- 易迪拓培训,专注于微波、射频、天线设计工程师的培养
VDSL2串音消除的关键技术
录入:edatop.com 点击:
一、 VDSL2技术简介及其串音问题
继第一代VDSL之后,ITU-T于2006年2月份通过了VDSL2的标准,标准号为G.993.2;同时在2006年11月份会议上完成了G.993.2 Amendment 1 & Corrigendum 1,标准已相对成熟。VDSL2通过扩展频谱至30MHz,能实现双向对称的100Mbps的高速数据传送,可为高速上网、互联网游戏以及视频等业务提供充足的带宽;同时它还实行灵活的Profile配置方案,可针对不同业务对丢包、时延的要求提供相应服务,从而更好的满足将来用户对高带宽、新业务的需求,因此具有良好的应用前景。
但是和其他DSL技术相比,VDSL2由于使用很宽的频段,受到的线路噪声干扰也更为严重;而且高频信号本身的衰减很大,对线路噪声非常敏感,因此噪声已经成为制约VDSL2系统传输性能和稳定性的主要因素。
VDSL2线路噪声主要包括串音干扰、脉冲噪声、射频噪声等,本文主要论述串音干扰的影响及其相应的解决方案。
二、 串音的特性和影响
串音简单的说就是由于DSL所使用的双绞线各线对之间是非屏蔽的,线对间的电磁干扰会导致一对双绞线上的信号对另外一对双绞线上的信号产生影响。通常认为串音存在于同一电缆束中的各线对之间, 且一条双绞线会受到来自多条线对的干扰。
串音按其特性通常分为“近端串音(NEXT)”和“远端串音(FEXT)”,如下图1所示。NEXT是干扰线对的发射机与被干扰线对的接收机位于同一端,此时干扰信号沿着干扰线对出发,耦合到被干扰线对,然后传回到被干扰线对的接收机;FEXT是干扰线对的发射机远离被干扰线对的接收机,此时干扰信号沿着干扰线对传播,耦合到被干扰线对,然后产生的串音信号沿着被干扰线对传送到其接收机。

目前已有较为成熟的解析方式或数值方式来表征DSL串音,如北美标准ANSI Committee T1 Standard T1.417 [1]中给出了NEXT和FEXT的计算方法,如下所示:
式(1)
式(2)其中,
/
表示统计得到的NEXT/FEXT的近端/远端串音耦合系数,ANSI Committee T1 Standard T1.417中规定
为干扰信号在串音耦合点处的信号功率谱密度PSD;
是线路传递函数;l是线路长度;n是干扰源的数目。可以看出,随着频率f的增大,NEXT与FEXT均增大(其中NEXT与频率
成正比),同时FEXT还与线路长度l成反比;也就是说,频率越高,NEXT/FEXT越大;线路越短,FEXT越大。由于VDSL2系统采用FDM方式,因此大部分NEXT与接收端的被干扰信号在频段上是分开的,其影响可通过滤波器消除或大大降低;但是FEXT与接收端的被干扰信号一般无法在频段上分开,不能用滤波器消除,同时VDSL2传输距离较短(一般不大于1.5km),导致线路上的FEXT较其他DSL技术更为严重,因此FEXT是VDSL2系统中主要的串音来源,会导致信噪比下降而降低线路传输速率或增大误码率,甚至产生重训练从而影响系统的稳定性。
三、 针对串音问题的解决方案
为了避免串音干扰导致的性能严重下降,ITU-T提出了多种解决或降低串音影响的技术方案,主要包括虚拟噪声(Virtual Noise)方案[2]和频谱管理方案。
3.1、 虚拟噪声(Virtual Noise)方案
由式(1)、(2)可知,串音干扰的大小是随着串音干扰源的数目而变化的。实际应用中如果训练时某些干扰源不存在,此时尽管可以得到较高的速率,但是当这些干扰源用户上线时,整个串音就有可能大大上升,甚至超过Margin的容限范围从而产生大量误码,严重时甚至导致重训练。若预先设置很大的Margin,虽然可以保证数据传送的稳定性,但事实上串音是一个与频率有关的非平坦的函数,如果对所有Tone都设置相同的平坦的Margin,就会造成由于有些Tone的Margin过大带来的不必要的性能损失。
采用Virtual Noise方案可以避免这种情况。Virtual Noise方案是对以往的串音干扰进行统计得到一个预设的虚拟噪声模板,收发器根据此模板训练,得到满足要求的Margin、速率等参数;也就是根据预期的虚拟的串音干扰,为不同的Tone设置相应大小的Margin,只有那些预期会出现很大串音干扰的Tone才留有很大的Margin。对于每个Tone,只要设置合适的虚拟噪声(当然,在每个Tone上,虚拟噪声都是按照预期的有可能的最大串音情况来设计的)就可以保证数据传送的稳定性。
