- 易迪拓培训,专注于微波、射频、天线设计工程师的培养
微带线计算问题
录入:edatop.com 点击:
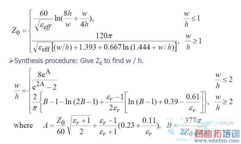
使用教材中的公式,发现在w/h<=1的情况下计算的结果与ADS有很大的差距,有谁能提供更好的计算公式呢?
不懂你的问题,你是要问介电常数,宽度,还是什么??
请在详细解说一下,谢谢
微带线宽度和阻抗的相互求解,有没有比较精确的公式
有只是要用手算会很麻烦

ADS这套说真的太理想了所以结果与实际会有些误差但是仿真速度却是超快
你也可以用软件自带的公式算
网络上应该能找到计算微带线阻抗的工具
我用其他软件算,跟这个公式的计算结果差不多。难道ADS计算出来的有这么大的误差?
差很多??如果真的差很多,可以把ADS模拟的档案附上,不然我们也不知道到底是设定问题还是哪有问题
楼主用的哪个教材啊?呵呵
Gupta的公式

申明:网友回复良莠不齐,仅供参考。如需专业帮助,请学习易迪拓培训专家讲授的ADS视频培训课程。
上一篇:ADS2008自带的Com_Sys文件夹内的IS95_PRJ例程问题
下一篇:ADS仿真差分传输系统链路的差分阻抗曲线,怎么设置啊?
ADS培训课程推荐详情>>
国内最全面、最专业的Agilent ADS培训课程,可以帮助您从零开始,全面系统学习ADS设计应用【More..】
- Agilent ADS教学培训课程套装
- 两周学会ADS2011、ADS2013视频教程
- ADS2012、ADS2013射频电路设计详解
- ADS高低阻抗线微带滤波器设计培训教程
- ADS混频器仿真分析实例视频培训课程
- ADS Momentum电磁仿真设计视频课程
- ADS射频电路与通信系统设计高级培训
- ADS Layout和电磁仿真设计培训视频
- ADS Workspace and Simulators Training Course
- ADS Circuit Simulation Training Course
- ADS Layout and EM Simulation Training Course
- Agilent ADS 内部原版培训教材合集
