- 易迪拓培训,专注于微波、射频、天线设计工程师的培养
电力线数传通信设备的设计
录入:edatop.com 点击:
引 言
随着社会的进步和技术的发展,多媒体业务不断增长,人们对网络带宽的要求也随之增长。通信网正向着IP化、宽带化方向发展。通信网由传输网、交换网和接入网三部分组成。目前,我国传输网已经基本实现数字化和光纤化;交换网也实现了程控化和数字化;而接入网仍然是通过双绞线与局端相连,只能达到56 kb/s的传输速率,不能满足人们对多媒体信息的迫切需求。对接入网进行大规模改造,以升级到FTTC(光纤到路边)甚至FTTH(光纤到户),需要高昂的成本,短期内难以实现。XDSL技术实现了电话线上数据的高速传输,但是大多数家庭电话线路不多,限制了可连接上网的电脑数,而且在各房间铺设传输电缆极为不便。最为经济有效而且方便的基础设备就是电源线,把电源线作为传输介质,在家庭内部不必进行新的线路施工,成本低。电力线作为通信信道,几乎不需要维护或维护量极小,而且可以灵活地实现即插即用。此外,由于不必交电话费,月租费便宜。
电力线高速数据传输使电力线做为通信媒介已成为可能。铺设有电力线的地方,通过电力线路传输各种互联网的数据,就可以实现数据通信,连成局域网或接入互联网。通过电源线路传输各种互联网数据,可以大大推进互联网的普及。此项技术还可以使家用电脑及电器结合为可以互相沟通的网络,形成新型的智能化家电网,用户在任何地方通过Internet实现家用电器的监控和管理;可以直接实现电力抄表及电网自动化中遥信、遥测、遥控、遥调的各项功能,而不必另外铺设通信信道。因此,研究电力
线通信是十分必要的。
1 OFDM基本原理
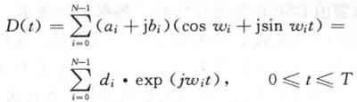
正交频分复用OFDM(Orthogonal Frequency Division Multiplexing)是一种正交多载波调制MCM方式。在传统的数字通信系统中,符号序列调制在一个载波上进行串行传输,每个符号的频率可以占有信道的全部可用带宽。OFDM是一种并行数据传输系统,采用频率上等间隔的N个子载波构成。它们分别调制一路独立的数据信息,调制之后N个子载波的信号相加同时发送。因此,每个符号的频谱只占用信道全部带宽的一部分。在OFDM系统中,通过选择载波间隔,使这些子载波在整个符号周期上保持频谱的正交特性,各子载波上的信号在频谱上互相重叠,而接收端利用载波之间的正交特性,可以无失真地恢复发送信息,从而提高系统的频谱利用率。图1给出了正交频分复用OFDM的基本原理。考虑一个周期内传送的符号序列(do,d1,…,dn-1)每个符号di是经过基带调制后复信号di=ai+jbi,串行符号序列的间隔为△t=l/fs,其中fs是系统的符号传输速率。串并转换之后,它们分别调制N个子载波(fo,f1,…,fn-1),这N个子载波频分复用整个信道带宽,相邻子载波之间的频率间隔为1/T,符号周期T从△t增加到N△t。合成的传输信号D(t)可以用其低通复包络D(t)表示。


其中ωi=-2π·△f·i,△f=1/T=1/N△t。在符号周期[O,T]内,传输的信号为D(t)=Re{D(t)exp(j2πfot)},0≤t≤T。
若以符号传输速率fs为采样速率对D(t)进行采样,在一个周期之内,共有N个采样值。令t=m△t,采样序列D(m)可以用符号序列(do,d1,…,dn-1)的离散付氏逆变换表示。即

因此,OFDM系统的调制和解调过程等效于离散付氏逆变换和离散付氏变换处理。其核心技术是离散付氏变换,若采用数字信号处理(DSP)技术和FFT快速算法,无需束状滤波器组,实现比较简单。
2 电力线数传设备硬件构成
电力线数据传输设备的硬件框图如图2所示。