但是虚拟噪声方案存在的一个问题是,虚拟噪声在每个Tone上都是按照预期的可能的最大串音情况来设计的,当串音不存在时,这种虚拟噪声依然作为每个Tone的Margin的设计依据,从而造成性能损失。因此虽然效果优于设置平坦的Margin的方法,但从某种意义上说,虚拟噪声方案仍是一种通过牺牲性能来减小串音干扰的影响,从而获得低误码率和稳定性的。
3.2、 频谱管理方案
频谱管理方案的主要思想是根据以往的线路环境和串音干扰情况,在初始化阶段或Showtime时间内调整信号发送功率谱密度(PSD),以消除、规避或减小串音干扰的影响,主要分为静态频谱管理方案和动态频谱管理DSM方案。
3.2.1、 静态频谱管理方案
静态频谱管理方案是通过在初始化阶段来选择合适的功率谱密度PSD和相应的参数配置,以避免线路上的串音干扰。一旦训练过程中确定了发送信号的功率谱密度,则在整个Showtime时间内都不允许更改,直至下次重训练。静态频谱管理方案可通过如下示例加以说明[1]。

如上图2给出了一种常见的VDSL2部署方案,并针对Central Office和RT之间的发送信号频谱,提出了三种不同的静态频谱管理方案。其中方案a是将RT发送信号平坦的削减一定的幅度以降低串音的影响,即相当于ADSL2+中的Power Cutback和Maximum PSD,会大幅度降低线路速率。方案b中,由于CO与其对应的Modem之间距离较长,而长线上的高频部分不可利用,因此将RT的频带放在较高频段,而CO占据低频段,这样由于相互之间频谱不重叠,串音干扰可以通过滤波器消除。方案b可通过频谱整形(PSD shaping)技术,设置开始和终止频率来实现,但是会降低频谱利用率。方案c的情况相对复杂,可看作是方案a和方案b的合成,其原则是使得RT发送信号与CO发送信号的频谱重叠部分在RT处基本相当,这相当于RT在CO距离Modem等同长度的位置,发送与CO大小相当的信号。方案c避免了RT由于距离Modem较近而可能带来的过大的FEXT,因此可以保证RT对CO的串音的影响不至于超过CO的发送信号,这个方案实际上就是G.997.1中的DPBO(Downstream power backoff)。文献[3]给出了方案c的实现方法。
3.2.2、 动态频谱管理方案
由于静态频谱管理不能很好的适应线路情况的变化,且人工设置效率太低,为了更好的解决上述问题,ANSI提出了动态频谱管理方案DSM [4]。动态频谱方案旨在采用动态频谱平衡的方法来提升线路速率、距离和稳定性,或在满足性能和稳定性要求(速率、Margin和误码率)的情况下以最小的功率发送信号,通过一系列的方法集中优化管理各种参数配置和信号发送PSD,甚至协调整个电缆束中信号的发送和接收,使得整个电缆束中的线路传输性能最优化。
图3给出了DSM的参考模型,其中SMC是运营商的频谱管理中心,它可能位于网管或DSLAM上,DSM-D是SMC向DSL Modem收集信息的接口,DSM-C则是SMC下发控制信息的接口,DSM-S是SMC与运营商网络的接口。

根据ANSI的建议,DSM共分为四个层次
Level 0:DSL Modem没有提供SMC所需要的信息,此时SMC根据标准建议和一些给定方案实施频谱管理,也就是静态频谱管理;
Level 1:DSM能够通过DSM-D收集线路速率、发送功率以及Margin等信息并通过DSM-C协调线路速率,Margin(最大、最小和目标)、PSD的平坦增益调整以及发送总功率等参数,但这些都是简单的功率控制等频谱管理方法;
Level 2:除了Level 1的参数外,SMC还能得到更为详细的参数,包括双端测试的数据等,此外还能更为准确的控制端口的发送频谱。由于Level 2能够获得更多的信息,而且控制手段更加丰富,能够更精确的控制频谱,因此可以在整个电缆的层次上优化各线对的PSD及相关参数,使得性能最优。Level 2的应用还在研究中,不涉及底层软件和硬件的修改。
Level 3: Level 3又称为串音消除技术(Crosstalk Cancellation),即通过一系列方法,使线路上不出现串音干扰。此时,SMC与DSL-LT在同一位置,SMC能够得到并同时控制DSL-LT中部分或全部的上行和下行发送信息,同时协调LT中的部分或全部端口的发送信号,实现联合发送与联合接收。
