序列经过加法器电路进行有符号加、减法运算。由于Bessel插值中的分母均为2的整数幂,因而用右移来实现2的整数幂除法非常方便。其实现框图如图2所示。
作者:苏 飞 邓师平 张成立 来源:国外电子元器件
上一篇:号码携带业务的实现与运用
下一篇:卫星导航与卫星移动通信结合发展与应用构想