2. 1 数字信号处理单元TMS320VC5402
用数字信号处理的手段实现MODEM需要极高的运算能力和极高的运算速度,在高速DSP出现之前,数字信号处理只能采用普通的微处理器。由于速度的限制,所实现的MODEM最高速度一般在2400b/s。自20世纪70年代末,Intel公司推出第一代DSP芯片Intel 2920以来,近20年来涌现出一大批高速DSP芯片,从而使话带高速DSP MCODEM的实现成为可能。
TMS320系列性价比高,国内现有开发手段齐全,自TI公司20世纪80年代初第一代产品TMS32010问世以来,正以每2年更新一代的速度,相继推出TMS32020、TMS320C25、TMS320C30、TMS320C40以及第五代产品TMS320C54X。
根据OFDM调制解调器实现所需要的信号处理能力,本文选择以TMS320VC5402作为数据泵完成FFT等各种算法,充分利用其软件、硬件资源,实现具有高性价比的OFDM高速电力线数传设备。
TMS320C54X是TI公司针对通信应用推出的中高档16位定点DSP系列器件。该系列器件功能强大、灵活,较之前几代DSP,具有以下突出优点:
◇速度更快(40~100 MIPS);
◇指令集更为丰富;
◇更多的寻址方式选择;
◇2个40位的累加器;
◇硬件堆栈指针;
◇支持块重复和环型缓冲区管理。
2. 2高频信号处理单元
主要实现对高频信号的放大、高频开关和线路滤波等功能,并最终经小型加工结合设备送往配电线路。信号的放大包括发送方向的可控增益放大(前向功率控制),接收方向AGC的低噪声放大部分。其中高频开关完成收发高频信号的转换,实现双工通信。同时使收发共用一个线路滤波器,这样可以节省系统成本。
2.3 RS一232接口单元
用户数据接口采用RS一232标准串行口。串口的数据中断采用边沿触发中断,串口中断程序完成用户数据的发送与接收。将接收到的用户数据暂存到CPU的发送缓冲区中,等到满一个突发包时就发送到DSP进行处理。
3 参数设计
3.1保护时间的选择
根据OFDM信号设计准则,首先选择适当的保护时间,△=20μs,这能够充分满足在电力系统环境下,OFDM信号消除多径时延扩展的目的。
3.2符号周期的选择
T>200 μs,相应子信道间隔,f<5kHz,这样在25kHz带宽内至少要划分出5个子信道。另外子信道数不能太多,增加子信道数虽然可以提高频谱传输效率,但是DSP器件的复杂度也将增加,成本上升,同时还将受到信道时间选择性衰落的严重影响。因此,考虑在25kHz的带宽内采用7个子信道。
3. 3子信道数的计算
子信道间隔:
各子信道的符号周期:T=250μs
考虑保护时间:△=20μs,则有Ts=T+△=270μs
各子信道实际的符号率:
总的比特率:3.71kbps×25子信道×2b/symbol=185.5kb/s
系统的频谱效率:β=185.5kbps/100kHz=1.855bps/Hz<2bps/Hz
可以看出,这时系统已经具有较高的频谱效率。25路话音信号总的速率与经串并变换和4PSK映射后的各子信道上有用信息的符号率相比,每个子信道还可以插入冗余信息用于同步、载波参数、帧保护和用户信息等。需要指出的是:
①由于OFDM信号时频正交性的限制条件,在此设计中尽管采用了25个子载波并行传输也只能传25路语音。如果要传8路语音,经串并转换和16QAM映射后,各个子信道上有用信息的符号率为1.855bps/Hz,最多还可以插入的冗余信息为O.145bps/Hz,在实际传输中这是很难保证的传输质量的,因此该设计相对于M-16QAM采用4个子载波传输6路话音并不矛盾。
②在此设计中,为冗余信息预留了较多的位,其冗余信息与有用信息的比值为0.59,大于iDEN系统的0.44。这是考虑到OFDM信号对于载波相位偏差和定时偏差都较为敏感,这样就可以插入较多的参考信号以快速实现载波相位的锁定、跟踪及位同步;另一方面对引导符号间隔的选择也较为灵活,在设计中选择引导符号间隔L=10。
③OFDM信号调制解调的核心是DFT/IDFT算法。目前,普遍采用DSP芯片完成DFT/IDFT,因此有必要对设计所需的DSP性能进行估计。根据设计要求,至少要能在250μs内完成32个复数点的FFT运算。我们知道,N个复数点的FFT共需要2Nlog2 N次实数乘法和3Nl0g2 N次实数加法。假设实数乘法和实数加法都是单周期指令,以32个复数点为例,这样共需要800个指令周期,即20μs,因此采用TMS320VC5402能够满足设计要求(TMS320VC5402的单指令周期为10ns)。
综上所述,OFDM数传设备参数如表l所列。