前面提到的方法本质上都是在线路上存在串音干扰时,避免或减小串音干扰的影响,但不能完全消除串音的影响,且均会带来线路速率的下降,而DSM Level 3则主张通过主动消除串音的技术,使线路上不出现串音干扰,从而使得整个线路的性能达到无串音时的性能。
四、 串音消除技术(DSM Level 3)
4.1、 串音消除技术原理
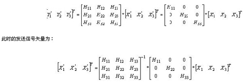
串音消除技术是通过对处于同一个电缆束中的多个线对上的信号进行集中管理以获得相邻线对上的发送信号以及线对间的串音传递函数;在此基础上,每条线对上除发送自身信号外,还发送包含相邻线对信息的信号,以在接收端抵消相邻线对的串音干扰,从而解调出本线对上的信号。此时,每条线对上发送的信号都是一个矢量信号,除了本身的信号分量以外,还包括与其他线对上的信号相关的信号分量,因此叫做Vectored DSL。如果收发两端都采用vector的方案,就构成了所谓的多入多出(MIMO)系统。

如果在发送信号中,加入适当的串音分量,使得在接收端串音分量刚好能够抵消,这样接收端就只剩下信号

同样地,还可以对各个同步接收用户端发来的信号做联合处理,消除CO近端串音的影响。
以上是串音消除技术的原理,其实现主要分为三个步骤:信道估计、串音消除、以及信道跟踪与更新,其中信道跟踪与更新是通过重复前两个步骤,来适应不断变化的线路情况
4.2、 信道估计算法
信道估计是指在串音消除过程中,如何获取线对间的串音传递函数矩阵,目前已有很多相关的研究报告和论文。信道估计算法可分为频域信道估计和时域信道估计,目前大多数都是针对频域信道估计的,这又主要集中在两个方面,一是通过RLCG一次参数线路模型推导,另一种方法就是通过多用户检测算法来推算。
4.2.1、 频域信道估计算法及其优缺点
以下行信道估计为例,频域信道估计算法中最简单的就是CPE端向CO端周期性发送前导符(Pilot symbol)从而获得CO与CPE之间的下行信道信息,但是该方法会导致占用大量带宽。另外一种方法是在CPE端的FEQ中的slicer消息中提取“Slice Errors”来完成信道估计并将该信息有限制的发回CO端[5]。这两种方法都要求CO端和CPE端之间能进行很紧密的协调,而这种协调非常复杂,有时甚至要求CO端发射机和CPE端接收机根据协商好的协调方式来设计。
文献[6]中提出一种称之为“Abuse”的信道估计算法,其信道估计的工作主要是由CPE完成的,这是通过CO端发射机对CPE端接收机的“Abuse(骚扰)”实现的。该算法定义了一个信道估计预编码矩阵EPM(Estimation precoding matrices),在信道估计期间,信息符号被预编码估计矩阵EPM调制,从而产生微小的失真。因此,CO端发送信号中除了包含自身信息外,还包含对其他线对上的信号乘上一个很小的因子之后的“abuse”信息。在CPE端将该信号与接收到的其他线对的串音干扰进行比较,即可获得线对间的串音传递函数。从CPE角度来看,它只是对CO端发射机和对应的CPE端接收机之间的传递函数进行估计,而不需要与CO端之间进行协调,因此其系统复杂性远远小于其他算法,但是这种方法需要“abuse”原来的发送信号,这个信号实际上是一种干扰,因此有可能会导致原来的端口出现误码。此外,文献[7]中还定义了一种递归算法来实现信道估计,该算法将CPE端得到的归一化错误通过回传信道发送回CO端来学习和跟踪串音传递函数矩阵。由于该方法不需要求解逆矩阵,因此对于降低运算量非常有效。
4.2.2、 时域算法及其优缺点
上述算法的共同特点就是都是在频域来处理信号和消除噪声的,考虑到OFDM的特性,在频域处理的方法利用了OFDM各tone之间的这种正交性。但是如果正交性被破坏,那么这种处理方案会因为非正交而产生误差,这种误差有时候还很大。不正交有两种情况,一种是因为时延,CPE发送的信号和CO的信号之间不同步,还有一种是不同端口之间的不同步,包括时钟不同步以及帧不同步。
为解决上述问题,VDSL2定义了一些手段来保证同步,一种是时间优先(TA, Timing Advance),一种是同步模式(synchronous mode)。前者通过在CPE的发送信号上引入一个与传输时延相同的提前量,使得发送信号和接收信号同步。后者是所有工作在同步模式的CO端收发器采用同一个时钟源,并且使用同样的循环前缀和循环后缀以及窗口的长度,这样CO发送的信号的tone之间是正交的,再加上TA,CPE端也能达到同步状态。不过帧同步依旧不能保证,因而仍然存在不正交的问题。
还有一种可能的方案是在时域识别串音干扰并进行串音消除处理,同样也可以分为预补偿和联合接收。由于避免了时域到频域的转换需要的去循环前缀和和后缀的处理,因此时域处理不需要各端口之间同步,直接对每一个采样点进行处理,时域串音消除无论是理论还是实现方案目前还很少有论文涉及,因此是一个很新的领域。
4.3、 串音消除算法
4.3.1、 下行预编码算法
信道估计得到线对间串音传递函数矩阵后即可开始串音消除,实现方法之一就是下行预编码。在下行方向,由于CPE设备不属于同一个用户,因此相互之间不能互相共享信息,而且也为了降低CPE的成本,在下行方向,一般采用预编码(也叫预补偿)的方式,也就是说在CO端先将每一个其他端口的信号经过一个滤波器后加到原来发送的信号中,这个滤波器的设计使得加进去的信号在接收端正好和串音信号相互抵消,达到消除下行串音干扰的目的。如下图4所示时通过下行预编码来实现串音消除的原理图。

如下图5所示是通过下行预编码支持FEXT Cancellation的系统参考模型[8],其中FEXT Cancellation预编码放在星座映射图和IFFT模块之间。

对于用户线的管理组,假设CO端已经通过信道估计获得了串音传递函数矩阵,则FEXT预编码矩阵可应用于补偿组中各个线路上的主要干扰源。在参考模型中, 的矩阵模块代表了组中要通过预编码来补偿的主要干扰源的数目。在知道每个干扰信道发送符号的情况下,预编码可以预补偿实际的发送符号,这样远端接收机输出中,串音就得到了消除(至少是极大的减少了)。
在该架构中,假定信道估计是在CO端完成和维持的,而信道估计算法和下行预编码算法则可由设备厂家自己定义,通常定义为四个工作状态:
i) 训练状态;
ii) 局部预编码设计状态;
iii) 跟踪状态;
iv) 增加和删除用户状态;
当要建立一个串音消除组时,组内的端口首先要进行训练,获得串音传递函数矩阵,在得到之后就可以进行串音消除的预补偿或者联合接收了。
完成信道估计后,CO端即可以确定并启用一个简化的FEXT预编码器,以针对每个接收机中最强的干扰源进行FEXT消除,我们将这第二个状态称之为“局部预编码设计状态”。
由于信道会随时间变化,因此训练阶段得到的预编码矢量需要跟踪这种变化并进行修正,这就是所谓的跟踪状态,由于信道是缓变的,因此跟踪阶段可以不用太频繁以降低运算量和回传信号带来的开销。
当有新用户激活时,就会在新用户和现存用户之间引入新的串音耦合,因此串音传递函数矩阵需要进行更新,这同样适用于有用户下线时的情况,串音消除算法应能适应这种用户的加入或者退出,该状态就是“增加和删除用户状态”,其要求更新简化的预编码器,并触发相关联的跟踪过程。
为了学习、跟踪和管理串音传递函数矩阵,要求局端设备CO和用户端设备CPE之间进行消息互通,这通常是由一个低速的回传信道完成。
该算法的一个突出优点就是将现存的普通SISO升级为FEXT Cancellation系统时,可以只单独升级CO端设备,而不需替换CPE设备,因此可大大节约现有资源,具有很好的可实现性。
4.3.2、 上行联合接收
在上行方向,接收器之间能够互相共享接受到的信息,因此可在得到串音传递函数矩阵的情况下,采用联合接收的方法处理串音干扰。由于不涉及到定义标准接口和协议,因此上行串音消除一般都是采用私有技术来实现的。如下图6[9]给出了上行联合接收的参考模型。在单信道OFDM解调后的信号经过多信道联合解调后得到消除串扰后的信号再输出到解码器。

4.4、 串音消除技术的评估标准
鉴于目前串音消除技术是VDSL2中一个研究热点,文献[10]提出了串音消除技术的评估标准,在综合考虑了电缆束中的线对数、对原信号的干扰大小、要求的设备内存和每秒操作数等参数后、提出了一些评价指标,主要包括信道估计时间、信道估计误差以及实现的复杂性等,可作为串音消除技术研究、开发与实现过程中的评价依据。
五、 总结
串音是影响VDSL2系统性能和稳定性的主要因素之一,目前业界提出了多种针对串音问题的解决方案,其思路分为两种:
第一种是通过对整个电缆束中线对上的信号进行联合发送和接收来主动消除串音,使得线路上不存在串音的影响,对应的方案有动态频谱管理DSM中的Level 3-串音消除技术。这种方法能使整个电缆性能得到最优化,是未来的发展方向。但由于各线对之间的协调同步涉及到大量的矩阵运算,算法复杂性比较高,且对CPE的底层软件和硬件有很多新的要求,因此目前实现方面还不成熟。