4 软件构成
上面确定了OFDM数传设备的主要参数及算法,下面说明用TMS320VC5402实现的软件设计及流程,如图3所示。

4. 1 调制部分的软件设计
此程序作为子程序被调用之前,要发送的数据已经被装入数据存储器,并将数据区的首地址及长度作为入口参数传递给子程序。程序执行时,首先清发送存储器,然后配置AD9708的采样速率,之后允许串行口发送中断产生,使中断服务程序自动依次读取发送存储器中的内容,送入AD9708变换成模拟信号。之后程序从数据存储器读取一帧数据,经编码,并行放入IFFT工作区的相应位置,插入导频符号并将不用的点补零。随后进行IFFT,IFFT算法采用常用的时域抽点算法DIT,蝶形运算所需的WN可查N=512字的定点三角函数表得到。由于TMS320VC5402的数值计算为16位字长定点运算方式,所以IFFT采用成组定点法,既提高了运算精度又保证了运算速度。然后对IFFT变换后的结果扩展加窗,并将本帧信号的前扩展部分同上帧信号的后扩展部分相加,加窗所需窗函数可查表得到。窗函数存放在窗函数表中,是事先利用C语言浮点运算并将结果转换为定点数存放在表中的。
经实测,从读取串行数据到加窗工作完成最多占用75个抽样周期(75×125μs)的时间,而发送一帧信号需512+32=544个抽样周期(544×125μs)。这说明C5402的运算速度足够满足需要。
当上一帧信号发送完毕,程序立即将以处理好的本帧信号送入发送存储器继续发送,并通过入口参数判断数据是否发送完毕。
4. 2 解调部分的软件设计
用TMS320VC5402实现的流程分同步捕捉及解调两个阶段。同步捕捉阶段执行时,首先清接收存储器,配置AD9057的采样速率,然后开串行口接收中断,使接收中断服务程序接收来自AD9057的采样数据并依次自动存入接收存储器。
每得到一个新的样点,程序先用DFT的递推算法解调出25路导频符号,并对导频均衡。之后分别同参考导频符号矢量600h+j600h进行点积,这里用导频符号矢量的实部与虚部的和代替点积,即可反映相关函数的规律,以简化运算。求得25路导频与参考导频的相关值后暂时保存,并分别与前一个样点所保存的各导频相关值比较(相减),用一个字节保存比较结果的正负号(每路导频占1bit)。在处理前一个样点的过程中,也用一个字节保存它同其前一样点的导频相关值比较的正负号。对这两个字节进行简单的逻辑运算,即可判断出各导频是否在前一个样点处出现峰值。倘若25路导频中有20个以上的导频同时出现峰值,则认为该样点以前的N=512个样点即为捕捉到的一帧信号,程序进入解调阶段;否则等待接收新的采样点继续进行同步捕捉。
解调阶段首先对捕捉到的帧信号进行实信号的FFT变换,仍然采用成组定点法,之后进行均衡。然后利用导频算出本地抽样时钟的延迟τ,在计算中应尽量避免出现除法,可将常数分母取倒数后提前算出,作为乘法的系数。为了保证其后二维AGC的精度,计算中τ精确到O.1μs。接下来根据τ调整抽样时钟,程序将调整量通知串行口发送中断服务程序后,继续执行二维AGC,而由中断服务程序在每次中断响应时间发布命令,每次可以调整下一采样时刻提前(或落后)1μs。
二维AGC分两步进行。首先根据τ对均衡后的调制矢量进行相位校正,这里需要利用FFT变换所使用的512字的三角函数表,用一个指针指向三角函数表的表头,根据τ及三角函数表角度间隔算出多少路子信道才需要将指针下移一格,通过这种查表的方法可以简洁地确定各子信道的校正量。经相位校正后,即可利用导频进行幅度校正。