第二种是在线路上存在串音的情况下,通过对发送信号进行频谱调整来规避或减小串音干扰,对应的方案有动态频谱管理DSM中的Level 1 & Level 2以及静态频谱管理方案。其中,对发送信号的频谱调整基本分为两种方式:对发送信号PSD进行平坦削减的“Power Cutback/Maximum PSD”方法可减小串音,而对发送信号进行频谱隔离的“PSD Shaping”方法,由于能防止信号间的频谱重叠,因此可实现串音的规避。此外,虚拟噪声(Virtual Noise)方案的提出是为了应对静态频谱管理无法适应线路环境变化而造成系统稳定性下降的情况。这几种算法本质上都是通过牺牲线路性能来规避或减小串音,无法达到线路上无串音时的性能,但均不涉及CPE底层软件和硬件的修改,在现有设备上也已有部分甚至全部实现。
综上所述,在目前的多种针对串音问题的解决方案,各有优缺点。在实际研究、开发和应用中,要考虑线路和噪声环境、性能、系统复杂性等综合因素的影响,选择适合的算法,以满足VDSL2设备各方面的性能要求。
参考文献:
[1] Spectrum Management for Loop Transmission Systems, Committee T1 Standard T1.417-2003.
[2] ITU-T Recommendation G.993.2, Very high-speed Digital Subscriber Line (VDSL2) Transceivers, 2006.
[3] ITU-T Recommendation G.997.1, Physical layer management for digital subscriber line (DSL) transceivers, 2003.
[4] NIPP-NAI-2006-028R1 Dynamic Spectral Management NIPP-NAI Savannah Georgia, June 26 -29, 2006.
[5] J. Louveaux and A.J. van der Veen, "Downstream VDSL channel tracking using limited feedback for crosstalk precompensated schemes," in IEEE International Conference on Acoustics, Speech and Signal Processing (ICASSP), pp. III-337-340, 2005.
[6] Actelis, G.vdsl: Channel Estimation by "Abuse" of Receivers, SG15/Q4 ZC-035R1, April 2006.
[7] Conexant, ASSIA, “Proposed Requirements on Back Channel for Estimating MIMO Channel in VDSL2”, ITU-T SG15/Q4 Contribution CD-041, Denver, U.S.A., September 2006.
[8] Conexant, “Proposed Framework for Enabling Downstream FEXT Cancellation in VDSL2,” COM15-C153-E, October 28-November 11, 2006 Geneva.
[9] ASSIA, “Overview of technologies for vectored DSL”, ITU-T SG15/Q4 Contribution GB-058R1, Ghent 2006-06.
[10] Alcatel, “Evaluation criteria for MIMO FEXT Cancellation proposals”, ITU-T SG15/Q4 Contribution CD-040, Denver, U.S.A., September 2006.
作者:汪坤 来源:泰尔网
上一篇:宽带接入网设备发展探讨
下一篇:DVB-T解调器的数据传输设计