接下来经判决,并/串变换及解码即可解调出本帧数据。然后对均衡器的权值采用LMS算法进行调节。程序通过对这部分信号进行简单的幅值门限分析,很容易判断出是否收到了信号。若有则继续接收;否则结束返回。
结语
本文介绍了OFDM技术的基本原理,叙述了基于OFDM技术的电力线数传通信设备的软硬件设计,给出了此设计的具体参数。
作者:华北电力大学 邢志民 侯思祖 来源:单片机及嵌入式系统应用
随着社会的进步和技术的发展,多媒体业务不断增长,人们对网络带宽的要求也随之增长。通信网正向着IP化、宽带化方向发展。通信网由传输网、交换网和接入网三部分组成。目前,我国传输网已经基本实现数字化和光纤化;交换网也实现了程控化和数字化;而接入网仍然是通过双绞线与局端相连,只能达到56 kb/s的传输速率,不能满足人们对多媒体信息的迫切需求。对接入网进行大规模改造,以升级到FTTC(光纤到路边)甚至FTTH(光纤到户),需要高昂的成本,短期内难以实现。XDSL技术实现了电话线上数据的高速传输,但是大多数家庭电话线路不多,限制了可连接上网的电脑数,而且在各房间铺设传输电缆极为不便。最为经济有效而且方便的基础设备就是电源线,把电源线作为传输介质,在家庭内部不必进行新的线路施工,成本低。电力线作为通信信道,几乎不需要维护或维护量极小,而且可以灵活地实现即插即用。此外,由于不必交电话费,月租费便宜。
电力线高速数据传输使电力线做为通信媒介已成为可能。铺设有电力线的地方,通过电力线路传输各种互联网的数据,就可以实现数据通信,连成局域网或接入互联网。通过电源线路传输各种互联网数据,可以大大推进互联网的普及。此项技术还可以使家用电脑及电器结合为可以互相沟通的网络,形成新型的智能化家电网,用户在任何地方通过Internet实现家用电器的监控和管理;可以直接实现电力抄表及电网自动化中遥信、遥测、遥控、遥调的各项功能,而不必另外铺设通信信道。因此,研究电力
线通信是十分必要的。
1 OFDM基本原理
正交频分复用OFDM(Orthogonal Frequency Division Multiplexing)是一种正交多载波调制MCM方式。在传统的数字通信系统中,符号序列调制在一个载波上进行串行传输,每个符号的频率可以占有信道的全部可用带宽。OFDM是一种并行数据传输系统,采用频率上等间隔的N个子载波构成。它们分别调制一路独立的数据信息,调制之后N个子载波的信号相加同时发送。因此,每个符号的频谱只占用信道全部带宽的一部分。在OFDM系统中,通过选择载波间隔,使这些子载波在整个符号周期上保持频谱的正交特性,各子载波上的信号在频谱上互相重叠,而接收端利用载波之间的正交特性,可以无失真地恢复发送信息,从而提高系统的频谱利用率。图1给出了正交频分复用OFDM的基本原理。考虑一个周期内传送的符号序列(do,d1,…,dn-1)每个符号di是经过基带调制后复信号di=ai+jbi,串行符号序列的间隔为△t=l/fs,其中fs是系统的符号传输速率。串并转换之后,它们分别调制N个子载波(fo,f1,…,fn-1),这N个子载波频分复用整个信道带宽,相邻子载波之间的频率间隔为1/T,符号周期T从△t增加到N△t。合成的传输信号D(t)可以用其低通复包络D(t)表示。


其中ωi=-2π·△f·i,△f=1/T=1/N△t。在符号周期[O,T]内,传输的信号为D(t)=Re{D(t)exp(j2πfot)},0≤t≤T。
若以符号传输速率fs为采样速率对D(t)进行采样,在一个周期之内,共有N个采样值。令t=m△t,采样序列D(m)可以用符号序列(do,d1,…,dn-1)的离散付氏逆变换表示。即

因此,OFDM系统的调制和解调过程等效于离散付氏逆变换和离散付氏变换处理。其核心技术是离散付氏变换,若采用数字信号处理(DSP)技术和FFT快速算法,无需束状滤波器组,实现比较简单。
2 电力线数传设备硬件构成
电力线数据传输设备的硬件框图如图2所示。

2. 1 数字信号处理单元TMS320VC5402
用数字信号处理的手段实现MODEM需要极高的运算能力和极高的运算速度,在高速DSP出现之前,数字信号处理只能采用普通的微处理器。由于速度的限制,所实现的MODEM最高速度一般在2400b/s。自20世纪70年代末,Intel公司推出第一代DSP芯片Intel 2920以来,近20年来涌现出一大批高速DSP芯片,从而使话带高速DSP MCODEM的实现成为可能。
TMS320系列性价比高,国内现有开发手段齐全,自TI公司20世纪80年代初第一代产品TMS32010问世以来,正以每2年更新一代的速度,相继推出TMS32020、TMS320C25、TMS320C30、TMS320C40以及第五代产品TMS320C54X。
根据OFDM调制解调器实现所需要的信号处理能力,本文选择以TMS320VC5402作为数据泵完成FFT等各种算法,充分利用其软件、硬件资源,实现具有高性价比的OFDM高速电力线数传设备。
TMS320C54X是TI公司针对通信应用推出的中高档16位定点DSP系列器件。该系列器件功能强大、灵活,较之前几代DSP,具有以下突出优点:
◇速度更快(40~100 MIPS);
◇指令集更为丰富;
◇更多的寻址方式选择;
◇2个40位的累加器;
◇硬件堆栈指针;
◇支持块重复和环型缓冲区管理。
2. 2高频信号处理单元
主要实现对高频信号的放大、高频开关和线路滤波等功能,并最终经小型加工结合设备送往配电线路。信号的放大包括发送方向的可控增益放大(前向功率控制),接收方向AGC的低噪声放大部分。其中高频开关完成收发高频信号的转换,实现双工通信。同时使收发共用一个线路滤波器,这样可以节省系统成本。
2.3 RS一232接口单元
用户数据接口采用RS一232标准串行口。串口的数据中断采用边沿触发中断,串口中断程序完成用户数据的发送与接收。将接收到的用户数据暂存到CPU的发送缓冲区中,等到满一个突发包时就发送到DSP进行处理。
3 参数设计
3.1保护时间的选择
根据OFDM信号设计准则,首先选择适当的保护时间,△=20μs,这能够充分满足在电力系统环境下,OFDM信号消除多径时延扩展的目的。
3.2符号周期的选择
T>200 μs,相应子信道间隔,f<5kHz,这样在25kHz带宽内至少要划分出5个子信道。另外子信道数不能太多,增加子信道数虽然可以提高频谱传输效率,但是DSP器件的复杂度也将增加,成本上升,同时还将受到信道时间选择性衰落的严重影响。因此,考虑在25kHz的带宽内采用7个子信道。
3. 3子信道数的计算
子信道间隔:

各子信道的符号周期:T=250μs
考虑保护时间:△=20μs,则有Ts=T+△=270μs
各子信道实际的符号率:

总的比特率:3.71kbps×25子信道×2b/symbol=185.5kb/s
系统的频谱效率:β=185.5kbps/100kHz=1.855bps/Hz<2bps/Hz
可以看出,这时系统已经具有较高的频谱效率。25路话音信号总的速率与经串并变换和4PSK映射后的各子信道上有用信息的符号率相比,每个子信道还可以插入冗余信息用于同步、载波参数、帧保护和用户信息等。需要指出的是:
①由于OFDM信号时频正交性的限制条件,在此设计中尽管采用了25个子载波并行传输也只能传25路语音。如果要传8路语音,经串并转换和16QAM映射后,各个子信道上有用信息的符号率为1.855bps/Hz,最多还可以插入的冗余信息为O.145bps/Hz,在实际传输中这是很难保证的传输质量的,因此该设计相对于M-16QAM采用4个子载波传输6路话音并不矛盾。
②在此设计中,为冗余信息预留了较多的位,其冗余信息与有用信息的比值为0.59,大于iDEN系统的0.44。这是考虑到OFDM信号对于载波相位偏差和定时偏差都较为敏感,这样就可以插入较多的参考信号以快速实现载波相位的锁定、跟踪及位同步;另一方面对引导符号间隔的选择也较为灵活,在设计中选择引导符号间隔L=10。
③OFDM信号调制解调的核心是DFT/IDFT算法。目前,普遍采用DSP芯片完成DFT/IDFT,因此有必要对设计所需的DSP性能进行估计。根据设计要求,至少要能在250μs内完成32个复数点的FFT运算。我们知道,N个复数点的FFT共需要2Nlog2 N次实数乘法和3Nl0g2 N次实数加法。假设实数乘法和实数加法都是单周期指令,以32个复数点为例,这样共需要800个指令周期,即20μs,因此采用TMS320VC5402能够满足设计要求(TMS320VC5402的单指令周期为10ns)。
综上所述,OFDM数传设备参数如表l所列。

4 软件构成
上面确定了OFDM数传设备的主要参数及算法,下面说明用TMS320VC5402实现的软件设计及流程,如图3所示。

4. 1 调制部分的软件设计
此程序作为子程序被调用之前,要发送的数据已经被装入数据存储器,并将数据区的首地址及长度作为入口参数传递给子程序。程序执行时,首先清发送存储器,然后配置AD9708的采样速率,之后允许串行口发送中断产生,使中断服务程序自动依次读取发送存储器中的内容,送入AD9708变换成模拟信号。之后程序从数据存储器读取一帧数据,经编码,并行放入IFFT工作区的相应位置,插入导频符号并将不用的点补零。随后进行IFFT,IFFT算法采用常用的时域抽点算法DIT,蝶形运算所需的WN可查N=512字的定点三角函数表得到。由于TMS320VC5402的数值计算为16位字长定点运算方式,所以IFFT采用成组定点法,既提高了运算精度又保证了运算速度。然后对IFFT变换后的结果扩展加窗,并将本帧信号的前扩展部分同上帧信号的后扩展部分相加,加窗所需窗函数可查表得到。窗函数存放在窗函数表中,是事先利用C语言浮点运算并将结果转换为定点数存放在表中的。
经实测,从读取串行数据到加窗工作完成最多占用75个抽样周期(75×125μs)的时间,而发送一帧信号需512+32=544个抽样周期(544×125μs)。这说明C5402的运算速度足够满足需要。
当上一帧信号发送完毕,程序立即将以处理好的本帧信号送入发送存储器继续发送,并通过入口参数判断数据是否发送完毕。
4. 2 解调部分的软件设计
用TMS320VC5402实现的流程分同步捕捉及解调两个阶段。同步捕捉阶段执行时,首先清接收存储器,配置AD9057的采样速率,然后开串行口接收中断,使接收中断服务程序接收来自AD9057的采样数据并依次自动存入接收存储器。
每得到一个新的样点,程序先用DFT的递推算法解调出25路导频符号,并对导频均衡。之后分别同参考导频符号矢量600h+j600h进行点积,这里用导频符号矢量的实部与虚部的和代替点积,即可反映相关函数的规律,以简化运算。求得25路导频与参考导频的相关值后暂时保存,并分别与前一个样点所保存的各导频相关值比较(相减),用一个字节保存比较结果的正负号(每路导频占1bit)。在处理前一个样点的过程中,也用一个字节保存它同其前一样点的导频相关值比较的正负号。对这两个字节进行简单的逻辑运算,即可判断出各导频是否在前一个样点处出现峰值。倘若25路导频中有20个以上的导频同时出现峰值,则认为该样点以前的N=512个样点即为捕捉到的一帧信号,程序进入解调阶段;否则等待接收新的采样点继续进行同步捕捉。
解调阶段首先对捕捉到的帧信号进行实信号的FFT变换,仍然采用成组定点法,之后进行均衡。然后利用导频算出本地抽样时钟的延迟τ,在计算中应尽量避免出现除法,可将常数分母取倒数后提前算出,作为乘法的系数。为了保证其后二维AGC的精度,计算中τ精确到O.1μs。接下来根据τ调整抽样时钟,程序将调整量通知串行口发送中断服务程序后,继续执行二维AGC,而由中断服务程序在每次中断响应时间发布命令,每次可以调整下一采样时刻提前(或落后)1μs。
二维AGC分两步进行。首先根据τ对均衡后的调制矢量进行相位校正,这里需要利用FFT变换所使用的512字的三角函数表,用一个指针指向三角函数表的表头,根据τ及三角函数表角度间隔算出多少路子信道才需要将指针下移一格,通过这种查表的方法可以简洁地确定各子信道的校正量。经相位校正后,即可利用导频进行幅度校正。
接下来经判决,并/串变换及解码即可解调出本帧数据。然后对均衡器的权值采用LMS算法进行调节。程序通过对这部分信号进行简单的幅值门限分析,很容易判断出是否收到了信号。若有则继续接收;否则结束返回。
结语
本文介绍了OFDM技术的基本原理,叙述了基于OFDM技术的电力线数传通信设备的软硬件设计,给出了此设计的具体参数。
作者:华北电力大学 邢志民 侯思祖 来源:单片机及嵌入式系统应用
上一篇:VDSL2:集xDSL技术之大成者
下一篇:利用MSTP技术实现大客户接入方案


